The Effects of Inlet Blockage and Electrical Driving Mode on the Performance of a Needle-Ring Ionic Wind Pump
Abstract
1. Introduction
2. Material and Methods
2.1. Experimental Setup
2.2. Ionic Wind Pump under Test
3. Results and Discussion
3.1. Flow Rate
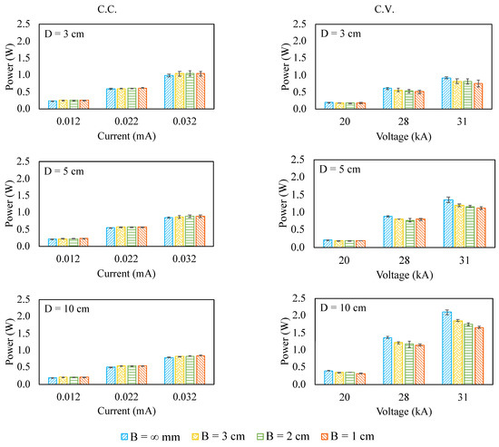
3.2. Corona Power
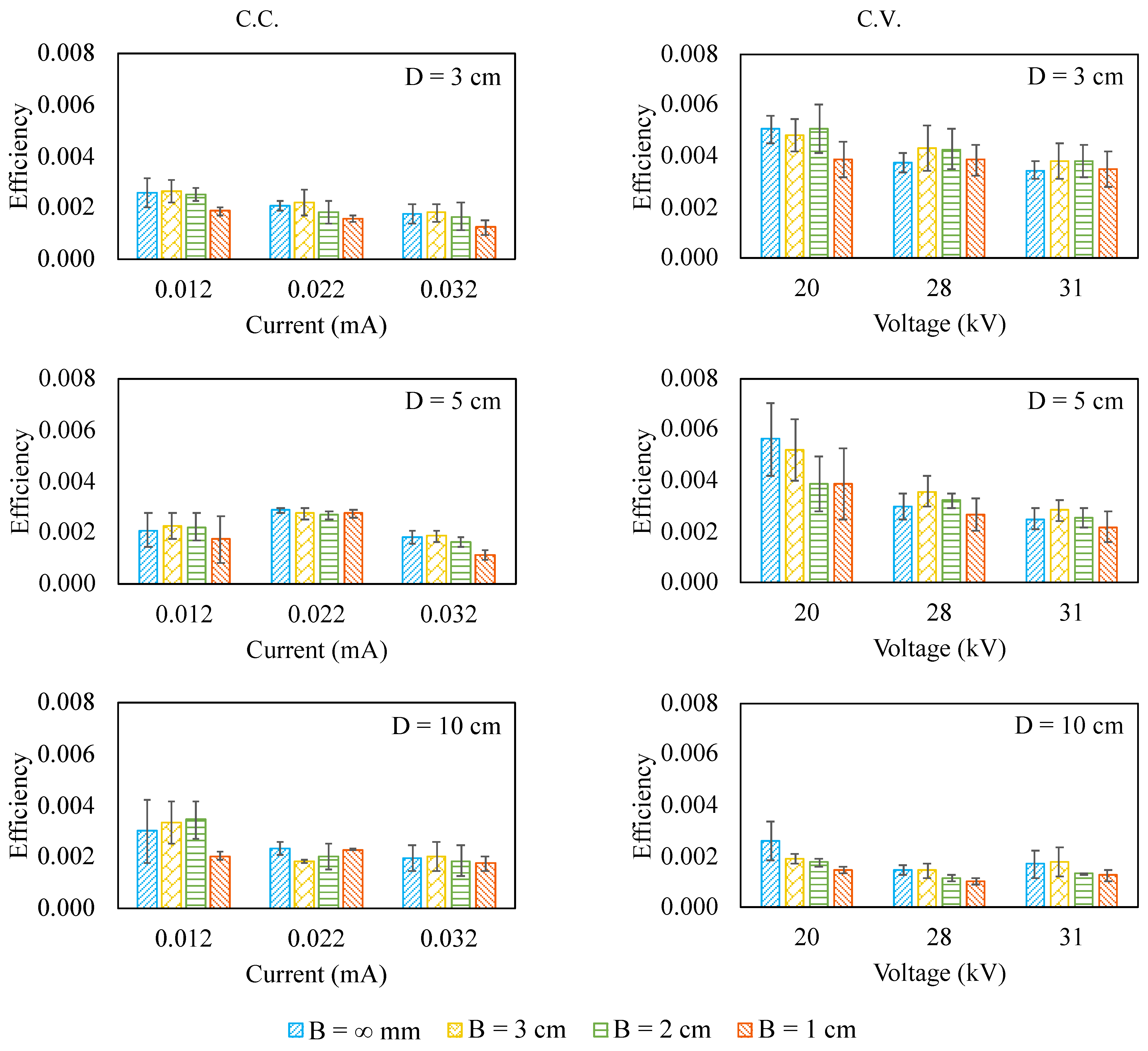
3.3. Energy Efficiency
4. Conclusions
Author Contributions
Funding
Institutional Review Board Statement
Informed Consent Statement
Data Availability Statement
Acknowledgments
Conflicts of Interest
References
- Akbari, S.; Lovberg, A.; Tegehall, P.E.; Brinkfeldt, K.; Andersson, D. Effect of PCB cracks on thermal cycling reliability of passive microelectronic components with single-grained solder joints. Microelectron. Reliab. 2019, 93, 61–71. [Google Scholar] [CrossRef]
- Ekpu, M. Investigating the reliability of SnAgCu solder alloys at elevated temperatures in microelectronic applications. J. Electron. Mater. 2021, 50, 4433–4441. [Google Scholar] [CrossRef]
- Lall, P.; Pecht, M.G.; Hakim, E.B. Influence of temperature on microelectronics and system reliability: A physics of failure approach; CRC Press: London, UK, 2020. [Google Scholar]
- Belarbi, A.A.; Beriache, M.; Bettahar, A. Experimental study of aero-thermal heat sink performances subjected to impinging air flow. Int. J. Heat Technol. 2018, 36, 1310–1317. [Google Scholar] [CrossRef]
- Shankaran, G.V.; Dogruoz, M.B. Validation of an advanced fan model with multiple reference frame approach. In Proceedings of the 12th IEEE Intersociety Conference on Thermal and Thermomechanical Phenomena in Electronic Systems, Las Vegas, NV, USA, 2–5 June 2010; pp. 1–9. [Google Scholar]
- Mathson, T.; Ivanovich, M. AMCA’s fan efficiency grades: Answers to frequently asked questions. AMCA Int. 2011, 53, 8–12. [Google Scholar]
- Johnson, M.J.; Go, D.B. Recent advances in electrohydrodynamic pumps operated by ionic winds: A review. Plasma Sources Sci. Technol. 2017, 26, 103002. [Google Scholar] [CrossRef]
- Moreau, E.; Audier, P.; Benard, N. Ionic wind produced by positive and negative corona discharges in air. J. Electrost. 2018, 93, 85–96. [Google Scholar] [CrossRef]
- Wang, H.C.; Jewell-Larsen, N.E.; Mamishev, A.V. Thermal management of microelectronics with electrostatic fluid accelerators. Appl. Therm. Eng. 2013, 51, 190–211. [Google Scholar] [CrossRef]
- Wen, T.Y.; Lindgren, K.; Mamishev, A.V. Electrostatic fluid accelerator under high-speed free air stream. Contrib. Plasma Phys. 2016, 56, 951–958. [Google Scholar] [CrossRef]
- Zhao, L.; Adamiak, K. EHD flow in air produced by electric corona discharge in pin-plate configuration. J. Electrost. 2005, 63, 337–350. [Google Scholar] [CrossRef]
- June, M.S.; Kribs, J.; Lyons, K.M. Measuring efficiency of positive and negative ionic wind devices for comparison to fans and blowers. J. Electrost. 2011, 69, 345–350. [Google Scholar] [CrossRef]
