On the Modeling of the Donor/Acceptor Compensation Ratio in Carbon-Doped GaN to Univocally Reproduce Breakdown Voltage and Current Collapse in Lateral GaN Power HEMTs
Abstract
1. Introduction
2. Modeling Framework
3. Results
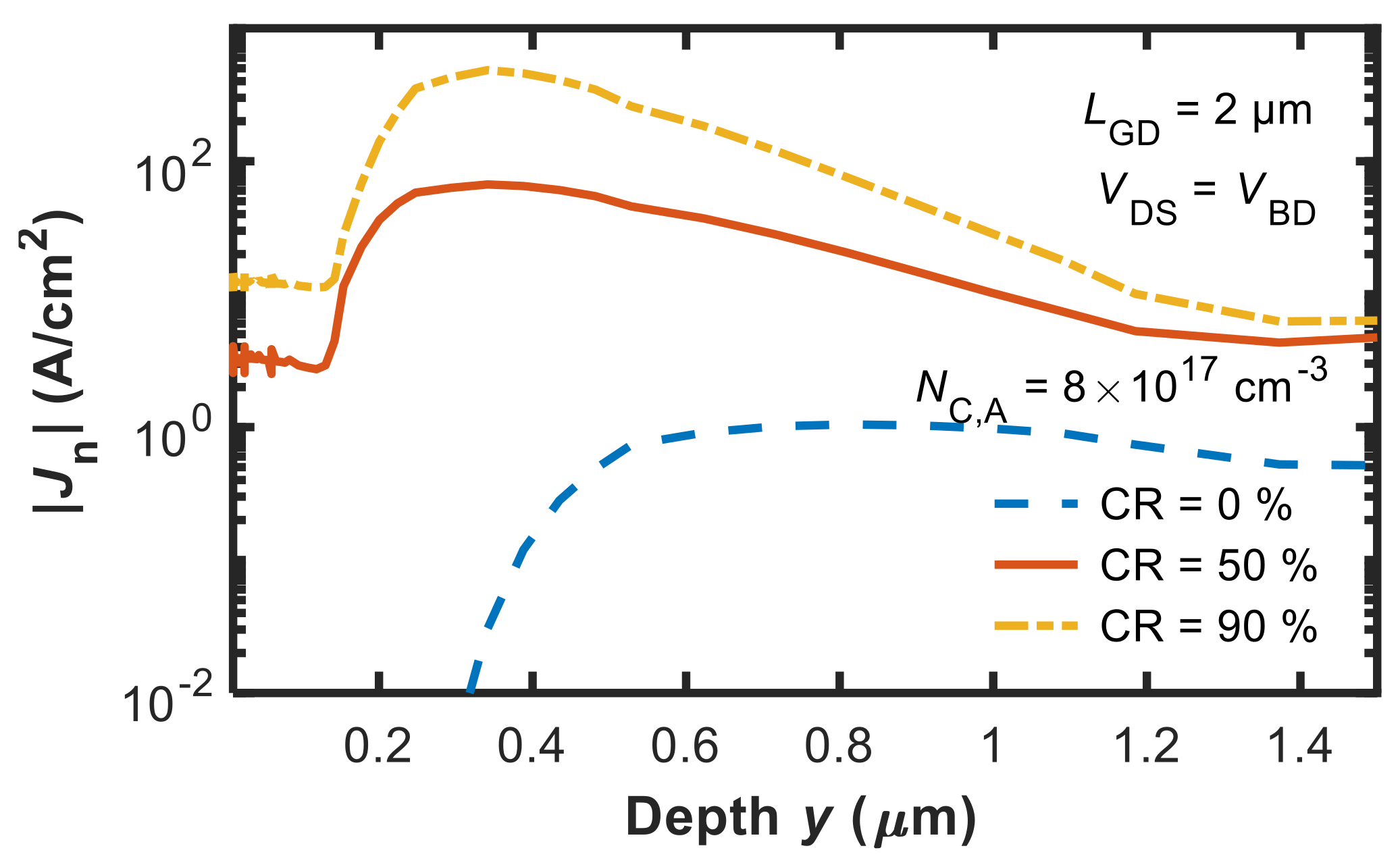
3.1. Breakdown Voltage
3.2. Current Collapse
4. Discussion
5. Conclusions
Author Contributions
Funding
Conflicts of Interest
References
- Bahat-Treidel, E.; Brunner, F.; Hilt, O.; Cho, E.; Würfl, J.; Trankle, G. AlGaN/GaN/GaN:C back-barrier HFETs with breakdown voltage of over 1 kV and low RON× A. IEEE Trans. Electron. Devices 2010, 57, 3050–3058. [Google Scholar] [CrossRef]
- Uren, M.J.; Moreke, J.; Kuball, M. Buffer design to minimize current collapse in GaN/AlGaN HFETs. IEEE Trans. Electron. Devices 2012, 59, 3327–3333. [Google Scholar] [CrossRef]
- Del Alamo, J.A.; Lee, E.S. Stability and Reliability of Lateral GaN Power Field-Effect Transistors. IEEE Trans. Electron Devices 2019, 66, 4578–4590. [Google Scholar] [CrossRef]
- Chini, A.; Meneghesso, G.; Meneghini, M.; Fantini, F.; Verzellesi, G.; Patti, A.; Iucolano, F. Experimental and Numerical Analysis of Hole Emission Process from Carbon-Related Traps in GaN Buffer Layers. IEEE Trans. Electron. Devices 2016, 63, 3473–3478. [Google Scholar] [CrossRef]
- Remesh, N.; Mohan, N.; Raghavan, S.; Muralidharan, R.; Nath, D.N. Optimum Carbon Concentration in GaN-on-Silicon for Breakdown Enhancement in AlGaN/GaN HEMTs. IEEE Trans. Electron. Devices 2020, 67, 2311–2317. [Google Scholar] [CrossRef]
- Matsubara, M.; Bellotti, E. A first-principles study of carbon-related energy levels in GaN. I. Complexes formed by substitutional/interstitial carbons and gallium/nitrogen vacancies. J. Appl. Phys. 2017, 121, 195701. [Google Scholar] [CrossRef]
- Lyons, J.L.; Wickramaratne, D.; Van de Walle, C.G. A first-principles understanding of point defects and impurities in GaN. J. Appl. Phys. 2021, 129, 111101. [Google Scholar] [CrossRef]
- Lyons, J.L.; Janotti, A.; Van De Walle, C.G. Effects of carbon on the electrical and optical properties of InN, GaN, and AlN. Phys. Rev. B Condens. Matter Mater. Phys. 2014, 89, 1–8. [Google Scholar] [CrossRef]
- Rackauskas, B.; Uren, M.J.; Stoffels, S.; Zhao, M.; Decoutere, S.; Kuball, M. Determination of the self-compensation ratio of carbon in AlGaN for HEMTs. IEEE Trans. Electron. Devices 2018, 65, 1838–1842. [Google Scholar] [CrossRef]
- Uren, M.J.; Karboyan, S.; Chatterjee, I.; Pooth, A.; Moens, P.; Banerjee, A.; Kuball, M. “Leaky Dielectric” Model for the Suppression of Dynamic RON in Carbon-Doped AlGaN/GaN HEMTs. IEEE Trans. Electron. Devices 2017, 64, 2826–2834. [Google Scholar] [CrossRef]
