An MHD Fluid Flow over a Porous Stretching/Shrinking Sheet with Slips and Mass Transpiration
Abstract
:1. Introduction
Problem Statement
2. Analytical Solutions
2.1. Analytical Solution of Momentum Equation
2.2. Analytical Solution of Energy Equation
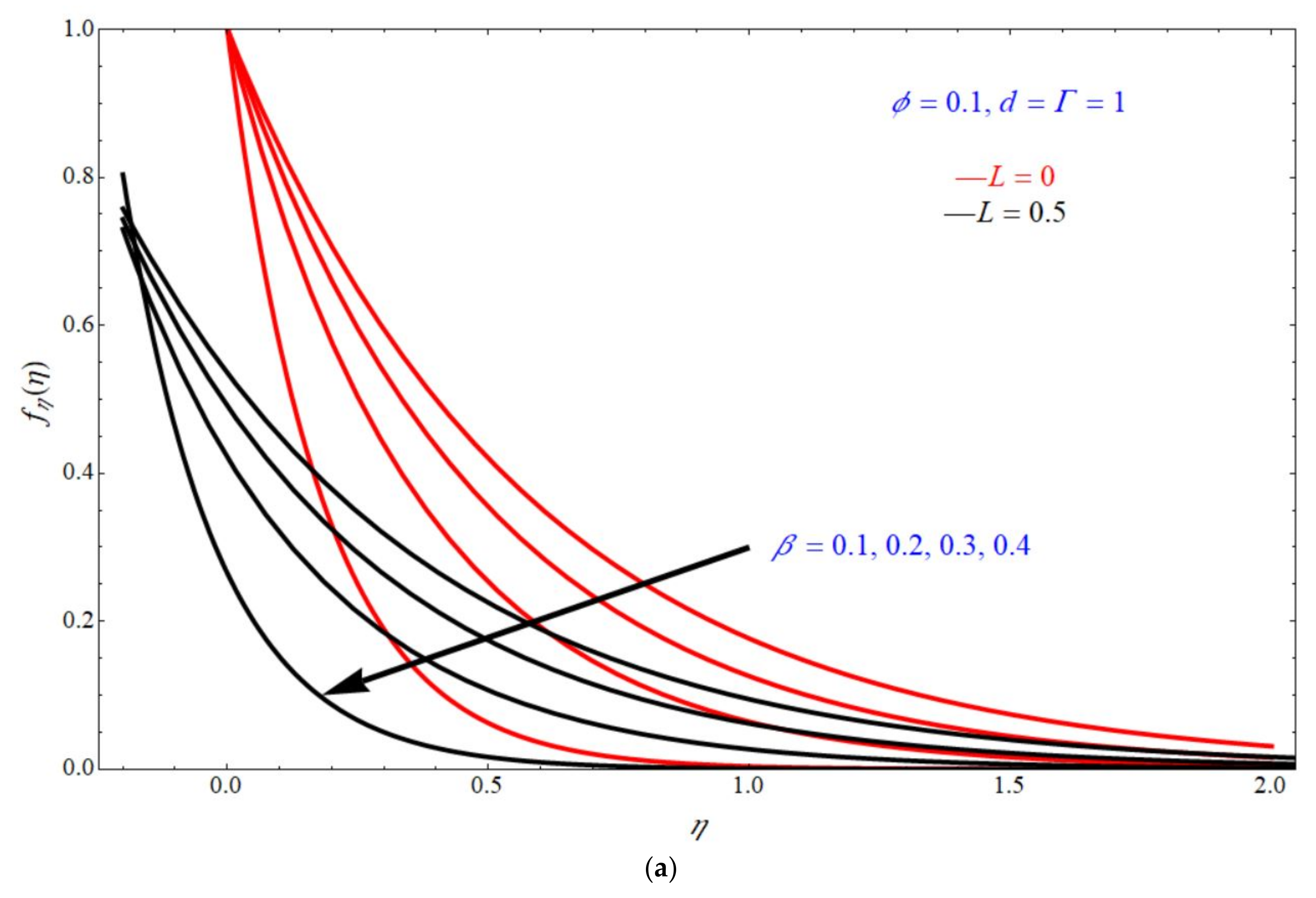
