Spin Laser Local Oscillators for Homodyne Detection in Coherent Optical Communications
Abstract
1. Introduction
2. Methods
2.1. Proposed Concept
2.2. Simulation Model
3. Results
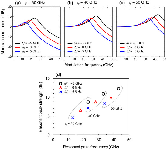
3.1. Modulation Response of Injection-Locked Spin-VCSEL
3.2. Proof of Concept
4. Discussion and Prospects
5. Conclusions
Author Contributions
Funding
Informed Consent Statement
Data Availability Statement
Conflicts of Interest
References
- Ip, E.; Lau, A.P.T.; Barros, D.J.F.; Kahn, J.M. Coherent detection in optical fiber systems. Opt. Express 2008, 16, 753–791. [Google Scholar] [CrossRef] [PubMed]
- Kikuchi, K. Fundamentals of Coherent Optical Fiber Communications. J. Light. Technol. 2016, 34, 157–179. [Google Scholar] [CrossRef]
- Kikuchi, K. Phase-diversity homodyne detection of multilevel optical modulation with digital carrier phase estimation. IEEE J. Sel. Top. Quantum Electron. 2006, 12, 563–570. [Google Scholar] [CrossRef]
- Pfau, T.; Hoffmann, S.; Noe, R. Hardware-Efficient Coherent Digital Receiver Concept with Feedforward Carrier Recovery for M-QAM Constellations. J. Light. Technol. 2009, 27, 989–999. [Google Scholar] [CrossRef]
- Fatadin, I.; Ives, D.; Savory, S.J. Laser Linewidth Tolerance for 16-QAM Coherent Optical Systems Using QPSK Partitioning. IEEE Photon. Technol. Lett. 2010, 22, 631–633. [Google Scholar] [CrossRef]
- Kasai, K.; Hongo, J.; Yoshida, M.; Nakazawa, M. Optical phase-locked loop for coherent transmission over 500km using heterodyne detection with fiber lasers. IEICE Electron. Express 2007, 4, 77–81. [Google Scholar] [CrossRef]
- Balakier, K.; Ponnampalam, L.; Fice, M.J.; Renaud, C.C.; Seeds, A.J. Integrated Semiconductor Laser Optical Phase Lock Loops. IEEE J. Sel. Top. Quantum Electron. 2018, 24, 1500112. [Google Scholar] [CrossRef]
- Fice, M.J.; Chiuchiarelli, A.; Ciaramella, E.; Seeds, A.J. Homodyne Coherent Optical Receiver Using an Optical Injection Phase-Lock Loop. J. Light. Technol. 2011, 29, 1152–1164. [Google Scholar] [CrossRef]
- Liu, Z.; Kim, J.; Wu, D.S.; Richardson, D.J.; Slavík, R. Homodyne OFDM with Optical Injection Locking for Carrier Recovery. J. Light. Technol. 2015, 33, 34–41. [Google Scholar] [CrossRef]
- Kasai, K.; Wang, Y.; Beppu, S.; Yoshida, M.; Nakazawa, M. 80 Gbit/s, 256 QAM coherent transmission over 150 km with an injection-locked homodyne receiver. Opt. Express 2015, 23, 29174–29183. [Google Scholar] [CrossRef]
- Kasai, K.; Hirooka, T.; Yoshida, M.; Nakazawa, M. 64 Gbit/s, 256 QAM Coherently-Linked Optical and Wireless Transmission in 61 GHz Band Using Novel Injection-Locked Carrier Frequency Converter. In Proceedings of the 2020 European Conference on Optical Communications (ECOC), Brussels, Belgium, 6–10 December 2020; pp. 1–3. [Google Scholar]
- Radziunas, M.; Glitzky, A.; Bandelow, U.; Wolfrum, M.; Troppenz, U.; Kreissl, J.; Rehbein, W. Improving the Modulation Bandwidth in Semiconductor Lasers by Passive Feedback. IEEE J. Sel. Top. Quantum Electron. 2007, 13, 136–142. [Google Scholar] [CrossRef]
- Bardella, P.; Montrosset, I. A New Design Procedure for DBR Lasers Exploiting the Photon-Photon Resonance to Achieve Extended Modulation Bandwidth. IEEE J. Sel. Top. Quantum Electron. 2013, 19, 1502408. [Google Scholar] [CrossRef]
