Possible Routes to Obtain Enhanced Magnetoresistance in a Driven Quantum Heterostructure with a Quasi-Periodic Spacer
Abstract
:1. Introduction
2. Magnetoresistance Setup and Theoretical Framework
2.1. Quantum Heterostructure and the TB Hamiltonian
2.2. Theoretical Framework
3. Numerical Results and Discussion
3.1. Spin-Dependent Transmission Probabilities and GMR
3.2. Energy Band Diagram of the Quantum Heterostructure
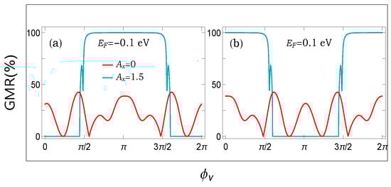
3.3. Tuning of GMR
3.4. Effect of Temperature
4. Closing Remarks
- A high degree of GMR was obtained; sometimes, it even reaches a hundred percent.
- The favorable response of GMR can be achieved even near the band center for the driven heterostructure, which is no longer available for the irradiation-free case.
- We can selectively tune GMR by means of either the AAH phase or the irradiation or by regulating both of these factors.
- The results are valid for a reasonable range of physical parameters. Moreover, the high degree of GMR still persists even for a large temperature limit.
Author Contributions
Funding
Conflicts of Interest
References
- Zhang, X.; Li, B.-Z.; Sun, G.; Pu, F.-C. Spin-polarized tunneling and magnetoresistance in ferromagnet/insulator(semiconductor) single and double tunnel junctions subjected to an electric field. Phys. Rev. B 1997, 56, 5484. [Google Scholar] [CrossRef]
- Sarma, S.D.; Hwang, E.H.; Kaminski, A. How to make semiconductors ferromagnetic: A first course on spintronics. Solid State Commun. 2003, 127, 99. [Google Scholar] [CrossRef] [Green Version]
- He, P.; Hsu, C.-H.; Shi, S.; Cai, K.; Wang, J.; Wang, Q.; Eda, G.; Lin, H.; Pereira, V.M.; Yang, H. Nonlinear magnetotransport shaped by Fermi surface topology and convexity. Nat. Commun. 2019, 10, 1290. [Google Scholar] [CrossRef] [PubMed] [Green Version]
- Jiang, J.; Tang, F.; Pan, X.C.; Liu, H.M.; Niu, X.H.; Wang, Y.X.; Xu, D.F.; Yang, H.F.; Xie, B.P.; Song, F.Q.; et al. Signature of Strong Spin-Orbital Coupling in the Large Nonsaturating Magnetoresistance Material WTe2. Phys. Rev. Lett. 2015, 115, 166601. [Google Scholar] [CrossRef] [PubMed] [Green Version]
- Moodera, J.S.; Kinder, L.R.; Wong, T.M.; Meservey, R. Large Magnetoresistance at Room Temperature in Ferromagnetic Thin Film Tunnel Junctions. Phys. Rev. Lett. 1995, 74, 3273. [Google Scholar] [CrossRef] [PubMed]
- Binasch, G.; Grünberg, P.; Saurenbach, F.; Zinn, W. Enhanced magnetoresistance in layered magnetic structures with antiferromagnetic interlayer exchange. Phys. Rev. B 1989, 39, 4828(R). [Google Scholar] [CrossRef] [Green Version]
- Fedotov, A.K.; Prischepa, S.J.; Fedotova, J.A.; Doctor, V.G.B.; Doctor, A.A.R.; Komissarov, I.V.; Kovalchuk, N.G.; Vorobyova, S.A.; Ivashkevich, O.A. Electrical conductivity and magnetoresistance in twisted graphene electrochemically decorated with Co particles. Physica E 2020, 117, 113790. [Google Scholar] [CrossRef]
- Zhang, X.-G.; Butler, W.H. Conductivity of metallic films and multilayers. Phys. Rev. B 1995, 51, 10085. [Google Scholar] [CrossRef] [PubMed]
- Levy, P.M.; Zhang, S.; Fert, A. Electrical conductivity of magnetic multilayered structures. Phys. Rev. Lett. 1990, 65, 1643. [Google Scholar] [CrossRef]