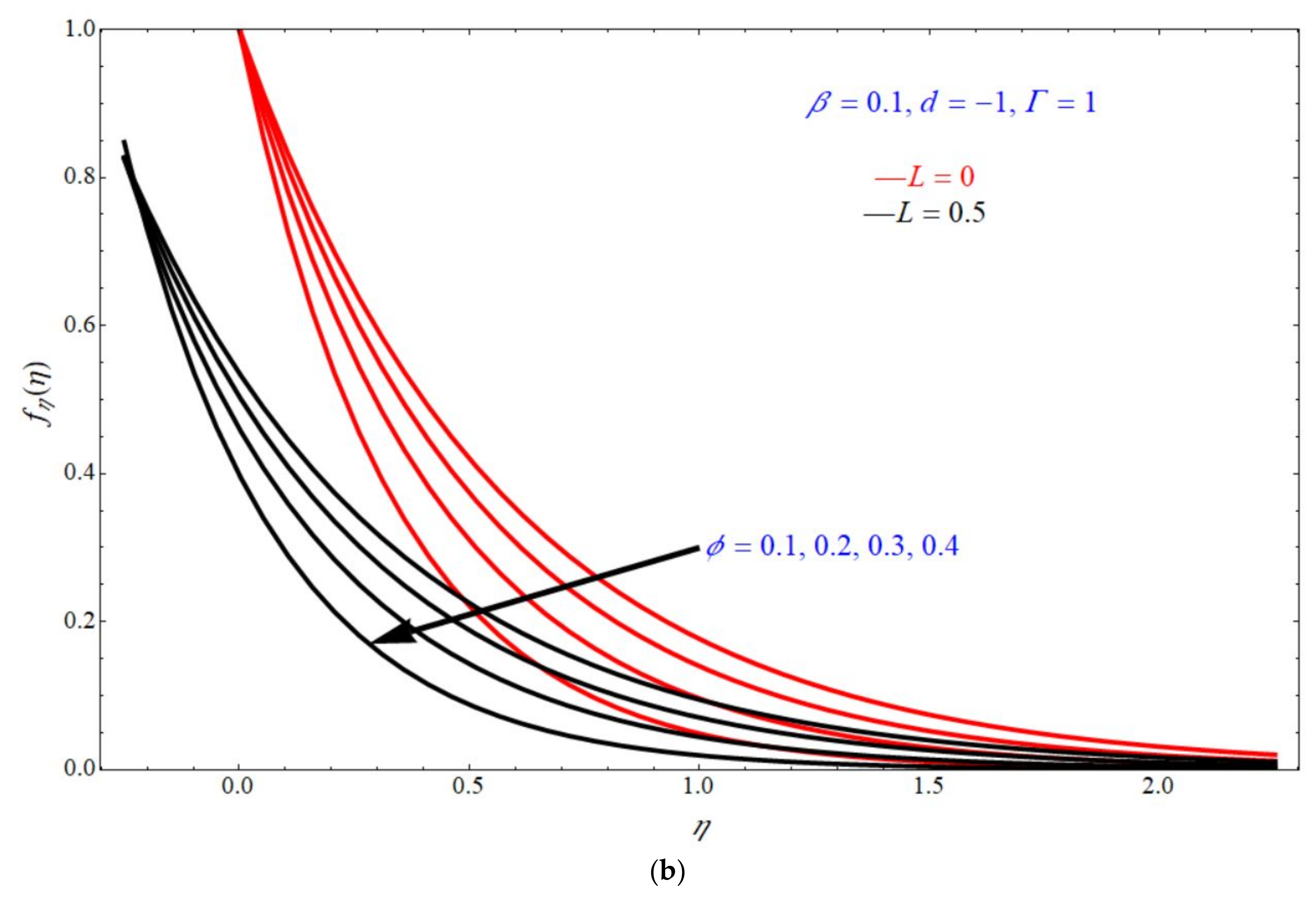
3. Results and Discussions
4. Concluding Remarks
- Stretching case is wider than shrinking case.
- Velocity decreases with increases in the values of .
- Tangential velocity decreases with an increase in the values of and .
