BPNN-Based Behavioral Modeling of the S-Parameter Variation Characteristics of PAs with Frequency at Different Temperatures
Abstract
1. Introduction
2. Modeling Process Based on a BPNN
2.1. The Theory of a BPNN
2.2. Training Process of the BPNN Model
- (1)
 - If the validation result is greater than the threshold, the model is over-learning and needs to be retrained.
 - (2)
 - If the validation result is less than the threshold, the model is in a good learning state and can be used.
 
3. Modeling Results
3.1. The Result of S11
3.2. The Result of S12
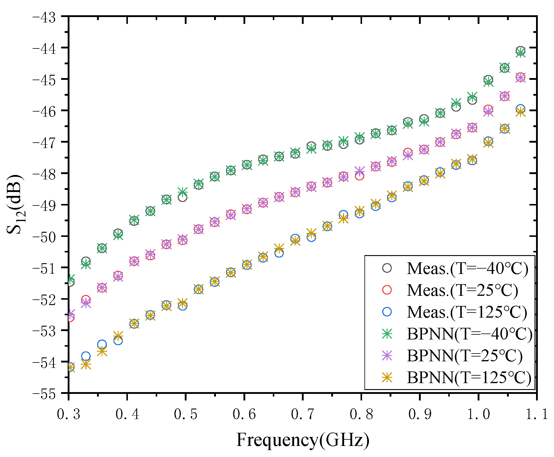
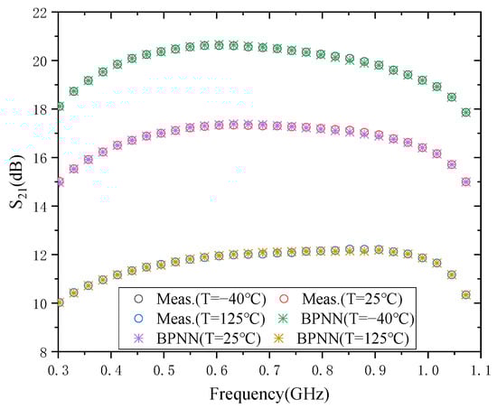
3.3. The Result of S21
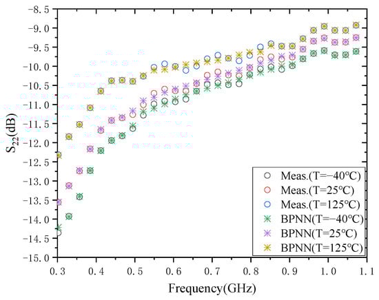
3.4. The Result of S22
4. Discussion
5. Conclusions
Author Contributions
Funding
Institutional Review Board Statement
Informed Consent Statement
Data Availability Statement
Conflicts of Interest
References
- Tsao, Y.-F.; Hsu, H.-S.; Würfl, J.; Hsu, H.-T. Dual-Band Power Amplifier Design at 28/38 GHz for 5G New Radio Applications. IEEE Access 2022, 10, 77826–77836. [Google Scholar] [CrossRef]
 - Kilinc, S.; Yarman, B.S.; Ozoguz, S. A GaN Microwave Power Amplifier Design Based on the Source/Load Pull Impedance Modeling via Virtual Gain Optimization. IEEE Access 2022, 10, 50677–50691. [Google Scholar] [CrossRef]
 - Morales-Fernandez, A.; Fernandez-Barciela, M.; Isasi-Vicente, F.; Martin-Rodriguez, F.; Tasker, P.J. Dual-Band Class J Power Amplifier at 2.45 and 5.8 GHz for UAVs Communications. IEEE Access 2022, 10, 48673–48680. [Google Scholar] [CrossRef]
 - Gotthans, T.; Marsalek, R.; Gotthans, J. Temperature Compensation-Based Behavioral Modeling for Digital Predistortion of RF Power Amplifiers. In Proceedings of the 2019 IEEE International Symposium on Signal Processing and Information Technology (ISSPIT), Ajman, United Arab Emirates, 10–12 December 2019; pp. 1–4. [Google Scholar] [CrossRef]
 - Duc, H.L.; Feuvrie, B.; Pastore, M.; Wang, Y. An Analysis of Adaptive Digital Predistortion Algorithms in RF Power Amplifier. In Proceedings of the 2018 25th International Conference on Telecommunications (ICT), Saint-Malo, France, 26–28 June 2018; pp. 456–460. [Google Scholar] [CrossRef]
 - Hammi, O.; Ghannouchi, F. Temperature compensated digital predistorter for 3G power amplifiers. In Proceedings of the 2005 12th IEEE International Conference on Electronics, Circuits, and Systems, Gammarth, Tunisia, 11–14 December 2005; pp. 1–4. [Google Scholar] [CrossRef]
 - Abuella, H.; Elamassie, M.; Uysal, M.; Xu, Z.; Serpedin, E.; Qaraqe, K.A.; Ekin, S. Hybrid RF/VLC Systems: A Comprehensive Survey on Network Topologies, Performance Analyses, Applications, and Future Directions. IEEE Access 2021, 9, 160402–160436. [Google Scholar] [CrossRef]
 - Liu, X.; Huang, Y.; Chang, C.-Y.; Chen, H.-H. Generalized Complementary Coded Scrambling Multiple Access for MIMO Communications. IEEE Trans. Veh. Technol. 2021, 70, 13047–13061. [Google Scholar] [CrossRef]
 - Mokhtari, Z.; Dinis, R. Sum-Rate of Cell Free Massive MIMO Systems with Power Amplifier Non-Linearity. IEEE Access 2021, 9, 141927–141937. [Google Scholar] [CrossRef]
 - Ghannouchi, F.M.; Hammi, O. Behavioral modeling and predistortion. IEEE Microw. Mag. 2009, 10, 52–64. [Google Scholar] [CrossRef]