- Lu, J.; Xu, X.; Greenblatt, M.; Jin, R.; Tinnemans, P.; Licciardello, S.; van Delft, M.R.; Buhot, J.; Chudzinski, P.; Hussey, N.E. Emergence of a real-space symmetry axis in the magnetoresistance of the one-dimensional conductor Li0.9Mo6O17. Sci. Adv. 2019, 5, eaar8027. [Google Scholar] [CrossRef] [Green Version]
- Mansour, A.M. Magnetic sensors and geometrical magnetoresistance: A review. J. Met. Mater. Miner. 2020, 30, 1. [Google Scholar]
- Guimarães, A.P. Principles of Nanomagnetism; Springer: Berlin/Heidelberg, Germany, 2009. [Google Scholar]
- Nickel, J. Magnetoresistance Overview HP Labs Technical Reports HPL-95-60; HP: Palo Alto, CA, USA, 1995; pp. 1–11. [Google Scholar]
- Thomson, W. On the electro-dynamic qualities of metals: Effects of magnetization on the electric conductivity of nickel and of iron. Proc. R. Soc. Lond. 1857, 8, 546. [Google Scholar]
- Groenendijk, D.J.; Manca, N.; de Bruijckere, J.; Mafalda, A.; Monteiro, R.V.L.; Gaudenzi, R.; Zant, H.S.J.V.; Caviglia, A.D. Anisotropic magnetoresistance in spin–orbit semimetal SrIrO3. Eur. Phys. J. Plus 2020, 135, 627. [Google Scholar] [CrossRef]
- Bychkov, Y.A.; Rashba, E.I. Properties of a 2D electron gas with lifted spectral degeneracy. Sov. Phys. JETP Lett. 1984, 39, 78. [Google Scholar]
- Dresselhaus, G. Spin-orbit soupling effects in zinc blende structures. Phys. Rev. 1955, 100, 580. [Google Scholar] [CrossRef]
- Su, Y.-H.; Chen, S.-H.; Hu, C.D.; Chang, C.-R. Competition between spin-orbit interaction and exchange coupling within a honeycomb lattice ribbon. J. Phys. D Appl. Phys. 2016, 49, 015305. [Google Scholar] [CrossRef]
- Ganguly, S.; Maiti, S.K.; Sil, S. Favorable thermoelectric performance in a Rashba spin-orbit coupled ac-driven graphene nanoribbon. Carbon 2021, 172, 302. [Google Scholar] [CrossRef]
- Maiti, S.K. Determination of Rashba and Dresselhaus spin-orbit fields. J. Appl. Phys. 2011, 110, 064306. [Google Scholar] [CrossRef] [Green Version]
- Dey, M.; Maiti, S.K.; Karmakar, S.N. Spin Hall effect in a Kagome lattice driven by Rashba spin-orbit interaction. J. Appl. Phys. 2012, 112, 024322. [Google Scholar] [CrossRef] [Green Version]
- Ganguly, S.; Basu, S.; Maiti, S.K. Controlled engineering of spin-polarized transport properties in a zigzag graphene nanojunction. Europhys. Lett. 2018, 124, 17005. [Google Scholar] [CrossRef] [Green Version]
- Thompson, S.M. The discovery, development and future of GMR: The Nobel Prize 2007. J. Phys. D Appl. Phys. 2008, 41, 093001. [Google Scholar] [CrossRef]
- Dagotto, E. Brief Introduction to Giant Magnetoresistance (GMR). In Nanoscale Phase Separation and Colossal Magnetoresistance; Springer Series in Solid-State Sciences; Springer: Berlin/Heidelberg, Germany, 2003; Volume 136. [Google Scholar]
- Núñez, A.S.; Duine, R.A.; Haney, P.; MacDonald, A.H. Theory of spin torques and giant magnetoresistance in antiferromagnetic metals. Phys. Rev. B 2006, 73, 214426. [Google Scholar]
- Baibich, M.N.; Broto, J.M.; Fert, A.; Dau, F.N.V.; Petroff, F.; Etienne, P.; Creuzet, G.; Friederich, A.; Chazelas, J. Giant Magnetoresistance of (001)Fe/(001)Cr Magnetic Superlattices. Phys. Rev. Lett. 1988, 61, 2472. [Google Scholar] [CrossRef] [Green Version]
- Weiss, R.; Mattheis, R.; Reiss, G. Advanced giant magnetoresistance technology for measurement applications. Meas. Sci. Technol. 2013, 24, 082001. [Google Scholar] [CrossRef]