- Koller, C.; Pobegen, G.; Ostermaier, C.; Pogany, D. Effect of Carbon Doping on Charging/Discharging Dynamics and Leakage Behavior of Carbon-Doped GaN. IEEE Trans. Electron. Devices 2018, 65, 5314–5321. [Google Scholar] [CrossRef]
- Verzellesi, G.; Morassi, L.; Meneghesso, G.; Meneghini, M.; Zanoni, E.; Pozzovivo, G.; Lavanga, S.; Detzel, T.; Häberlen, O.; Curatola, G. Influence of buffer carbon doping on pulse and AC behavior of insulated-gate field-plated power AlGaN/GaN HEMTs. IEEE Electron. Device Lett. 2014, 35, 443–445. [Google Scholar] [CrossRef]
- Joshi, V.; Tiwari, S.P.; Shrivastava, M. Part I: Physical Insight Into Carbon-Doping-Induced Delayed Avalanche Action in GaN Buffer in AlGaN/GaN HEMTs. IEEE Trans. Electron. Devices 2019, 66, 561–569. [Google Scholar] [CrossRef]
- Zagni, N.; Puglisi, F.M.; Pavan, P.; Chini, A.; Verzellesi, G. Insights into the off-state breakdown mechanisms in power GaN HEMTs. Microelectron. Reliab. 2019, 100–101, 113374. [Google Scholar] [CrossRef]
- Fariza, A.; Lesnik, A.; Bläsing, J.; Hoffmann, M.P.; Hörich, F.; Veit, P.; Witte, H.; Dadgar, A.; Strittmatter, A. On reduction of current leakage in GaN by carbon-doping. Appl. Phys. Lett. 2016, 109, 212102. [Google Scholar] [CrossRef]
- Zagni, N.; Chini, A.; Puglisi, F.M.; Meneghini, M.; Meneghesso, G.; Zanoni, E.; Pavan, P.; Verzellesi, G. “Hole Redistribution” Model Explaining the Thermally Activated RON Stress/Recovery Transients in Carbon-Doped AlGaN/GaN Power MIS-HEMTs. IEEE Trans. Electron. Devices 2021, 68, 697–703. [Google Scholar] [CrossRef]
- Zagni, N.; Chini, A.; Puglisi, F.M.; Pavan, P.; Verzellesi, G. The Role of Carbon Doping on Breakdown, Current Collapse, and Dynamic On-Resistance Recovery in AlGaN/GaN High Electron Mobility Transistors on Semi-Insulating SiC Substrates. Phys. Status Solidi 2019, 217, 1900762. [Google Scholar] [CrossRef]
- Meneghesso, G.; Silvestri, R.; Meneghini, M.; Cester, A.; Zanoni, E.; Verzellesi, G.; Pozzovivo, G.; Lavanga, S.; Detzel, T.; Haberlen, O.; et al. Threshold voltage instabilities in D-mode GaN HEMTs for power switching applications. In Proceedings of the IEEE International Reliability Physics Symposium (IRPS), Monterey, CA, USA, 14–18 April 2014; pp. 6–10. [Google Scholar] [CrossRef]
- Viey, A.G.; Vandendaele, W.; Jaud, M.-A.; Cluzel, J.; Barnes, J.-P.; Martin, S.; Krakovinsky, A.; Gwoziecki, R.; Plissonnier, M.; Gaillard, F.; et al. Investigation of nBTI degradation on GaN-on-Si E-mode MOSc-HEMT. In Proceedings of the IEEE International Electron Devices Meeting (IEDM), San Francisco, CA, USA, 7–11 December 2019; pp. 4.3.1–4.3.4. [Google Scholar] [CrossRef]
- Zagni, N.; Chini, A.; Puglisi, F.M.; Pavan, P.; Verzellesi, G. The effects of carbon on the bidirectional threshold voltage instabilities induced by negative gate bias stress in GaN MIS-HEMTs. J. Comput. Electron. 2020, 19, 1555–1563. [Google Scholar] [CrossRef]