- Mieda, S.; Yokota, N.; Kobayashi, W.; Yasaka, H. Ultra-Wide-Bandwidth Optically Controlled DFB Laser With External Cavity. IEEE J. Quantum Electron. 2016, 52, 2200107. [Google Scholar] [CrossRef]
- Hong, B.; Kitano, T.; Mori, T.; Jiang, H.; Hamamoto, K. Bandwidth enhancement scheme demonstration on direct modulation active-MMI laser diode using multiple photon photon resonance. Appl. Phys. Lett. 2017, 111, 221105. [Google Scholar] [CrossRef]
- Hallstein, S.; Berger, J.D.; Hilpert, M.; Schneider, H.C.; Rühle, W.W.; Jahnke, F.; Koch, S.W.; Gibbs, H.M.; Khitrova, G.; Oestreich, M. Manifestation of coherent spin precession in stimulated semiconductor emission dynamics. Phys. Rev. B 1997, 56, R7076–R7079. [Google Scholar] [CrossRef]
- Ando, H.; Sogawa, T.; Gotoh, T. Photon-spin controlled lasing oscillation in surface-emitting lasers. Appl. Phys. Lett. 1998, 73, 566–568. [Google Scholar] [CrossRef]
- Holub, M.; Shin, J.; Saha, D.; Bhattacharya, P. Electrical Spin Injection and Threshold Reduction in a Semiconductor Laser. Phys. Rev. Lett. 2007, 98, 146603. [Google Scholar] [CrossRef]
- Holub, M.; Bhattacharya, P. Spin-polarized light-emitting diodes and lasers. J. Phys. D Appl. Phys. 2007, 40, R179–R203. [Google Scholar] [CrossRef]
- Basu, D.; Saha, D.; Wu, C.C.; Holub, M.; Mi, Z.; Bhattacharya, P. Electrically injected InAs/GaAs quantum dot spin laser operating at 200K. Appl. Phys. Lett. 2008, 92, 091119. [Google Scholar] [CrossRef]
- Iba, S.; Koh, S.; Ikeda, K.; Kawaguchi, H. Room temperature circularly polarized lasing in an optically spin injected vertical-cavity surface-emitting laser with (110) GaAs quantum wells. Appl. Phys. Lett. 2011, 98, 081113. [Google Scholar] [CrossRef]
- Žutić, I.; Xu, G.; Lindemann, M.; Faria Junior, P.E.; Lee, J.; Labinac, V.; Stojšić, K.; Sipahi, G.M.; Hofmann, M.R.; Gerhardt, N.C. Spin-lasers: Spintronics beyond magnetoresistance. Solid State Commun. 2020, 316–317, 113949. [Google Scholar] [CrossRef]
- Xu, G.; Cao, J.D.; Labinac, V.; Žutić, I. Intensity equations for birefringent spin lasers. Phys. Rev. B 2021, 103, 045306. [Google Scholar] [CrossRef]
- Sinova, J.; Žutić, I. New moves of the spintronics tango. Nat. Mater. 2012, 11, 368–371. [Google Scholar] [CrossRef]
- Nishizawa, N.; Aoyama, M.; Roca, R.C.; Nishibayashi, K.; Munekata, H. Arbitrary helicity control of circularly polarized light from lateral-type spin-polarized light-emitting diodes at room temperature. Appl. Phys. Express 2018, 11, 053003. [Google Scholar] [CrossRef]
- Gerhardt, N.C.; Li, M.Y.; Jähme, H.; Höpfner, H.; Ackemann, T.; Hofmann, M.R. Ultrafast spin-induced polarization oscillations with tunable lifetime in vertical-cavity surface-emitting lasers. Appl. Phys. Lett. 2011, 99, 151107. [Google Scholar] [CrossRef]
- Torre, M.S.; Susanto, H.; Nianqiang, L.; Schires, K.; Salvide, M.F.; Henning, I.D.; Adams, M.J.; Hurtado, A. High frequency continuous birefringence-induced oscillations in spin-polarized vertical-cavity surface-emitting lasers. Opt. Lett. 2017, 42, 1628–1631. [Google Scholar] [CrossRef] [PubMed]
- Lindemann, M.; Xu, G.; Pusch, T.; Michalzik, R.; Hofmann, M.R.; Žutić, I.; Gerhardt, N.C. Ultrafast spin-lasers. Nature 2019, 568, 212–215. [Google Scholar] [CrossRef] [PubMed]
- Yokota, N.; Nisaka, K.; Yasaka, H.; Ikeda, K. Spin polarization modulation for high-speed vertical-cavity surface-emitting lasers. Appl. Phys. Lett. 2018, 113, 171102. [Google Scholar] [CrossRef]
