Switchable and Dual-Tunable Multilayered Terahertz Absorber Based on Patterned Graphene and Vanadium Dioxide
Abstract
1. Introduction
2. Materials and Model
2.1. Patterned Graphene
2.2. Phase-Change Material VO2
2.3. Model Design
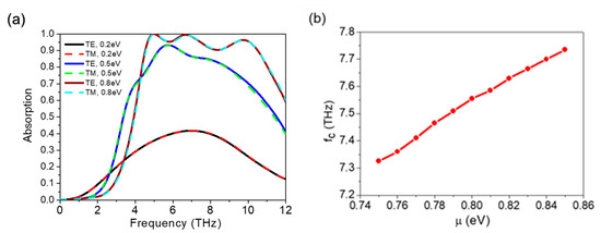
3. Results and Discussion
4. Conclusions
Author Contributions
Funding
Conflicts of Interest
References
- Cai, Y.J.; Xu, K.D. Tunable broadband terahertz absorber based on multilayer graphene-sandwiched plasmonic structure. Opt. Express 2018, 26, 31693–31705. [Google Scholar] [CrossRef]
- Federici, J.; Moeller, L. Review of terahertz and sub terahertz wireless communications. J. Appl. Phys. 2010, 107, 6. [Google Scholar] [CrossRef]
- Watts, C.M.; Liu, X.; Padilla, W.J. Metamaterial electromagnetic wave absorbers. Adv. Mater. 2012, 24, OP98–OP120. [Google Scholar] [CrossRef]
- Guo, C.; Zhang, J.; Liu, K.; Yuan, X.; Qin, S.; Zhu, Z. Graphene-based perfect absorption structures in the visible to terahertz band and their optoelectronics applications. Nanomaterials 2018, 8, 1033. [Google Scholar] [CrossRef] [PubMed]
- Jiang, S.; Li, J.Y.; Li, J.Z.; Zhang, G.Z.; Lin, H.; Yi, F. Genetic optimization of plasmonic metamaterial absorber towards dual-band infrared imaging polarimetry. Opt. Express 2020, 28, 22617–22629. [Google Scholar] [CrossRef] [PubMed]
- Abbas, A.; Ali, M.; Ali, F. Ultra high-sensitivity and tunable dual-band perfect absorber as a plasmonic sensor. Opt. Laser Technol. 2020, 127, 106201. [Google Scholar]
- Zhang, Y.; Feng, Y.; Zhu, B.; Zhao, J.; Jiang, T. Graphene based tunable metamaterial absorber and polarization modulation in terahertz frequency. Opt. Express 2014, 22, 22743–22752. [Google Scholar] [CrossRef] [PubMed]
- Chen, H.T. Interference theory of metamaterial perfect absorbers. Opt. Express 2012, 20, 7165–7172. [Google Scholar] [CrossRef]
- Cui, Y.; He, Y.; Jin, Y.; Ding, F.; Yang, L.; Ye, Y.; Zhong, S.; Lin, Y.; He, S. Plasmonic and metamaterial structures as electromagnetic absorbers. Laser Photonics Rev. 2014, 8, 495–520. [Google Scholar] [CrossRef]
- Zhu, J.; Ma, Z.; Sun, W.; Ding, F.; He, Q.; Zhou, L.; Ma, Y. Ultra-broadband terahertz metamaterial absorber. Appl. Phys. Lett. 2014, 105, 021102. [Google Scholar] [CrossRef]
- Meng, W.; Lv, J.; Zhang, L.; Que, L.; Zhou, Y.; Jiang, Y. An ultra-broadband and polarization-independent metamaterial absorber with bandwidth of 3.7 THz. Opt. Commun. 2018, 431, 255–260. [Google Scholar] [CrossRef]
- Geim, A.K.; Novoselov, S.K. The rise of graphene. Nat. Mater. 2007, 6, 183–191. [Google Scholar] [CrossRef]
- Zhou, Q.; Liu, P.; Bian, L.; Liu, H.; Liu, C.; Chen, G. Controlling enhanced absorption in graphene metamaterial. Opt. Commun. 2018, 413, 310–316. [Google Scholar] [CrossRef]
- Yan, J.; Zhang, Y.; Kim, P.; Pinczuk, A. Electric field effect tuning of electron-phonon coupling in graphene. Phys. Rev. Lett. 2007, 98, 166802. [Google Scholar] [CrossRef] [PubMed]
- Bonaccorso, F.; Sun, Z.; Hasan, T.; Ferrari, A.C. Graphene photonics and optoelectronics. Nat. Photonics 2010, 4, 611–622. [Google Scholar] [CrossRef]