- is more for more values of and for both the stretching and shrinking cases.
- is increases with increases in the values of and in the stretching case and the shrinking case.
- The limiting parameters in the present work is transformed into the work of Turkyilmazoglu [28] work.
- The classical Crane (1970) flow is recovered if the limiting parameters
Author Contributions
Funding
Data Availability Statement
Conflicts of Interest
Nomenclature
| List of variables | Description | S.I. Units |
| Constants | ||
| Strength of uniform magnetic field | ||
| Biot number | ||
| b | Constant | |
| Specific heat at constant Pressure | ||
| Stretching/shrinking parameter along x and y axis | ||
| Inverse Darcy number | ||
| Non dimensional transverse velocity | ||
| Non dimensional velocity | ||
| Non dimensional Tangential velocity | ||
| Material constant | ||
| Heat transfer coefficient | ||
| Material constant | ||
| Coefficient of mean absorption | ||
| Permeability of porous medium | ||
| Coefficient of first order slip | ||
| Characteristic length | ||
| M | Hartman number | |
| Prandtl number | ||
| Radiative heat flux | ||
| Local heat flux | ||
| Radiation parameter | ||
| Mass transpiration | ||
| Far field temperature | ||
| Wall temperature | ||
| T | Temperature | |
| Velocities along x, y, and z direction, respectively | ||
| Cartesian coordinates | ||
| Wall transpiration | ||
| Greek symbols | ||
| Dimensionless viscoelastic parameter | ||
| Solution domain | ||
| Similarity variable | ||
| Porosity parameter | ||
| Porosity | ||
| Dynamic viscosity | ||
| Kinematic viscosity | ||
| Thermal conductivity | ||
| Fluid density | ||
| Dimensionless temperature | ||
| Electric conductivity | ||
| Stefan–Boltzmann constant | ||
| Incomplete gamma function | ||
| Special constant used in the problem | ||
| Subscripts | ||
| Wall condition | ||
| Free stream condition | ||
| Abbreviations | ||
| MHD | Magneto hydrodynamics | |
| ODEs | Ordinary differential equations | |
| PDEs | Partial differential equations | |
References
- Sakiadis, B.C. Boundary-layer behavior on continuous solid surfaces: I. Boundary-layer equations for two-dimensional and axisymmetric flow. AIChE J. 1961, 7, 26–28. [Google Scholar] [CrossRef]
- Sakiadis, B.C. Boundary-layer behavior on continuous solid surfaces: II. The boundary layer on a continuous flat surface. AIChE J. 1961, 7, 221–225. [Google Scholar] [CrossRef]
- Crane, L.J. Flow past a stretching plate. Z. Angew. Math. Phys. 1970, 21, 645–647. [Google Scholar] [CrossRef]
- Turkyilmazoglu, M. Analytic heat and mass transfer of the mixed hydrodynamic/thermal slip MHD viscous flow over astretching sheet. Int. J. Mech. Sci. 2011, 53, 886–896. [Google Scholar] [CrossRef]
- Mahabaleshwar, U.S.; Sarris, I.E.; Hill, A.A.; Lorenzini, G.; Pop, I. An MHD couple stress fluid due to a perforated sheet undergoing linear stretching with heat transfer. Int. J. Heat Mass Transf. 2016, 105, 157–167. [Google Scholar] [CrossRef] [Green Version]
- Mahabaleshwar, U.S.; Nagaraju, K.R.; Kumar, P.N.V.; Nadagouda, M.N.; Bennacer, R.; Sheremet, M.A. Effects of Dufour and Sort mechanisms on MHD mixed convective-radiative non-Newtonian liquid flow and heat transfer over a porous sheet. Therm. Sci. Eng. Prog. 2020, 16, 100459. [Google Scholar] [CrossRef]