 - Isaksson, M.; Wisell, D.; Ronnow, D. Wide-band dynamic modeling of power amplifiers using radial-basis function neural networks. IEEE Trans. Microw. Theory Tech. 2005, 53, 3422–3428. [Google Scholar] [CrossRef]
 - Zhu, A.; Pedro, J.C.; Brazil, T.J. Dynamic Deviation Reduction-Based Volterra Behavioral Modeling of RF Power Amplifiers. IEEE Trans. Microw. Theory Tech. 2006, 54, 4323–4332. [Google Scholar] [CrossRef]
 - Mkadem, F.; Boumaiza, S. Extended Hammerstein Behavioral Model Using Artificial Neural Networks. IEEE Trans. Microw. Theory Tech. 2009, 57, 745–751. [Google Scholar] [CrossRef]
 - Mkadem, F.; Boumaiza, S. Physically Inspired Neural Network Model for RF Power Amplifier Behavioral Modeling and Digital Predistortion. IEEE Trans. Microw. Theory Tech. 2011, 59, 913–923. [Google Scholar] [CrossRef]
 - Zhu, A. Decomposed Vector Rotation-Based Behavioral Modeling for Digital Predistortion of RF Power Amplifiers. IEEE Trans. Microw. Theory Tech. 2015, 63, 737–744. [Google Scholar] [CrossRef]
 - Mkadem, F.; Islam, A.; Boumaiza, S. Multi-Band Complexity-Reduced Generalized-Memory-Polynomial Power-Amplifier Digital Predistortion. IEEE Trans. Microw. Theory Tech. 2016, 64, 1763–1774. [Google Scholar] [CrossRef]
 - Cai, J.; Yu, C.; Sun, L.; Chen, S.; King, J.B. Dynamic Behavioral Modeling of RF Power Amplifier Based on Time-Delay Support Vector Regression. IEEE Trans. Microw. Theory Tech. 2019, 67, 533–543. [Google Scholar] [CrossRef]
 - Liu, Z.; Hu, X.; Liu, T.; Li, X.; Wang, W.; Ghannouchi, F.M. Attention-Based Deep Neural Network Behavioral Model for Wideband Wireless Power Amplifiers. IEEE Microw. Wirel. Compon. Lett. 2020, 30, 82–85. [Google Scholar] [CrossRef]
 - Xu, G.; Yu, H.; Hua, C.; Liu, T. Chebyshev Polynomial-LSTM Model for 5G Millimeter-Wave Power Amplifier Linearization. IEEE Microw. Wirel. Compon. Lett. 2022, 32, 611–614. [Google Scholar] [CrossRef]
 - Zhou, S.; Yang, C.; Wang, J. Support Vector Machine–Based Model for 2.5–5.2 GHz CMOS Power Amplifier. Micromachines 2022, 13, 1012. [Google Scholar] [CrossRef] [PubMed]
 - Zhou, S.; Yang, C.; Wang, J. Modeling of Key Specifications for RF Amplifiers Using the Extreme Learning Machine. Micromachines 2022, 13, 693. [Google Scholar] [CrossRef] [PubMed]
 - Chen, W.-C.; Fu, G.-L.; Tai, P.-H.; Deng, W.-J. Process parameter optimization for MIMO plastic injection molding via soft computing. Expert Syst. Appl. 2009, 36, 1114–1122. [Google Scholar] [CrossRef]
 - Xue, M.; Sun, L.; Wang, S.; Liang, P.; Chen, X.; Nian, F. Nonlinear Equivalent Circuit Model Base on BPNN for GaN HEMTs. In Proceedings of the 2019 IEEE International Conference on Electron Devices and Solid-State Circuits (EDSSC), Xi’an, China, 12–14 June 2019; pp. 1–3. [Google Scholar] [CrossRef]
 - Qin, W.; Dong, J.; Li, Y.; Wang, M. Fast Multi-Objective Antenna Design Based on BPNN Surrogate Model. In Proceedings of the 2018 International Applied Computational Electromagnetics Society Symposium—China (ACES), Beijing, China, 29 July–1 August 2018; pp. 1–2. [Google Scholar] [CrossRef]
 - Zhang, J.F. Research on ARIMA and BPNN Model in Prediction of Hand-Foot-Mouth Disease Incidence; Southwest University: Chongqing, China, 2021. [Google Scholar] [CrossRef]