- Ye, L.; Zeng, F.; Zhang, Y.; Xu, X.; Yang, X.; Liu, Q.H. Frequency-reconfigurable wide-angle terahertz absorbers using single- and double-layer decussate graphene ribbon arrays. Nanomaterials 2018, 8, 834. [Google Scholar] [CrossRef] [PubMed]
- Chen, P. and Alu., A. Terahertz metamaterial devices based on graphene nanostructures. IEEE Trans. THz Sci. Technol. 2013, 3, 748–756. [Google Scholar] [CrossRef]
- Biabanifard, S.; Biabanifard, M.; Asgari, S.; Asadi, S.; Yagub, M.C.E. Tunable ultra-wideband terahertz absorber based on graphene disks and ribbons. Opt. Commun. 2018, 427, 418–425. [Google Scholar] [CrossRef]
- Du, X.; Yan, F.; Wang, W.; Tan, S.; Zhang, L.; Bai, Z.; Zhou, H.; Hou, Y. A polarization- and angle-insensitive broadband tunable metamaterial absorber using patterned graphene resonators in the terahertz band. Opt. Laser Technol. 2020, 132, 106513. [Google Scholar] [CrossRef]
- Huang, M.L.; Cheng, Y.Z.; Cheng, Z.Z.; Chen, H.R.; Mao, X.S.; Gong, R.Z. Based on graphene tunable dual-band terahertz metamaterial absorber with wide-angle. Opt. Commun. 2018, 415, 194–201. [Google Scholar] [CrossRef]
- Wang, B.X.; Wang, G.Z.; Wang, L.L. Design of a novel dual-band terahertz metamaterial absorber. Plasmonics 2016, 11, 523–530. [Google Scholar] [CrossRef]
- Pan, F.; Fei, L.; Guang, J.; Fei, S.; Dong, L.; Jian, Q. A broadband metamaterial absorber based on multi-layer graphene in the terahertz region. Opt. Commun. 2018, 417, 62–66. [Google Scholar]
- Qi, L.; Liu, C.; Ali, S.; Syed, M. A broad dual-band switchable graphene-based terahertz metamaterial absorber. Carbon 2019, 153, 179–188. [Google Scholar] [CrossRef]
- Xu, Z.; Wu, D.; Liu, Y.; Liu, C.; Yu, Z.; Yu, L.; Ye, H. Design of a Tunable Ultra-Broadband Terahertz Absorber Based on Multiple Layers of Graphene Ribbons. Nanoscale Res. Lett. 2018, 13, 1–8. [Google Scholar] [CrossRef]
- Zhang, Q.; Li, X.; Hossain, M.M.; Xue, Y.; Zhang, J.; Song, J.; Liu, J.; Turner, M.D.; Fan, S.; Bao, Q.; et al. Graphene surface plasmons at the near-infrared optical regime. Sci. Rep. 2015, 4, 6559. [Google Scholar] [CrossRef]
- Xu, W.; Zhu, Z.H.; Liu, K.; Zhang, J.F.; Yuan, X.D.; Lu, Q.S.; Qin, S.Q. Toward integrated electrically controllable directional coupling based on dielectric loaded graphene plasmonic waveguide. Opt. Lett. 2015, 40, 1603–1606. [Google Scholar] [CrossRef]
- Jepsen, P.U.; Fischer, B.M.; Thoman, A.; Helm, H.; Suh, J.Y.; Lopez, R.; Haglund, R.F.J. Metal-insulator phase transition in a VO2 thin film observed with terahertz spectroscopy. Phys. Rev. B 2006, 74, 205103. [Google Scholar] [CrossRef]
- Wen, Q.-Y.; Zhang, H.-W.; Yang, Q.-H.; Xie, Y.-S.; Chen, K.; Liu, Y.-L. Terahertz metamaterials with VO2 cut-wires for thermal tunability. Appl. Phys. Lett. 2010, 97, 021111. [Google Scholar] [CrossRef]
- Zang, X.; Cheng, S.; Lin, C.; Zhu, Y.; Zhuang, S. Ultra-broadband terahertz absorption by exciting the orthogonal diffraction in dumbbell-shaped gratings. Sci. Rep. 2015, 5, 8901. [Google Scholar] [CrossRef] [PubMed]