- Mahabaleshwar, U.; Nagaraju, K.; Kumar, P.V.; Nadagoud, M.; Bennacer, R.; Baleanu, D. An MHD viscous liquid stagnation point flow and heat transfer with thermal radiation and transpiration. Therm. Sci. Eng. Prog. 2020, 16, 100379. [Google Scholar] [CrossRef]
- Elbashbeshy, E.M.A.; Bazid, M.A. Heat transfer over a continuously moving plate embedded in a non-darcian porous medium. Int. J. Heat Mass Transf. 2000, 43, 3087–3092. [Google Scholar] [CrossRef]
- Elbashbeshy, E.; Bazid, M. Heat Transfer Over an unsteady Stretching Surface With Internal Heat Generation. Appl. Math. Comput. 2003, 138, 239–245. [Google Scholar] [CrossRef]
- Cortell, R. Flow and heat transfer of a fluid through a porous medium over a stretching surface with internal heat generation/absorption and suction/blowing. Fluid Dyn. Res. 2005, 37, 231–245. [Google Scholar] [CrossRef]
- Mahabaleshwar, U.S.; Lorenzini, G. Combined effect of heat source/sink and stress work on MHD Newtonian fluid flow over a stretching porous sheet. Int. J. Heat Technol. 2017, 35, 330–335. [Google Scholar] [CrossRef]
- Mahabaleshwar, U.S.; Sarris, I.E.; Lorenzini, G. Effect of radiation and Navier slip boundary of Walters’ liquid B flow over a stretching sheet in a porous media. Int. J. Heat Mass Transf. 2018, 127, 1327–1337. [Google Scholar] [CrossRef]
- Mahabaleshwar, U.S.; Nagaraju, K.N.; Kumar, P.N.V.; Azese, M.N. Effect of radiation on thermosolutal Marangoni convection in a porous medium with chemical reaction and heat source/sink. Phys. Fluids 2020, 32, 113602. [Google Scholar] [CrossRef]
- Mahabaleshwar, U.S.; Kumar, P.N.V.; Nagaraju, K.R.; Bognár, G.; Nayakar, S.N.R. A New Exact Solution for the Flow of a Fluid through Porous Media for a Variety of Boundary Conditions. Fluids 2019, 4, 125. [Google Scholar] [CrossRef] [Green Version]
- Rasool, G.; Shafiq, A.; Chu, Y.-M.; Bhutta, M.S.; Ali, A. Optimal Homotopic Exploration of features of Cattaneo-Christov model in Second Grade Nanofluid flow via Darcy-Forchheimer medium subject to Viscous Dissipation and Thermal Radiation. Comb. Chem. High Throughput Screen. 2021, 24, 1. [Google Scholar] [CrossRef]
- Manjunatha, S.; Puneeth, V.; Anandika, R.; Gireesha, B.J. Analysis of multilayer convective flow of a hybrid nanofluid in porous medium sandwiched between the layers of nanofluid. Heat Transf. 2021, 50, 8598–8616. [Google Scholar] [CrossRef]
- Farooq, U.; Waqas, H.; Muhammad, T.; Khan, S.A. Heat transfer enhancement of hybrid nanofluids over porous cone. Int. J. Chem. React. Eng. 2021. [Google Scholar] [CrossRef]
- Ahmed, Z.U.; Raihan, R.; Ghaffari, O.; Ikhlaq, M. Thermal and Hydraulic Performances of Porous Microchannel Heat Sink using Nanofluids. J. Therm. Sci. Eng. Appl. 2021, 1–32. [Google Scholar] [CrossRef]
- Rahman, M.M.; Rosca, A.V.; Pop, I. Boundary layer flow of a nanofluid past a permeable exponentially shrinking/stretching surface with second order slip using Buongiorno’s model. Int. J. Heat Mass Transf. 2014, 77, 1133–1143. [Google Scholar] [CrossRef]
- Mahabaleshwar, U.S.; Kumar, P.N.V.; Sheremet, M.S. Magnetohydrodynamics flow of a nanofluid driven by a stretching/shrinking sheet with suction. SpringerPlus 2016, 5, 1907. [Google Scholar] [CrossRef] [Green Version]
- Benos, L.T.; Polychronopoulos, N.D.; Mahabaleshwar, U.S.; Lorenzini, G.; Sarris, I.E. Thermal and flow investigation of MHD natural convection in a nanofluid-saturated porous enclosure: An asymptotic analysis. J. Therm. Anal. 2021, 143, 751–765. [Google Scholar] [CrossRef]