- Schmaus, S.; Bagrets, A.; Nahas, Y.; Yamada, T.K.; Bork, A.; Bowen, M.; Beaurepaire, E.; Evers, F.; Wulfhekel, W. Giant magnetoresistance through a single molecule. Nat. Nanotech. 2011, 6, 185. [Google Scholar] [CrossRef] [PubMed] [Green Version]
- Gerstner, E. Nobel Prize 2007: Fert and Grünberg. Nat. Phys. 2007, 3, 754. [Google Scholar] [CrossRef]
- Tian, Y.; Yan, S.S. Giant magnetoresistance: History, development and beyond. Sci. China Phys. Mech. Astron. 2013, 56, 2. [Google Scholar] [CrossRef]
- Mathon, J. Tight-binding theory of tunneling giant magnetoresistance. Phys. Rev. B 1997, 56, 11810. [Google Scholar] [CrossRef] [Green Version]
- Tsymbal, E.Y.; Mryasov, O.N.; LeClair, P.R. Spin-dependent tunnelling in magnetic tunnel junctions. J. Phys. Condens. Matter 2003, 15, R109. [Google Scholar] [CrossRef]
- Inoue, J.; Maekawa, S. Theory of tunneling magnetoresistance in granular magnetic films. Phys. Rev. B 1996, 53, R11927(R). [Google Scholar] [CrossRef]
- Mathon, J.; Umerski, A. Theory of tunneling magnetoresistance of an epitaxial Fe/MgO/Fe(001) junction. Phys. Rev. B 2001, 63, 220403(R). [Google Scholar] [CrossRef] [Green Version]
- Ramirez, A.P. Colossal magnetoresistance. J. Phys. Condens. Matter 1997, 9, 8171. [Google Scholar] [CrossRef] [Green Version]
- Baldini, M.; Muramatsu, T.; Sherafati, M.; Mao, H.-K.; Malavasi, L.; Postorino, P.; Satpathy, S.; Struzhkin, V.V. Origin of colossal magnetoresistance in LaMn03 manganite. Proc. Natl. Acad. Sci. USA 2015, 112, 10869. [Google Scholar] [CrossRef] [PubMed] [Green Version]
- Sen, C.; Alvarez, G.; Dagotto, E. Competing Ferromagnetic and Charge-Ordered States in Models for Manganites: The Origin of the Colossal Magnetoresistance Effect. Phys. Rev. Lett. 2007, 98, 127202. [Google Scholar] [CrossRef] [Green Version]
- Sun, J.; Kosel, J. Extraordinary Magnetoresistance in Semiconductor/Metal Hybrids: A Review. Materials 2013, 6, 500. [Google Scholar] [CrossRef] [Green Version]
- Hewett, T.H.; Kusmartsev, F.V. Geometrically enhanced extraordinary magnetoresistance in semiconductor-metal hybrids. Phys. Rev. B 2010, 82, 212404. [Google Scholar] [CrossRef] [Green Version]
- Pletikosić, I.; Ali, M.N.; Fedorov, A.V.; Cava, R.J.; Valla, T. Electronic Structure Basis for the Extraordinary Magnetoresistance in WTe2. Phys. Rev. Lett. 2014, 113, 216601. [Google Scholar] [CrossRef] [PubMed] [Green Version]
- Ennen, I.; Kappe, D.; Rempel, T.; Glenske, C.; Hütten, A. Giant Magnetoresistance: Basic Concepts, Microstructure, Magnetic Interactions and Applications. Sensors 2016, 16, 904. [Google Scholar] [CrossRef] [PubMed]
- Camblong, H.E. Linear transport theory of magnetoconductance in metallic multilayers: A real-space approach. Phys. Rev. B 1995, 51, 1855. [Google Scholar] [CrossRef] [Green Version]
- Gijs, M.A.M.; Bauer, G.E.W. Perpendicular giant magnetoresistance of magnetic multilayers. Adv. Phys. 2006, 46, 285. [Google Scholar] [CrossRef]
- Tsymbal, E.Y.; Pettifor, D.G. Perspective of giant magnetoresistance. Solid State Phys. 2001, 56, 113. [Google Scholar]