- Wang, T.; Zhang, Y.; Zhang, H.; Cao, M. Dual-controlled switchable broadband terahertz absorber based on a graphene-vanadium dioxide metamaterial. Opt. Mater. Express 2020, 10, 369–386. [Google Scholar] [CrossRef]
- Song, Z.; Wang, K.; Li, J.; Liu, Q. Broadband tunable terahertz absorber based on vanadium dioxide metamaterials. Opt. Express 2018, 26, 7148–7154. [Google Scholar] [CrossRef] [PubMed]
- Liu, H.; Wang, Z.H.; Li, L.; Fan, Y.X.; Tao, Z. Vanadium dioxide-assisted broadband tunable terahertz metamaterial absorber. Sci. Rep. 2019, 9, 5751. [Google Scholar] [CrossRef] [PubMed]
- Khavasi, A. Design of ultra-broadband graphene absorber using circuit theory. J. Opt. Soc. Am. B 2015, 32, 1941–1946. [Google Scholar] [CrossRef]
- Hanson, G.W. Dyadic Green’s functions and guided surface waves for a surface conductivity model of graphene. J. Appl. Phys. 2008, 103, 064302. [Google Scholar] [CrossRef]
- Xiao, S.; Wang, T.; Liu, T.; Yan, X.; Li, Z.; Xu, C. Active modulation of electromagnetically induced transparency analogue in terahertz hybrid metal-graphene metamaterials. Carbon 2018, 126, 271–278. [Google Scholar] [CrossRef]
- Zhang, Y.; Feng, Y.; Jiang, T.; Cao, J.; Zhao, J.; Zhu, B. Tunable broadband polarization rotator in terahertz frequency based on graphene metamaterial. Carbon 2018, 133, 170–175. [Google Scholar] [CrossRef]
- Mishra, R.; Panwar, R.; Singh, D. Equivalent Circuit Model for the Design of Frequency-Selective, Terahertz-Band, Graphene-Based Metamaterial Absorbers. IEEE Mag. Lett. 2018, 9, 1–5. [Google Scholar] [CrossRef]
- Hu, H.; Zhai, F.; Hu, D.; Li, Z.; Bai, B.; Yang, X.; Dai, Q. Broadly tunable graphene plasmons using anion-gel top gate with low control voltage. Nanoscale 2015, 7, 19493–19500. [Google Scholar] [CrossRef]
- Song, Z.; Deng, Y.; Zhou, Y.; Liu, Z. Terahertz toroidal metamaterial with tunable properties. Opt. Express 2019, 27, 5792–5797. [Google Scholar] [CrossRef]
- Zhang, C.; Zhou, G.; Wu, J.; Tang, Y.; Wen, Q.; Li, S.; Han, J.; Jin, B.; Chen, J.; Wu, P. Active Control of Terahertz Waves Using Vanadium-Dioxide-Embedded Metamaterials. Phys. Rev. Appl. 2019, 11, 054016. [Google Scholar] [CrossRef]
- Liu, M.; Xu, Q.; Chen, X.; Plum, E.; Li, H.; Zhang, X.; Zhang, C.; Zou, C.; Han, J.; Zhang, W. Temperature-Controlled Asymmetric Transmission of Electromagnetic Waves. Sci. Rep. 2019, 9, 4097. [Google Scholar] [CrossRef] [PubMed]
- Lim, W.X.; Singh, R. Universal behaviour of high-Q Fano resonances in metamaterials: Terahertz to near-infrared regime. Nano Converg. 2018, 5, 1–7. [Google Scholar] [CrossRef] [PubMed]
- Chen, C.-F.; Park, C.-H.; Boudouris, B.W.; Horng, J.; Geng, B.; Girit, C.; Zettl, A.; Crommie, M.F.; Segalman, R.; Louie, S.G.; et al. Controlling inelastic light scattering quantum pathways in graphene. Nat. Cell Biol. 2011, 471, 617–620. [Google Scholar] [CrossRef] [PubMed]
- Guo, H.; Liu, N.; Fu, L.; Meyrath, T.P.; Zentgraf, T.; Schweizer, H.; Giessen, H. Resonance hybridization in double split-ring resonator metamaterials. Opt. Express 2007, 15, 12095–12101. [Google Scholar] [CrossRef] [PubMed]