 - Ni, P. Research on the Construction of Stock Index Portfolio: Based on Deep Learning; Nanjing University: Nanjing, China, 2021. [Google Scholar] [CrossRef]
 - Dong, B.W. Analysis on the Relationship Between Fiber Characteristics and Tensile Strength of Paper Based on BPNN. Pap. Sci. Technol. 2022, 41, 62–65. [Google Scholar] [CrossRef]
 - Hsieh, L.-F.; Hsieh, S.-C.; Tai, P.-H. Optimize stock price variation prediction via DOE and BPNN. In Proceedings of the 2010 8th International Conference on Supply Chain Management and Information, Hong Kong, China, 6–9 October 2010; pp. 1–7. [Google Scholar]
 






| Specification | Temperature | Training Time (ms) | Training Error (MSE) | Test Error (MSE) | |||
|---|---|---|---|---|---|---|---|
| BPNN | SVM [20] | BPNN | SVM [20] | BPNN | SVM [20] | ||
| S11 | −40 °C | 4.143 × 103 | 27.5078 | 1.7912 × 10−2 | 6.5025 × 10−2 | 1.7765 × 10−2 | 6.3965 × 10−2 | 
| 25 °C | 4.247 × 103 | 27.2977 | 3.2763 × 10−2 | 1.3129 × 10−1 | 3.2386 × 10−2 | 1.3112 × 10−1 | |
| 125 °C | 4.357 × 103 | 27.0359 | 9.3889 × 10−3 | 2.2186 × 10−2 | 9.3347 × 10−3 | 2.1894 × 10−2 | |
| S12 | −40 °C | 0.412 × 103 | 27.058 | 5.5512 × 10−3 | 4.1416 × 10−1 | 4.2475 × 10−3 | 4.1301 × 10−1 | 
| 25 °C | 0.467 × 103 | 27.4604 | 4.4496 × 10−3 | 3.3189 × 10−1 | 3.3293 × 10−3 | 3.3065 × 10−1 | |
| 125 °C | 0.47 × 103 | 27.3995 | 8.8606 × 10−3 | 1.4380 | 7.3449 × 10−3 | 1.4317 | |
| S21 | −40 °C | 0.555 × 103 | 27.2545 | 9.7952 × 10−4 | 1.8441 × 10−1 | 9.7461 × 10−4 | 1.8134 × 10−1 | 
| 25 °C | 0.547 × 103 | 27.2932 | 9.0344 × 10−4 | 1.8858 × 10−1 | 8.711 × 10−4 | 1.8705 × 10−1 | |
| 125 °C | 0.541 × 103 | 26.9892 | 8.4794 × 10−4 | 3.3277 × 10−1 | 8.2218 × 10−4 | 3.2986 × 10−1 | |
| S22 | −40 °C | 1.479 × 103 | 27.2581 | 3.9397 × 10−3 | 1.7729 × 10−1 | 3.5154 × 10−3 | 1.6534 × 10−1 | 
| 25 °C | 1.442 × 103 | 27.191 | 4.8002 × 10−3 | 1.8305 × 10−1 | 4.7687 × 10−3 | 1.5922 × 10−1 | |
| 125 °C | 1.427 × 103 | 27.3121 | 3.7454 × 10−3 | 1.9121 × 10−1 | 3.7158 × 10−3 | 1.8743 × 10−1 | |
Publisher’s Note: MDPI stays neutral with regard to jurisdictional claims in published maps and institutional affiliations.  | 
© 2022 by the authors. Licensee MDPI, Basel, Switzerland. This article is an open access article distributed under the terms and conditions of the Creative Commons Attribution (CC BY) license (https://creativecommons.org/licenses/by/4.0/).
Share and Cite
He, Z.; Zhou, S. BPNN-Based Behavioral Modeling of the S-Parameter Variation Characteristics of PAs with Frequency at Different Temperatures. Micromachines 2022, 13, 1831. https://doi.org/10.3390/mi13111831
He Z, Zhou S. BPNN-Based Behavioral Modeling of the S-Parameter Variation Characteristics of PAs with Frequency at Different Temperatures. Micromachines. 2022; 13(11):1831. https://doi.org/10.3390/mi13111831
Chicago/Turabian StyleHe, Zhao, and Shaohua Zhou. 2022. "BPNN-Based Behavioral Modeling of the S-Parameter Variation Characteristics of PAs with Frequency at Different Temperatures" Micromachines 13, no. 11: 1831. https://doi.org/10.3390/mi13111831
APA StyleHe, Z., & Zhou, S. (2022). BPNN-Based Behavioral Modeling of the S-Parameter Variation Characteristics of PAs with Frequency at Different Temperatures. Micromachines, 13(11), 1831. https://doi.org/10.3390/mi13111831
        