- Xiong, P.; Xiao, G.; Wang, J.Q.; Xiao, J.Q.; Jiang, J.S.; Chien, C.L. Extraordinary Hall effect and giant magnetoresistance in the granular Co-Ag system. Phys. Rev. Lett. 1992, 69, 3220. [Google Scholar] [CrossRef] [PubMed]
- Parkin, S.S.P. Giant magnetoresistance in magnetic nanostructures. Annu. Rev. Mater. Sci. 1995, 25, 357. [Google Scholar] [CrossRef]
- Banik, S.; Das, K.; Paramanik, T.; Lalla, N.P.; Satpati, B.; Pradhan, K.; Das, I. Huge magnetoresistance and ultrasharp metamagnetic transition in polycrystalline Sm0.5Ca0.25Sr0.25MnO3. NPG Asia Mater. 2018, 10, 923. [Google Scholar] [CrossRef]
- Patra, M.; Maiti, S.K.; Sil, S. Engineering magnetoresistance: A new perspective. J. Phys. Condens. Matter 2019, 31, 355303. [Google Scholar] [CrossRef] [Green Version]
- Piraux, L.; George, J.M.; Despres, J.F.; Leroy, C.; Ferain, E.; Legras, R. Giant magnetoresistance in magnetic multilayered nanowires. Appl. Phys. Lett. 1994, 65, 2484. [Google Scholar] [CrossRef]
- Li, J.; Cheng, C.; Paiva, T.; Lin, H.-Q.; Mondaini, R. Giant Magnetoresistance in Hubbard Chains. Phys. Rev. Lett. 2018, 121, 020403. [Google Scholar] [CrossRef] [Green Version]
- Poulsen, K.; Zinner, N.T. Giant Magnetoresistance in Boundary-Driven Spin Chains. Phys. Rev. Lett. 2021, 126, 077203. [Google Scholar] [CrossRef] [PubMed]
- Marti, X.; Fina, I.; Frontera, C.; Liu, J.; Wadley, P.; He, Q.; Paull, R.J.; Clarkson, J.D.; Kudrnovský, J.; Turek, I.; et al. Room-temperature antiferromagnetic memory resistor. Nat. Mater. 2014, 13, 367. [Google Scholar] [CrossRef] [PubMed] [Green Version]
- Bhatti, S.; Sbiaa, R.; Hirohata, A.; Ohno, H.; Fukami, S.; Piramanayagam, S.N. Spintronics based random access memory: A review. Mater. Today 2017, 20, 530. [Google Scholar] [CrossRef]
- Raffel, J.; Crowder, T. A Proposal for an Associative Memory Using Magnetic Films. IEEE Trans. Electron. Comp. 1964, 13, 611. [Google Scholar] [CrossRef]
- Daughton, M.; Pohm, A.V.; Fayfield, R.T.; Smith, C.H. Applications of spin dependent transport materials. J. Phys. D Appl. Phys. 1999, 32, R169. [Google Scholar] [CrossRef]
- Mott, N.F. The electrical conductivity of transition metals. Proc. R. Soc. A 1936, 153, 699. [Google Scholar]
- Gong, G.Q.; Gupta, A.; Xiao, G.; Qian, W.; Dravid, V.P. Magnetoresistance and magnetic properties of epitaxial magnetite thin films. Phys. Rev. B 1997, 56, 5096. [Google Scholar] [CrossRef] [Green Version]
- Martin, L.W.; Chu, Y.H.; Ramesh, R. Advances in the growth and characterization of magnetic, ferroelectric, and multiferroic oxide thin flims. Mater. Sci. Eng. R 2010, 68, 89. [Google Scholar] [CrossRef] [Green Version]
- Bass, J.; Pratt, W.P., Jr. Spin-diffusion lengths in metals and alloys, and spin-flipping at metal/metal interfaces: An experimentalist’s critical review. J. Phys. Condens. Matter 2007, 19, 183201. [Google Scholar] [CrossRef]
- Sarkar, M.; Dey, M.; Maiti, S.K.; Sil, S. Engineering spin polarization in a driven multistranded magnetic quantum netword. Phys. Rev. B 2020, 102, 195435. [Google Scholar] [CrossRef]
- Koley, A.; Maiti, S.K.; Silva, J.H.O.; Laroze, D. Spin Dependent Transport through Driven Magnetic System with Aubry-Andre-Harper Modulation. Appl. Sci. 2021, 11, 2309. [Google Scholar] [CrossRef]
- H, S.A.A.; André, G. Analyticity breaking and Anderson localization in incommensurate lattices. Ann. Isr. Phys. Soc. 1980, 3, 133. [Google Scholar]