- Zagni, N.; Cioni, M.; Chini, A.; Iucolano, F.; Puglisi, F.M.; Pavan, P.; Verzellesi, G. Mechanisms Underlying the Bidirectional V T Shift After Negative-Bias Temperature Instability Stress in Carbon-Doped Fully Recessed AlGaN/GaN MIS-HEMTs. IEEE Trans. Electron. Devices 2021, 68, 2564–2567. [Google Scholar] [CrossRef]
- Ber, E.; Osman, B.; Ritter, D. Measurement of the Variable Surface Charge Concentration in Gallium Nitride and Implications on Device Modeling and Physics. IEEE Trans. Electron. Devices 2019, 66, 2100–2105. [Google Scholar] [CrossRef]
- Bellotti, E.; Bertazzi, F. A numerical study of carrier impact ionization in Al xGa 1-xN. J. Appl. Phys. 2012, 111, 103711. [Google Scholar] [CrossRef]
- Armstrong, A.; Poblenz, C.; Green, D.S.; Mishra, U.K.; Speck, J.S.; Ringel, S.A. Impact of substrate temperature on the incorporation of carbon-related defects and mechanism for semi-insulating behavior in GaN grown by molecular beam epitaxy. Appl. Phys. Lett. 2006, 88, 1–4. [Google Scholar] [CrossRef]
- Joshi, V.; Tiwari, S.P.; Shrivastava, M. Part II: Proposals to Independently Engineer Donor and Acceptor Trap Concentrations in GaN Buffer for Ultrahigh Breakdown AlGaN/GaN HEMTs. IEEE Trans. Electron. Devices 2019, 66, 570–577. [Google Scholar] [CrossRef]
- Moens, P.; Liu, C.; Banerjee, A.; Vanmeerbeek, P.; Coppens, P.; Ziad, H.; Constant, A.; Li, Z.; De Vleeschouwer, H.; Roig-Guitart, J.; et al. An industrial process for 650 V rated GaN-on-Si power devices using in-situ SiN as a gate dielectric. In Proceedings of the IEEE International Symposium on Power Semiconductor Devices & IC’s (ISPSD), Waikoloa, HI, USA, 15–19 June 2014; pp. 374–377. [Google Scholar] [CrossRef]
- Cornigli, D.; Reggiani, S.; Gnani, E.; Gnudi, A.; Baccarani, G.; Moens, P.; Vanmeerbeek, P.; Banerjee, A.; Meneghesso, G. Numerical Investigation of the Lateral and Vertical Leakage Currents and Breakdown Regimes in GaN-on-Silicon Vertical Structures. In Proceedings of the IEEE International Electron Devices Meeting (IEDM), Washington, DC, USA, 7–9 December 2015; pp. 109–112, ISBN 9781467398947. [Google Scholar]
- Hilt, O.; Brunner, F.; Cho, E.; Knauer, A.; Bahat-Treidel, E.; Wurfl, J. Normally-off high-voltage p-GaN gate GaN HFET with carbon-doped buffer. In Proceedings of the IEEE International Symposium on Power Semiconductor Devices and ICs (ISPSD), Virtual, 30 May–3 June 2011; pp. 239–242. [Google Scholar] [CrossRef]
- Iucolano, F.; Parisi, A.; Reina, S.; Patti, A.; Coffa, S.; Meneghesso, G.; Verzellesi, G.; Fantini, F.; Chini, A. Correlation between dynamic Rdsou transients and Carbon related buffer traps in AlGaN/GaN HEMTs. In Proceedings of the IEEE International Reliability Physics Symposium (IRPS), Pasadena, CA, USA, 17–21 April 2016; pp. CD21–CD24. [Google Scholar] [CrossRef]