- Zhou, Y.; Huang, M.C.; Chase, C.; Karagodsky, V.; Moewe, M.; Pesala, B.; Sedgwick, F.G.; Chang-Hasnain, C.J. High-Index-Contrast Grating (HCG) and Its Applications in Optoelectronic Devices. IEEE J. Sel. Top. Quantum Electron. 2009, 15, 1485–1499. [Google Scholar] [CrossRef]
- Katayama, T.; Ito, J.; Kawaguchi, H. Polarization-dependent coupling between a polarization-independent high-index-contrast subwavelength grating and waveguides. Appl. Phys. Express 2016, 9, 072703. [Google Scholar] [CrossRef]
- Miguel, M.S.; Feng, Q.; Moloney, J.V. Light-polarization dynamics in surface-emitting semiconductor lasers. Phys. Rev. A 1995, 52, 1728–1739. [Google Scholar] [CrossRef] [PubMed]
- Li, N.; Susanto, H.; Cemlyn, B.; Henning, I.D.; Adams, M.J. Secure communication systems based on chaos in optically pumped spin-VCSELs. Opt. Lett. 2017, 42, 3494–3497. [Google Scholar] [CrossRef]
- Cemlyn, B.R.; Henning, I.D.; Adams, M.J.; Harbord, E.; Oulton, R.; Korpijärvi, V.-M.; Guina, M. Polarization Responses of a Solitary and Optically Injected Vertical Cavity Spin Laser. IEEE J. Quantum Electron. 2019, 55, 2400409. [Google Scholar] [CrossRef]
- Krishna, K.M.; Madhan, M.G.; Ashok, P. Simulation studies on polarization modulated vertical cavity surface emitting laser for combined fiber and free space optical links. Optik 2020, 219, 165018. [Google Scholar] [CrossRef]
- Song, T.; Xie, Y.; Ye, Y.; Liu, B.; Chai, J.; Jiang, X.; Zheng, Y. Numerical Analysis of Nonlinear Dynamics Based on Spin-VCSELs with Optical Feedback. Photonics 2021, 8, 10. [Google Scholar] [CrossRef]
- Yokota, N.; Ikeda, K.; Yasaka, H. Spin-Injected Birefringent VCSELs for Analog Radio-Over-Fiber Systems. IEEE Photon. Technol. Lett. 2021, 33, 297–300. [Google Scholar] [CrossRef]
- Zhong, D.; Zeng, N.; Yang, H.; Xu, Z.; Hu, Y.; Zhao, K. Precise ranging for the multi-region by using multi-beam chaotic polarization components in the multiple parallel optically pumped spin-VCSELs with optical injection. Opt. Express 2021, 29, 7809–7824. [Google Scholar] [CrossRef] [PubMed]
- Park, M.-R.; Kwon, O.-K.; Han, W.-S.; Lee, K.-H.; Park, S.-J.; Yoo, B.-S. All-epitaxial InAlGaAs-InP VCSELs in the 1.3-1.6-μm wavelength range for CWDM band applications. IEEE Photon. Technol. Lett. 2006, 18, 1717–1719. [Google Scholar] [CrossRef]
- Pérez, P.; Valle, A.; Noriega, I.; Pesquera, L. Measurement of the Intrinsic Parameters of Single-Mode VCSELs. J. Light. Technol. 2014, 32, 1601–1607. [Google Scholar] [CrossRef]
- Yokota, N.; Ikeda, K.; Yasaka, H. Numerical investigation of direct IQ modulation of spin-VCSELs for coherent communications. Proc. SPIE 2020, 11470, 114702I. [Google Scholar]
- Yokota, N.; Yasaka, H. Cascaded SSB comb generation using injection-locked seed lasers. Opt. Lett. 2021, 46, 769–772. [Google Scholar] [CrossRef] [PubMed]
- Liu, Z.; Slavík, R. Optical Injection Locking: From Principle to Applications. J. Light. Technol. 2020, 38, 43–59. [Google Scholar] [CrossRef]
- Boéris, G.; Lee, J.; Výborný, K.; Žutić, I. Tailoring chirp in spin-lasers. Appl. Phys. Lett. 2012, 100, 121111. [Google Scholar] [CrossRef]
- Chung, I.S.; Mørk, J. Silicon-photonics light source realized by III–V/Si-grating-mirror laser. Appl. Phys. Lett. 2010, 97, 151113. [Google Scholar] [CrossRef]