- Shafiq, A.; Rasool, G.; Alotaibi, H.; Aljohani, H.; Wakif, A.; Khan, I.; Akram, S. Thermally Enhanced Darcy-Forchheimer Casson-Water/Glycerine Rotating Nanofluid Flow with Uniform Magnetic Field. Micromachines 2021, 12, 605. [Google Scholar] [CrossRef] [PubMed]
- Rasool, G.; Shafiq, A.; Alqarni, M.; Wakif, A.; Khan, I.; Bhutta, M. Numerical Scrutinization of Darcy-Forchheimer Relation in Convective Magnetohydrodynamic Nanofluid Flow Bounded by Nonlinear Stretching Surface in the Perspective of Heat and Mass Transfer. Micromachines 2021, 12, 374. [Google Scholar] [CrossRef] [PubMed]
- Rasool, G.; Shafiq, A. Numerical exploration of the features of thermally enhanced chemically reactive radiative Powell-Eyring nanofluid flow via Darcy medium over non-linearly stretching surface affected by a transverse magnetic field and convective boundary conditions. Appl. Nanosci. 2020. [Google Scholar] [CrossRef]
- Afridi, M.I.; Qasim, M.; Saleem, S. Second Law Analysis of Three Dimensional Dissipative Flow of Hybrid Nanofluid. J. Nanofluids 2018, 7, 1272–1280. [Google Scholar] [CrossRef]
- Lu, D.; Afridi, M.; Allauddin, U.; Farooq, U.; Qasim, M. Entropy Generation in a Dissipative Nanofluid Flow under the Influence of Magnetic Dissipation and Transpiration. Energies 2020, 13, 5506. [Google Scholar] [CrossRef]
- Das, S.; Giri, A.; Samanta, S.; Kanagaraj, S. Role of graphene nanofluids on heat transfer enhancement in thermopyphon. J. Sci. Adv. Mater. Devices 2019, 4, 163–169. [Google Scholar] [CrossRef]
- Divya, P.; Bhanvase, A.; Sonawane, H. A Review on Graphene Derivatives-based nanofluids: Investigation on properties and heat transfer characteristics. Ind. Eng. Chem. Res. 2020, 59, 10231–10277. [Google Scholar]
- Singh, S.; Verma, P.; Ghosh, S.K. Numerical and experimental analysis of performance in a compact plate heat exchanger using graphene oxide/water nanofluid. Int. J. Numer. Methods Heat Fluid Flow 2021, 31, 3356–3372. [Google Scholar] [CrossRef]
- Turkyilmazoglu, M. Three dimensional MHD flow and heat transfer over a stretching/shrinking surface in a viscoelastic fluid with various physical effects. Int. J. Heat Mass Transf. 2014, 78, 150–155. [Google Scholar] [CrossRef]
- Afridi, M.I.; Qasim, M. Entropy Generation in Three Dimensional Flow of Dissipative Fluid. Int. J. Appl. Comput. Math. 2018, 4, 16. [Google Scholar] [CrossRef]
- Mahabaleshwar, U.S. Stretching Sheet and Convective Instability Problems in Newtonian, Micropolar and Viscoelastic Liquids. Ph.D. Thesis, Bangalore University, Karnataka, India, 2005. [Google Scholar]
- Siddheshwar, P.G.; Mahabaleshwar, U.S.; Chan, A. MHD Flow of Walters’ Liquid B over A Nonlinearly Stretching Sheet. Int. J. Appl. Mech. Eng. 2015, 20, 589–603. [Google Scholar] [CrossRef] [Green Version]
- Riaz, N.; Qasim, M.; Afridi, M.I.; Hussanan, A. Analysis of three-dimensional stagnation point flow over a radiation surface. Int. Commun. Heat Mass Transf. 2021, 127, 105538. [Google Scholar] [CrossRef]
- Anusha, T.; Huang, H.-N.; Mahabaleshwar, U.S. Two dimensional unsteady stagnation point flow of Casson hybrid nanofluid over a permeable flat surface and heat transfer analysis with radiation. J. Taiwan Inst. Chem. Eng. 2021, 127, 79–91. [Google Scholar] [CrossRef]