- Vakil, A.; Engheta, N. Transformation Optics Using Graphene. Science 2011, 332, 1291–1294. [Google Scholar] [CrossRef] [PubMed]
- Arsanjani, A.; Biabanifard, M.; Abrishamian, M.S. A novel analytical method for designing a multi-band, polarization-insensitive and wide angle graphene-based THz absorber. Superlattices Microstruct. 2019, 128, 157–169. [Google Scholar] [CrossRef]







| Parameter | Size | Parameters | Size | Parameter | Size |
|---|---|---|---|---|---|
| d1 | 0.18 | d5 | 0.2 | l1 | 1.05 |
| d2 | 0.26 | l1 | 5.4 | h1 | 2.15 |
| d3 | 0.5 | l2 | 5.25 | h2 | 2 |
| d4 | 0.5 | l3 | 1.8 | h3 | 2.5 |
| μc and VO2 State | Absorption Peaks and Corresponding Frequencies | |||||
|---|---|---|---|---|---|---|
| 0.8 eV Insulator | Peak I | Peak II | Peak III | |||
| 4.91 THz | 100% | 6.86 THz | 98.50% | 9.85 THz | 96.35% | |
| References | Absorption Bandwidth (THz) 1 | Material | Layers | Stable Incident Angle | Polarization Insensitivity |
|---|---|---|---|---|---|
| [19] | 2.76 (2.14–4.90) | Graphene | 1 | Up to 60° | Insensitive |
| [11] | 3.7 (1.95–5.65) | Gold | 1 | Up to 20° | Insensitive |
| [1] | 0.76 (4.80–5.56) | Graphene | 3 | Up to 60° | Insensitive |
| [18] | 2.2 (0.6–2.8) | Graphene | 3 | Up to 60° | Insensitive |
| [22] | 3.5 (6.98–9.1) | Graphene | 3 | Up to 60° | Insensitive |
| This work | 6.11 (4.5–10.61) | Graphene and VO2 (0.8 eV insulator state) | 3 | TE up to 55° TM up to 60° | Insensitive |
| 0.83 (3.78–4.61) 1.19 (6.75–7.94) | Graphene and VO2 (0.8 eV metallic state) | 3 | TE up to 60° TM up to 65° | Insensitive | |
| 0.84 (4.81–5.65) | Graphene and VO2 (0 eV metallic state) | 3 | TE up to 65° TM up to 65° | Insensitive |
Publisher’s Note: MDPI stays neutral with regard to jurisdictional claims in published maps and institutional affiliations. |
© 2021 by the authors. Licensee MDPI, Basel, Switzerland. This article is an open access article distributed under the terms and conditions of the Creative Commons Attribution (CC BY) license (https://creativecommons.org/licenses/by/4.0/).
Share and Cite
Liu, H.; Wang, P.; Wu, J.; Yan, X.; Yuan, X.; Zhang, Y.; Zhang, X. Switchable and Dual-Tunable Multilayered Terahertz Absorber Based on Patterned Graphene and Vanadium Dioxide. Micromachines 2021, 12, 619. https://doi.org/10.3390/mi12060619
Liu H, Wang P, Wu J, Yan X, Yuan X, Zhang Y, Zhang X. Switchable and Dual-Tunable Multilayered Terahertz Absorber Based on Patterned Graphene and Vanadium Dioxide. Micromachines. 2021; 12(6):619. https://doi.org/10.3390/mi12060619
Chicago/Turabian StyleLiu, Hongyao, Panpan Wang, Jiali Wu, Xin Yan, Xueguang Yuan, Yangan Zhang, and Xia Zhang. 2021. "Switchable and Dual-Tunable Multilayered Terahertz Absorber Based on Patterned Graphene and Vanadium Dioxide" Micromachines 12, no. 6: 619. https://doi.org/10.3390/mi12060619
APA StyleLiu, H., Wang, P., Wu, J., Yan, X., Yuan, X., Zhang, Y., & Zhang, X. (2021). Switchable and Dual-Tunable Multilayered Terahertz Absorber Based on Patterned Graphene and Vanadium Dioxide. Micromachines, 12(6), 619. https://doi.org/10.3390/mi12060619