- Uren, M.J.; Kuball, M. Current collapse and kink effect in GaN RF HEMTs: The key role of the epitaxial buffer. In Proceedings of the IEEE BiCMOS and Compound Semiconductor Integrated Circuits and Technology Symposium (BCICTS), Monterey, CA, USA, 16–19 November 2020; pp. 1–8. [Google Scholar] [CrossRef]







| Physical Mechanism | Model | Parameters | Value |
|---|---|---|---|
| Impact Ionization | Chynoweth’s Law | a (electrons) | 2.32 × 106 cm−1 |
| b (electrons) | 1.4 × 107 V/cm | ||
| a (holes) | 5.41 × 106 cm−1 | ||
| b (holes) | 1.89 × 107 V/cm | ||
| Carbon Doping (Buffer) | Acceptor Trap Level | Concentration | Variable |
| Energy Level | 0.9 + EV eV | ||
| Donor Trap Level | Concentration | Variable | |
| Energy Level | EC—0.11 eV | ||
| Unintentional Doping (Channel) | Donor Trap Level | Concentration | 1 × 1015 cm−3 |
| Schottky Diode (Gate Contact) | Thermionic and Field Emission | Schottky Barrier Height | 1 eV |
| Low-Field Mobility (GaN) | µn | 1800 cm2/Vs | |
| High-Field Saturation (GaN) | Canali Model | vn,sat | 1.5 × 107 cm/s |
Publisher’s Note: MDPI stays neutral with regard to jurisdictional claims in published maps and institutional affiliations. |
© 2021 by the authors. Licensee MDPI, Basel, Switzerland. This article is an open access article distributed under the terms and conditions of the Creative Commons Attribution (CC BY) license (https://creativecommons.org/licenses/by/4.0/).
Share and Cite
Zagni, N.; Chini, A.; Puglisi, F.M.; Pavan, P.; Verzellesi, G. On the Modeling of the Donor/Acceptor Compensation Ratio in Carbon-Doped GaN to Univocally Reproduce Breakdown Voltage and Current Collapse in Lateral GaN Power HEMTs. Micromachines 2021, 12, 709. https://doi.org/10.3390/mi12060709
Zagni N, Chini A, Puglisi FM, Pavan P, Verzellesi G. On the Modeling of the Donor/Acceptor Compensation Ratio in Carbon-Doped GaN to Univocally Reproduce Breakdown Voltage and Current Collapse in Lateral GaN Power HEMTs. Micromachines. 2021; 12(6):709. https://doi.org/10.3390/mi12060709
Chicago/Turabian StyleZagni, Nicolò, Alessandro Chini, Francesco Maria Puglisi, Paolo Pavan, and Giovanni Verzellesi. 2021. "On the Modeling of the Donor/Acceptor Compensation Ratio in Carbon-Doped GaN to Univocally Reproduce Breakdown Voltage and Current Collapse in Lateral GaN Power HEMTs" Micromachines 12, no. 6: 709. https://doi.org/10.3390/mi12060709
APA StyleZagni, N., Chini, A., Puglisi, F. M., Pavan, P., & Verzellesi, G. (2021). On the Modeling of the Donor/Acceptor Compensation Ratio in Carbon-Doped GaN to Univocally Reproduce Breakdown Voltage and Current Collapse in Lateral GaN Power HEMTs. Micromachines, 12(6), 709. https://doi.org/10.3390/mi12060709