- Mahabaleshwar, U.S.; Anusha, T.; Sakanaka, P.H.; Bhattacharyya, S. Impact of Inclined Lorentz force and Schmidt Number on Chemically Reactive Newtonian Fluid Flow on a Stretchable Surface when Stefan Blowing and Thermal Radiation and Significant. Arab. J. Sci. Eng. 2021, 46, 12427–12443. [Google Scholar] [CrossRef]
- Mahabaleshwar, U.S.; Sneha, K.; Huang, H.-N. An effect of MHD and radiation on CNTS-Water based nanofluids due to a stretching sheet in a Newtonian fluid. Case Stud. Therm. Eng. 2021, 28, 101462. [Google Scholar] [CrossRef]
- Xenos, M.A.; Petropoulou, E.N.; Siokis, A.; Mahabaleshwar, U.S. Solving the Nonlinear Boundary Layer Flow Equations with Pressure Gradient and Radiation. Symmetry 2020, 12, 710. [Google Scholar] [CrossRef]
- Aslani, K.E.; Mahabaleshwar, U.S.; Jitender, S.; Sarries, I.E. Combined effect of radiation and inclined MHD flow of a micropolar fluid over a porous stretching/shrinking sheet with mass transpiration. Int. J. Appl. Comput. Math. 2021, 7, 60. [Google Scholar] [CrossRef]
- Afridi, M.I.; Qasim, M.; Shafie, S.; Makinde, O.D. Entropy Generation Analysis of Spherical and Non-Spherical Ag-Water Nanofluids in a Porous Medium with Magnetic and Porous Dissipation. J. Nanofluids 2018, 7, 951–960. [Google Scholar] [CrossRef]
- Afridi, M.I.; Qasim, M. Comparitive study and entropy generation analysis of Cu-H2O and Ag-H2O nanofluids flow over a slandering stretching surface. J. Nanofluids 2018, 4, 783–790. [Google Scholar] [CrossRef]
- Aly, E.H. Dual exact solutions of graphene–water nanofluid flow over stretching/shrinking sheet with suction/injection and heat source/sink: Critical values and regions with stability. Powder Technol. 2019, 342, 528–544. [Google Scholar] [CrossRef]
- Mahabaleshwar, U.S.; Anusha, T.; Hatami, M. The MHD Newtonian hybrid nanofluid flow and mass transfer analysis due to super-linear stretching sheet embedded in porous medium. Sci. Rep. 2021, 11, 22518. [Google Scholar] [CrossRef] [PubMed]















| Pure water | 4179 | 997.1 | 0.613 | 0.05 |
| Graphene (G) | 2100 | 2250 | 2500 | 1 × 107 |
Publisher’s Note: MDPI stays neutral with regard to jurisdictional claims in published maps and institutional affiliations. |
© 2022 by the authors. Licensee MDPI, Basel, Switzerland. This article is an open access article distributed under the terms and conditions of the Creative Commons Attribution (CC BY) license (https://creativecommons.org/licenses/by/4.0/).
Share and Cite
Vishalakshi, A.B.; Mahabaleshwar, U.S.; Sarris, I.E. An MHD Fluid Flow over a Porous Stretching/Shrinking Sheet with Slips and Mass Transpiration. Micromachines 2022, 13, 116. https://doi.org/10.3390/mi13010116
Vishalakshi AB, Mahabaleshwar US, Sarris IE. An MHD Fluid Flow over a Porous Stretching/Shrinking Sheet with Slips and Mass Transpiration. Micromachines. 2022; 13(1):116. https://doi.org/10.3390/mi13010116
Chicago/Turabian StyleVishalakshi, A. B., U. S. Mahabaleshwar, and Ioannis E. Sarris. 2022. "An MHD Fluid Flow over a Porous Stretching/Shrinking Sheet with Slips and Mass Transpiration" Micromachines 13, no. 1: 116. https://doi.org/10.3390/mi13010116
APA StyleVishalakshi, A. B., Mahabaleshwar, U. S., & Sarris, I. E. (2022). An MHD Fluid Flow over a Porous Stretching/Shrinking Sheet with Slips and Mass Transpiration. Micromachines, 13(1), 116. https://doi.org/10.3390/mi13010116

