Prediction of Static Characteristic Parameters of an Insulated Gate Bipolar Transistor Using Artificial Neural Network
Abstract
:1. Introduction
2. Dataset Generation and Division
3. Methodology
4. Results Analysis
4.1. Prediction Results for Characteristic Parameters
4.2. Comparison of Different Algorithms
4.3. Effect of Sample Size on Results
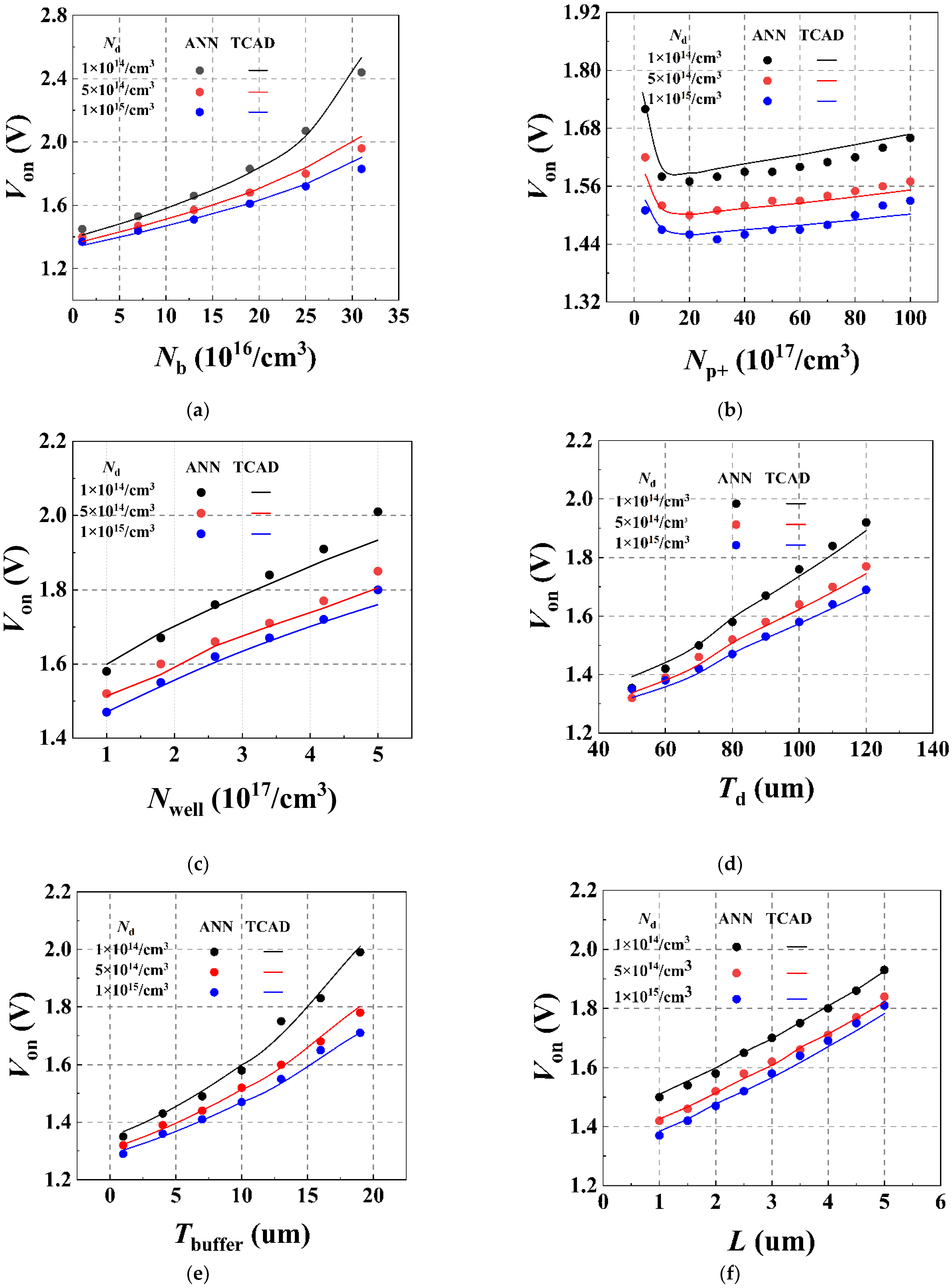
4.4. Prediction Results with Changing Structural Parameters
4.5. Prediction Time and Efficiency
5. Conclusions
Author Contributions
Funding
Data Availability Statement
Conflicts of Interest
References
- Huang, J.; Huang, H.; Chen, X.B. Simulation Study of a Low ON-State Voltage Superjunction IGBT With Self-Biased PMOS. IEEE Trans. Electron. Devices 2019, 66, 3242–3246. [Google Scholar] [CrossRef]
- Saito, W.; Nishizawa, S.-I. Alternated Trench-Gate IGBT for Low Loss and Suppressing Negative Gate Capacitance. IEEE Trans. Electron. Devices 2020, 67, 3285–3290. [Google Scholar] [CrossRef]
- Jiang, M.; Wang, Y. Numerical Study of a Thyristor Injection Insulated Gate Bipolar Transistor (TI-IGBT) Using P-N-P Collector. IEEE J. Electron. Devices Soc. 2019, 7, 979–983. [Google Scholar] [CrossRef]
- Luo, X.; Zhang, S.; Wei, J.; Yang, Y.; Su, W.; Fan, D.; Li, C.; Li, Z.; Zhang, B. A Low Loss and On-State Voltage Superjunction IGBT with Depletion Trench. In Proceedings of the 2020 32nd International Symposium on Power Semiconductor Devices and ICs (ISPSD), Vienna, Austria, 13–18 September 2020; IEEE: Piscataway, NJ, USA, 2020; pp. 130–133. [Google Scholar]
- Duan, B.; Sun, L.; Yang, Y. Analysis of the Novel Snapback-Free LIGBT with Fast-Switching and Improved Latch-up Immunity by TCAD Simulation. IEEE Electron. Device Lett. 2018, 40, 63–66. [Google Scholar] [CrossRef]
- Antoniou, M.; Udrea, F.; Lophitis, N.; Corvasce, C.; De-Michielis, L. The P-Ring Trench Schottky IGBT: A Solution towards Latch-up Immunity and an Enhanced Safe-Operating Area. In Proceedings of the 2020 32nd International Symposium on Power Semiconductor Devices and ICs (ISPSD), Vienna, Austria, 13–18 September 2020; IEEE: Piscataway, NJ, USA, 2020; pp. 134–137. [Google Scholar]
- Sun, L.; Duan, B.; Wang, Y.; Yang, Y. Analysis of the Fast-Switching LIGBT With Double Gates and Integrated Schottky Barrier Diode. IEEE Trans. Electron. Devices 2019, 66, 2675–2680. [Google Scholar] [CrossRef]