- Harper, P.G. Single Band Motion of Conduction Electrons in a Uniform Magnetic Field. Proc. Phys. Soc. Lond. Sect. A 1955, 68, 874. [Google Scholar] [CrossRef]
- Hofstadter, D.R. Energy levels and wave functions of Bloch electrons in rational and irrational magnetic Telds. Phys. Rev. B 1976, 14, 2239. [Google Scholar] [CrossRef]
- Sil, S.; Maiti, S.K.; Chakrabarti, A. Metal-insulator transition in an aperiodic ladder network: An exact result. Phys. Rev. Lett. 2008, 101, 076803. [Google Scholar] [CrossRef] [Green Version]
- Roy, N.; Sharma, A. Study of counterintuitive transport properties in the Aubry-André-Harper model via entanglement entropy and persistent current. Phys. Rev. B 2019, 100, 195413. [Google Scholar] [CrossRef] [Green Version]
- Ganeshan, S.; Pixley, J.H.; Sarma, S.D. Nearest Neighbor Tight Binding Models with an Exact Mobility Edge in One Dimension. Phys. Rev. Lett. 2015, 114, 146601. [Google Scholar] [CrossRef] [Green Version]
- Kraus, Y.E.; Lahini, Y.; Ringel, Z.; Verbin, M.; Zilberberg, O. Topological States and Adiabatic Pumping in Quasicrystals. Phys. Rev. Lett. 2012, 109, 106402. [Google Scholar] [CrossRef] [Green Version]
- Lahini, Y.; Pugatch, R.; Pozzi, F.; Sorel, M.; Morandotti, R.; Davidson, N.; Silberberg, Y. Observation of a localization transition in quasiperiodic photonic lattices. Phys. Rev. Lett. 2009, 103, 013901. [Google Scholar] [CrossRef] [Green Version]
- Roy, S.; Maiti, S.K. Tight-binding quantum network with cosine modulations: Electronic localization and delocalization. Eur. Phys. J. B 2019, 92, 267. [Google Scholar] [CrossRef]
- Patra, M.; Maiti, S.K. Externally controlled high degree of spin polarization and spin inversion in a conducting junction: Two new approaches. Sci. Rep. 2017, 7, 14313. [Google Scholar] [CrossRef] [PubMed]
- Patra, M.; Maiti, S.K. Controlled charge and spin current rectifications in a spin polarized device. J. Magn. Magn. Mater. 2019, 484, 408. [Google Scholar] [CrossRef] [Green Version]
- Dey, S.; Daw, D.; Maiti, S.K. Flux driven circular current and near zero field magnetic response in an Aubry ring: High-to-low conducting switching action. Europhys. Lett. 2020, 129, 47002. [Google Scholar] [CrossRef]
- Delplace, P.; Gómez-Lexoxn, A.; Platero, G. Merging of Dirac points and Floquet topological transitions in ac-driven graphene. Phys. Rev. B 2013, 88, 245422. [Google Scholar] [CrossRef] [Green Version]
- Gómez-Lexoxn, A.; Platero, G. Floquet-Bloch Theory and Topology in Periodically Driven Lattices. Phys. Rev. Lett. 2013, 110, 200403. [Google Scholar] [CrossRef] [PubMed]
- Asobóth, J.K.; Tarasinski, B.; Delplace, P. Chiral symmetry and bulk-boundary correspondance in periodically driven one-dimensional systems. Phys. Rev. B 2014, 90, 125143. [Google Scholar] [CrossRef] [Green Version]
- Runder, M.S.; Linder, N.H. Band structure engineering and non-equilibrium dynamics in Floquet topological insulators. Nat. Rev. Phys. 2020, 2, 229. [Google Scholar]
- Eckardt, A.; Anisimovas, E. High-frequency approximation for periodically driven quantum systems from a Floquet-space perspective. New J. Phys. 2015, 17, 093039. [Google Scholar] [CrossRef]