- Tsunemi, Y.; Yokota, N.; Majima, S.; Ikeda, K.; Katayama, T.; Kawaguchi, H. 1.55-μm VCSEL with polarization-independent HCG mirror on SOI. Opt. Express 2013, 21, 28685–28692. [Google Scholar] [CrossRef]
- Ferrara, J.; Yang, W.; Zhu, L.; Qiao, P.; Chang-Hasnain, C.J. Heterogeneously integrated long-wavelength VCSEL using silicon high contrast grating on an SOI substrate. Opt. Express 2015, 23, 2512–2523. [Google Scholar] [CrossRef]
- Oestreich, M.; Hübner, J.; Hägele, D.; Klar, P.J.; Heimbrodt, W.; Rühle, W.W.; Ashenford, D.E.; Lunn, B. Spin injection into semiconductors. Appl. Phys. Lett. 1999, 74, 1251. [Google Scholar] [CrossRef]
- Young, D.K.; Johnston-Halperin, E.; Awschalom, D.D.; Ohno, Y.; Ohno, H. Anisotropic electrical spin injection in ferromagnetic semiconductor heterostructures. Appl. Phys. Lett. 2002, 80, 1598. [Google Scholar] [CrossRef]
- Hanbicki, A.T.; Jonker, B.T.; Itskos, G.; Kioseoglou, G.; Petrou, A. Efficient electrical spin injection from a metal/tunnel barrier contact into a semiconductor. Appl. Phys. Lett. 2002, 80, 1240. [Google Scholar] [CrossRef]
- Yokota, N.; Aoshima, Y.; Ikeda, K.; Nishizawa, N.; Munekata, H.; Kawaguchi, H. Room temperature spin injection into (110) GaAs quantum wells using Fe/x-AlOx contacts in the regime of current density comparable to laser oscillation. J. Appl. Phys. 2015, 118, 163905. [Google Scholar] [CrossRef]
- Nishizawa, N.; Nishibayashi, K.; Munekata, H. Pure circular polarization electroluminescence at room temperature with spin-polarized light-emitting diodes. Proc. Natl Acad. Sci. USA 2017, 114, 1783–1788. [Google Scholar] [CrossRef]
- Yokota, N.; Aoshima, Y.; Ikeda, K.; Kawaguchi, H. Room temperature spin transport in undoped (110) GaAs/AlGaAs quantum wells. Appl. Phys. Lett. 2014, 104, 072406. [Google Scholar] [CrossRef]
- Ohno, Y.; Iba, S.; Okamoto, R.; Obata, Y.; Obu, K.; Domingez, J.J.P.; Saito, H. Room-temperature spin relaxation in a (110)-oriented GaAs/AlGaAs superlattice with tunnel-coupled quantum wells. Appl. Phys. Express 2020, 13, 123003. [Google Scholar] [CrossRef]
- Gerhardt, N.C.; Hövel, S.; Brenner, C.; Hofmann, M.R.; Lo, F.-Y.; Reuter, D.; Wieck, A.D.; Schuster, E.; Keune, W.; Halm, S.; et al. Spin injection light-emitting diode with vertically magnetized ferromagnetic metal contacts. J. Appl. Phys. 2006, 99, 073907. [Google Scholar] [CrossRef]
- Sinsarp, A.; Manago, T.; Takano, F.; Akinaga, H. Electrical Spin Injection from Out-of-Plane Magnetized FePt/MgO Tunneling Junction into GaAs at Room Temperature. Jpn. J. Appl. Phys. 2007, 46, L4–L6. [Google Scholar] [CrossRef]
- Kunihashi, Y.; Sanada, H.; Gotoh, H.; Onomitsu, K.; Kohda, M.; Nitta, J.; Sogawa, T. Drift transport of helical spin coherence with tailored spin–orbit interactions. Nat. Commun. 2016, 7, 10722. [Google Scholar] [CrossRef]
- Lindemann, M.; Pusch, T.; Michalzik, R.; Gerhardt, N.C.; Hofmann, M.R. Frequency tuning of polarization oscillations: Toward high-speed spin-lasers. Appl. Phys. Lett. 2016, 108, 042404. [Google Scholar] [CrossRef]
- Yokota, N.; Takeuchi, R.; Yasaka, H.; Ikeda, K. Lasing Polarization Characteristics in 1.55-μm Spin-Injected VCSELs. IEEE Photon. Technol. Lett. 2017, 29, 711–714. [Google Scholar] [CrossRef]
- Pusch, T.; Debernardi, P.; Lindemann, M.; Erb, F.; Gerhardt, N.C.; Hofmann, M.R.; Michalzik, R. Vertical-cavity surface-emitting laser with integrated surface grating for high birefringence splitting. Electron. Lett. 2019, 55, 1055–1057. [Google Scholar] [CrossRef]