- Bankapalli, Y.S.; Wong, H.Y. TCAD Augmented Machine Learning for Semiconductor Device Failure Troubleshooting and Reverse Engineering. In Proceedings of the 2019 International Conference on Simulation of Semiconductor Processes and Devices (SISPAD), Udine, Italy, 4–6 September 2019; IEEE: Piscataway, NJ, USA, 2020; pp. 1–4. [Google Scholar]
- Raju, S.S.; Wang, B.; Mehta, K.; Xiao, M.; Zhang, Y.; Wong, H.-Y. Application of Noise to Avoid Overfitting in TCAD Augmented Machine Learning. In Proceedings of the 2020 International Conference on Simulation of Semiconductor Processes and Devices (SISPAD), Kobe, Japan, 23 September 2020; IEEE: Piscataway, NJ, USA, 2020; pp. 351–354. [Google Scholar]
- Mehta, K.; Raju, S.S.; Xiao, M.; Wang, B.; Zhang, Y.; Wong, H.Y. Improvement of TCAD Augmented Machine Learning Using Autoencoder for Semiconductor Variation Identification and Inverse Design. IEEE Access 2020, 8, 143519–143529. [Google Scholar] [CrossRef]
- Carrillo-Nunez, H.; Dimitrova, N.; Asenov, A.; Georgiev, V. Machine Learning Approach for Predicting the Effect of Statistical Variability in Si Junctionless Nanowire Transistors. IEEE Electron. Device Lett. 2019, 40, 1366–1369. [Google Scholar] [CrossRef] [Green Version]
- Chen, J.; Alawieh, M.B.; Lin, Y.; Zhang, M.; Zhang, J.; Guo, Y.; Pan, D.Z. Powernet: SOI Lateral Power Device Breakdown Prediction With Deep Neural Networks. IEEE Access 2020, 8, 25372–25382. [Google Scholar] [CrossRef]
- Mehta, K.; Wong, H.-Y. Prediction of FinFET Current-Voltage and Capacitance-Voltage Curves Using Machine Learning With Autoencoder. IEEE Electron. Device Lett. 2021, 42, 136–139. [Google Scholar] [CrossRef]
- Zeng, X.; Li, Z.; Gao, W.; Ren, M.; Zhang, J.; Li, Z.; Zhang, B. A Novel Virtual Sensing With Artificial Neural Network and K-Means Clustering for IGBT Current Measuring. IEEE Trans. Ind. Electron. 2018, 65, 7343–7352. [Google Scholar] [CrossRef]
- Zeng, X.; Li, Z.; Wan, J.; Zhang, J.; Ren, M.; Gao, W.; Li, Z.; Zhang, B. Embedded Hardware Artificial Neural Network Control for Global and Real-Time Imbalance Current Suppression of Parallel Connected IGBTs. IEEE Trans. Ind. Electron. 2020, 67, 2186–2196. [Google Scholar] [CrossRef]
- Ali, S.H.; Heydarzadeh, M.; Dusmez, S.; Li, X.; Kamath, A.S.; Akin, B. Lifetime Estimation of Discrete IGBT Devices Based on Gaussian Process. IEEE Trans. Ind. Appl. 2018, 54, 395–403. [Google Scholar] [CrossRef]
- Technology Modeling Associates. Medici: Two-dimensional Device Simulation Program, Version 2.2: User’s Manual. Technology Modeling Associates, Incorporated. 1996. Available online: https://manualzz.com/doc/23606185/device-simulation-tool (accessed on 15 September 2021).