- Kawamoto, H.; Umezu, S. Electrostatic micro-ozone fan that utilizes ionic wind induced in pin-to-plate corona discharge system. J. Electrost. 2008, 66, 445–454. [Google Scholar] [CrossRef]
- Ong, A.O.; Abramson, A.R.; Tien, N.C. Electrohydrodynamic microfabricated ionic wind pumps for thermal management applications. J. Heat Transf. 2014, 136, 061703. [Google Scholar]
- Wang, P.H.; Wen, T.Y. Effects of inlet blockage and electrical driving mode on static pressure and flow rate of wire-rod electrohydrodynamic pumps. J. Electrost. 2020, 103, 103409. [Google Scholar] [CrossRef]
- Colas, D.F.; Ferret, A.; Pai, D.Z.; Lacoste, D.A.; Laux, C.O. Ionic wind generation by a wire-cylinder-plate corona discharge in air at atmospheric pressure. J. Appl. Phys. 2010, 108, 103306. [Google Scholar] [CrossRef]
- Moon, J.D.; Hwang, D.H.; Geum, S.T. An EHD gas pump utilizing a ring/needle electrode. IEEE Trans. Dielectr. Electr. Insul. 2009, 16, 352–358. [Google Scholar] [CrossRef]
- Ongkodjojo, A.; Roberts, R.C.; Abramson, A.R.; Tien, N.C. Highly efficient ionic wind-based cooling microfabricated device for microchip cooling applications. In Proceedings of the Solid-State Sensors, Actuators, and Microsystems Workshop, Hilton Head Island, SC, USA, 6–10 June 2010; pp. 447–450. [Google Scholar]
- Defoort, E.; Benard, N.; Moreau, E. Ionic wind produced by an electro-aerodynamic pump based on corona and dielectric barrier discharges. J. Electrost. 2017, 88, 35–40. [Google Scholar] [CrossRef]
- Zhang, J.; Kong, L.; Qu, J.; Wang, S.; Qu, Z. Numerical and experimental investigation on configuration optimization of the large-size ionic wind pump. Energy 2019, 171, 624–630. [Google Scholar] [CrossRef]
- Birhane, Y.T.; Lin, S.C.; Lai, F.C. Flow characteristics of a single stage EHD gas pump in circular tube. J. Electrost. 2015, 76, 8–17. [Google Scholar] [CrossRef]
- Birhane, Y.T.; Lin, S.C.; Lai, F.C. Flow characteristics of a two-stage EHD gas pump in a circular pipe. IEEE Trans. Ind. Appl. 2017, 53, 2461–2470. [Google Scholar] [CrossRef]
- Zhang, Y.; Liu, L.; Chen, Y.; Ouyang, J. Characteristics of ionic wind in needle-to-ring corona discharge. J. Electrost. 2015, 74, 15–20. [Google Scholar] [CrossRef]
- Qu, J.; Zhang, J.; Li, M.; Tao, W. Heat dissipation of electronic components by ionic wind from multi-needle electrodes discharge: Experimental and multi-physical analysis. Int. J. Heat Mass Transf. 2020, 163, 120406. [Google Scholar] [CrossRef]
- Wang, S.; Qu, J.G.; Kong, L.J.; Zhang, J.F.; Qu, Z.G. Numerical and experimental study of heat-transfer characteristics of needle-to-ring-type ionic wind generator for heated-plate cooling. Int. J. Therm. Sci. 2019, 139, 176–185. [Google Scholar] [CrossRef]