- Liang, P.; Marthaler, M.; Guo, L. Floquet many-body engineering: Topology and many-body physics in phase space lattices. New J. Phys. 2018, 20, 023043. [Google Scholar] [CrossRef]
- Datta, S. Electronic Transport in Mesoscopic Systems; Cambridge University Press: Cambridge, UK, 1995. [Google Scholar]
- Wu, B.H.; Cao, J.C. A Floquet-Green’s function approach to mesoscopic transport under ac bias. J. Phys. Condens. Matter 2008, 20, 085224. [Google Scholar] [CrossRef]
- Zhang, X.W.; Liu, Y.L. Electronic transport and spatial current patterns of 2D electronic system: A recursive Grenn’s function method study. AIP Adv. 2019, 9, 115209. [Google Scholar] [CrossRef]
- Peres, N.; Stauber, T.; Santos, J.M.B.L.D. Lattice Green’s function approach to the solution of the spectrum of an array of quantum dots and its linear conductance. Phys. Rev. B 2009, 79, 035107. [Google Scholar] [CrossRef] [Green Version]
- Bi, M.X.; Yan, X.H.; Xiao, Y.; Guo, H. Time-dependent Green’s function approach to spin transport assisted by nonclassical light. Phys. Rev. B 2019, 100, 235432. [Google Scholar] [CrossRef]
- Fisher, D.S.; Lee, P.A. Relation between conductivity and transmission matrix. Phys. Rev. B 1981, 23, 6815(R). [Google Scholar] [CrossRef] [Green Version]
- Karuppasamy, P.; Kamalesh, T.; Anitha, K.; Kalam, S.A.; Pandian, M.S.; Ramasamy, P.; Verma, S.; Rao, S.V. Synthesis, crystal growth, structure and characterization of a novel third order nonlinear optical organic single crystal: 2-amino 4, 6-dimethyl pyrimidine 4-nitrophenol. Opt. Mater. 2018, 84, 475. [Google Scholar] [CrossRef]
- Murugesan, M.; Paulraj, R.; Perumalsamy, R.; Kumar, M.K. Growth, photoluminescence, lifetime, and laser damage threshold studies of 1, 3, 5-triphenylbenzene (TPB) single crystal for scintillation application. Appl. Phys. A 2020, 126, 459. [Google Scholar] [CrossRef]







Publisher’s Note: MDPI stays neutral with regard to jurisdictional claims in published maps and institutional affiliations. |
© 2021 by the authors. Licensee MDPI, Basel, Switzerland. This article is an open access article distributed under the terms and conditions of the Creative Commons Attribution (CC BY) license (https://creativecommons.org/licenses/by/4.0/).
Share and Cite
Koley, A.; Maiti, S.K.; Pérez, L.M.; Silva, J.H.O.; Laroze, D. Possible Routes to Obtain Enhanced Magnetoresistance in a Driven Quantum Heterostructure with a Quasi-Periodic Spacer. Micromachines 2021, 12, 1021. https://doi.org/10.3390/mi12091021
Koley A, Maiti SK, Pérez LM, Silva JHO, Laroze D. Possible Routes to Obtain Enhanced Magnetoresistance in a Driven Quantum Heterostructure with a Quasi-Periodic Spacer. Micromachines. 2021; 12(9):1021. https://doi.org/10.3390/mi12091021
Chicago/Turabian StyleKoley, Arpita, Santanu K. Maiti, Laura M. Pérez, Judith Helena Ojeda Silva, and David Laroze. 2021. "Possible Routes to Obtain Enhanced Magnetoresistance in a Driven Quantum Heterostructure with a Quasi-Periodic Spacer" Micromachines 12, no. 9: 1021. https://doi.org/10.3390/mi12091021
APA StyleKoley, A., Maiti, S. K., Pérez, L. M., Silva, J. H. O., & Laroze, D. (2021). Possible Routes to Obtain Enhanced Magnetoresistance in a Driven Quantum Heterostructure with a Quasi-Periodic Spacer. Micromachines, 12(9), 1021. https://doi.org/10.3390/mi12091021