- Abadi, M.; Barham, P.; Chen, J.; Chen, Z.; Davis, A.; Dean, J.; Devin, M.; Ghemawat, S.; Irving, G.; Isard, M.; et al. TensorFlow: A System for Large-Scale Machine Learning. In Proceedings of the 12th USENIX Symposium on Operating Systems Design and Implementation (OSDI 16), Savannah, GA, USA, 2–4 November 2016. [Google Scholar]
- Kingma, D.P.; Ba, J. Adam: A Method for Stochastic Optimization. arXiv 2017, arXiv:1412.6980. [Google Scholar]
- Agarap, A.F. Deep Learning Using Rectified Linear Units (ReLU). arXiv 2019, arXiv:1803.08375. [Google Scholar]
- Baliga, B.J. Fundamentals of Power Semiconductor Devices; Springer Science & Business Media: Berlin/Heidelberg, Germany, 2010; pp. 748–751. [Google Scholar]







| Structural Parameters | Range |
|---|---|
| N-drift doping, Nd (cm−3) | 1 × 1013–1 × 1015 |
| N-buffer doping, Nb (cm−3) | 1 × 1016–5 × 1017 |
| P-well doping, Nwell (cm−3) | 1 × 1017–5 × 1017 |
| P+ anode doping, NP+ (cm−3) | 1 × 1017–1 × 1019 |
| N-drift thickness, Td (µm) | 50–120 |
| N-buffer thickness, Tbuffer (µm) | 1–20 |
| Channel length, L (µm) | 1–5 |
| Characteristic Parameter | Machine Learning Algorithms | |||
|---|---|---|---|---|
| LR | SVR | GPR | ANN | |
| BV | 26.2 | 18.5 | 2.3 | 0.5 |
| Von | 56.1 | 41.7 | 12.0 | 3.7 |
| Vth | 2.7 | 3.4 | 1.0 | 0.6 |
| Vlu | 993.1 | 540.2 | 321.4 | 7.4 |
| Jlu | 21.5 | 15.8 | 10.9 | 7.7 |
Publisher’s Note: MDPI stays neutral with regard to jurisdictional claims in published maps and institutional affiliations. |
© 2021 by the authors. Licensee MDPI, Basel, Switzerland. This article is an open access article distributed under the terms and conditions of the Creative Commons Attribution (CC BY) license (https://creativecommons.org/licenses/by/4.0/).
Share and Cite
Yao, Q.; Guo, Y.; Zhang, B.; Chen, J.; Zhang, J.; Zhang, M.; Guo, X.; Yao, J.; Tang, W.; Liu, J. Prediction of Static Characteristic Parameters of an Insulated Gate Bipolar Transistor Using Artificial Neural Network. Micromachines 2022, 13, 4. https://doi.org/10.3390/mi13010004
Yao Q, Guo Y, Zhang B, Chen J, Zhang J, Zhang M, Guo X, Yao J, Tang W, Liu J. Prediction of Static Characteristic Parameters of an Insulated Gate Bipolar Transistor Using Artificial Neural Network. Micromachines. 2022; 13(1):4. https://doi.org/10.3390/mi13010004
Chicago/Turabian StyleYao, Qing, Yufeng Guo, Bo Zhang, Jing Chen, Jun Zhang, Maolin Zhang, Xiaobo Guo, Jiafei Yao, Weihua Tang, and Jianhua Liu. 2022. "Prediction of Static Characteristic Parameters of an Insulated Gate Bipolar Transistor Using Artificial Neural Network" Micromachines 13, no. 1: 4. https://doi.org/10.3390/mi13010004
APA StyleYao, Q., Guo, Y., Zhang, B., Chen, J., Zhang, J., Zhang, M., Guo, X., Yao, J., Tang, W., & Liu, J. (2022). Prediction of Static Characteristic Parameters of an Insulated Gate Bipolar Transistor Using Artificial Neural Network. Micromachines, 13(1), 4. https://doi.org/10.3390/mi13010004