- Kawamoto, H.; Ichikawa, R. Development of ionic wind pump used in martian environment. J. Aerosp. Eng. 2021, 34, 04021050. [Google Scholar] [CrossRef]
- Xu, C.; Zheng, H.; Liu, J.; Chu, J.; Zeng, X.; Sun, R.; Liu, S. Enhanced cooling of LED filament bulbs using an embedded tri-needle/ring ionic wind device. Energies 2020, 13, 3008. [Google Scholar] [CrossRef]
- Lee, S.J.; Li, L.; Kwon, K.; Kim, W.; Kim, D. Parallel integration of ionic wind generators on PCBs for enhancing flow rate. Microsyst. Technol. 2015, 21, 1465–1471. [Google Scholar] [CrossRef]
- Lin, S.C.; Chou, C.A. Blockage effect of axial-flow fans applied on heat sink assembly. Appl. Therm. Eng. 2004, 24, 2375–2389. [Google Scholar] [CrossRef]
- Wang, C. Noise source analysis for two identical small axial-flow fans in series under operating condition. Appl. Acoust. 2018, 129, 13–26. [Google Scholar] [CrossRef]
- Fukue, T.; Koizumi, K.; Ishizuka, M.; Nakagawa, S. Effects of electronic enclosure and inlet area on P-Q curves of installed axial cooling fans. J. Environ. Eng. 2011, 6, 650–664. [Google Scholar] [CrossRef][Green Version]
- Wang, P.H.; Wen, T.Y. Effects of electrical driving mode on pressure and flow rate of wire-rod electrohydrodynamic pumps. IEEE Trans. Compon. Packag. Manuf. Technol. 2020, 10, 621–625. [Google Scholar] [CrossRef]
- Marciulionis, P. Analysis of electrohydrodynamic air flow induced by DC corona field in wire-to-plane electrode system. J. Electrost. 2020, 105, 103446. [Google Scholar] [CrossRef]
- Rickard, M.; Dunn-Rankin, D. Numerical simulation of a tubular ion-driven wind generator. J. Electrost. 2007, 65, 646–654. [Google Scholar] [CrossRef]





Publisher’s Note: MDPI stays neutral with regard to jurisdictional claims in published maps and institutional affiliations. |
© 2021 by the authors. Licensee MDPI, Basel, Switzerland. This article is an open access article distributed under the terms and conditions of the Creative Commons Attribution (CC BY) license (https://creativecommons.org/licenses/by/4.0/).
Share and Cite
Ye, J.-C.; Wen, T.-Y. The Effects of Inlet Blockage and Electrical Driving Mode on the Performance of a Needle-Ring Ionic Wind Pump. Micromachines 2021, 12, 900. https://doi.org/10.3390/mi12080900
Ye J-C, Wen T-Y. The Effects of Inlet Blockage and Electrical Driving Mode on the Performance of a Needle-Ring Ionic Wind Pump. Micromachines. 2021; 12(8):900. https://doi.org/10.3390/mi12080900
Chicago/Turabian StyleYe, Jia-Cheng, and Tsrong-Yi Wen. 2021. "The Effects of Inlet Blockage and Electrical Driving Mode on the Performance of a Needle-Ring Ionic Wind Pump" Micromachines 12, no. 8: 900. https://doi.org/10.3390/mi12080900
APA StyleYe, J.-C., & Wen, T.-Y. (2021). The Effects of Inlet Blockage and Electrical Driving Mode on the Performance of a Needle-Ring Ionic Wind Pump. Micromachines, 12(8), 900. https://doi.org/10.3390/mi12080900