- Alouini, M.; Frougier, J.; Joly, A.; Baili, G.; Dolfi, D.; George, J.-M. VSPIN: A new model relying on the vectorial description of the laser field for predicting the polarization dynamics of spin-injected V(e)CSELs. Opt. Express 2018, 26, 6739–6757. [Google Scholar] [CrossRef]
- Drong, M.; Fördös, T.; Jaffrès, H.Y.; Peřina, J., Jr.; Postava, K.; Ciompa, P.; Pištora, J.; Drouhin, H.-J. Spin-VCSELs with Local Optical Anisotropies: Toward Terahertz Polarization Modulation. Phys. Rev. Appl. 2021, 15, 014041. [Google Scholar] [CrossRef]
- Pusch, T.; La Tona, E.; Lindemann, M.; Gerhardt, N.C.; Hofmann, M.R.; Michalzik, R. Monolithic vertical-cavity surface-emitting laser with thermally tunable birefringence. Appl. Phys. Lett. 2017, 110, 151106. [Google Scholar] [CrossRef]
- Lindemann, M.; Jung, N.; Stadler, P.; Pusch, T.; Michalzik, R.; Hofmann, M.R.; Gerhardt, N.C. Bias current and temperature dependence of polarization dynamics in spin-lasers with electrically tunable birefringence. AIP Adv. 2020, 10, 035211. [Google Scholar] [CrossRef]
- Wasner, E.; Bearden, S.; Lee, J.; Žutić, I. Digital operation and eye diagrams in spin-lasers. Appl. Phys. Lett. 2015, 107, 082406. [Google Scholar] [CrossRef]
- Žutić, I.; Fabian, J.; Erwin, S.C. Spin Injection and Detection in Silicon. Phys. Rev. Lett. 2006, 97, 026602. [Google Scholar] [CrossRef] [PubMed]






| Symbol | Meaning | Value |
|---|---|---|
| I0 | Static current | 2 Ith |
| Im | Current modulation coefficient | 0.1 × Ith or 1 × Ith |
| fm | Modulation frequency | Variable |
| V | Cavity volume | 2.5 × 10−18 m3 |
| vg | Group velocity | 9.3 × 107 m/s |
| Ag | Differential gain coefficient | 1.2 × 10−20 m2 |
| Nt | Transparency carrier density | 3.8 × 1024 m−3 |
| ε | Gain compression factor | 1.0 × 10−24 m3 |
| τc | Carrier lifetime | 1.2 ns |
| τs | Electron spin relaxation time | 20 ps |
| τp | Photon lifetime | 19 ps |
| α | Linewidth enhancement factor | 2.8 |
| Γ | Confinement factor | 0.05 |
| γa | Dichroism | 0.5 GHz |
| γp | Linear birefringence | Variable |
| fd | Detuning frequency | Variable |
| κ | Coupling rate | 1.2 × 1011 s−1 |
Publisher’s Note: MDPI stays neutral with regard to jurisdictional claims in published maps and institutional affiliations. |
© 2021 by the authors. Licensee MDPI, Basel, Switzerland. This article is an open access article distributed under the terms and conditions of the Creative Commons Attribution (CC BY) license (https://creativecommons.org/licenses/by/4.0/).
Share and Cite
Yokota, N.; Yasaka, H. Spin Laser Local Oscillators for Homodyne Detection in Coherent Optical Communications. Micromachines 2021, 12, 573. https://doi.org/10.3390/mi12050573
Yokota N, Yasaka H. Spin Laser Local Oscillators for Homodyne Detection in Coherent Optical Communications. Micromachines. 2021; 12(5):573. https://doi.org/10.3390/mi12050573
Chicago/Turabian StyleYokota, Nobuhide, and Hiroshi Yasaka. 2021. "Spin Laser Local Oscillators for Homodyne Detection in Coherent Optical Communications" Micromachines 12, no. 5: 573. https://doi.org/10.3390/mi12050573
APA StyleYokota, N., & Yasaka, H. (2021). Spin Laser Local Oscillators for Homodyne Detection in Coherent Optical Communications. Micromachines, 12(5), 573. https://doi.org/10.3390/mi12050573
