Characterization of Surface Topography Variation in the Ultra-Precision Tool Servo-Based Diamond Cutting of 3D Microstructured Surfaces
Abstract
:1. Introduction
2. Characterization Method for Surface Topography Variation
2.1. Theoretical Background of the Data-Dependent Systems Analysis Method
2.2. Dynamic Modeling of Relative Tool-Work Vibration
3. Experimental Setup
4. Results and Discussion
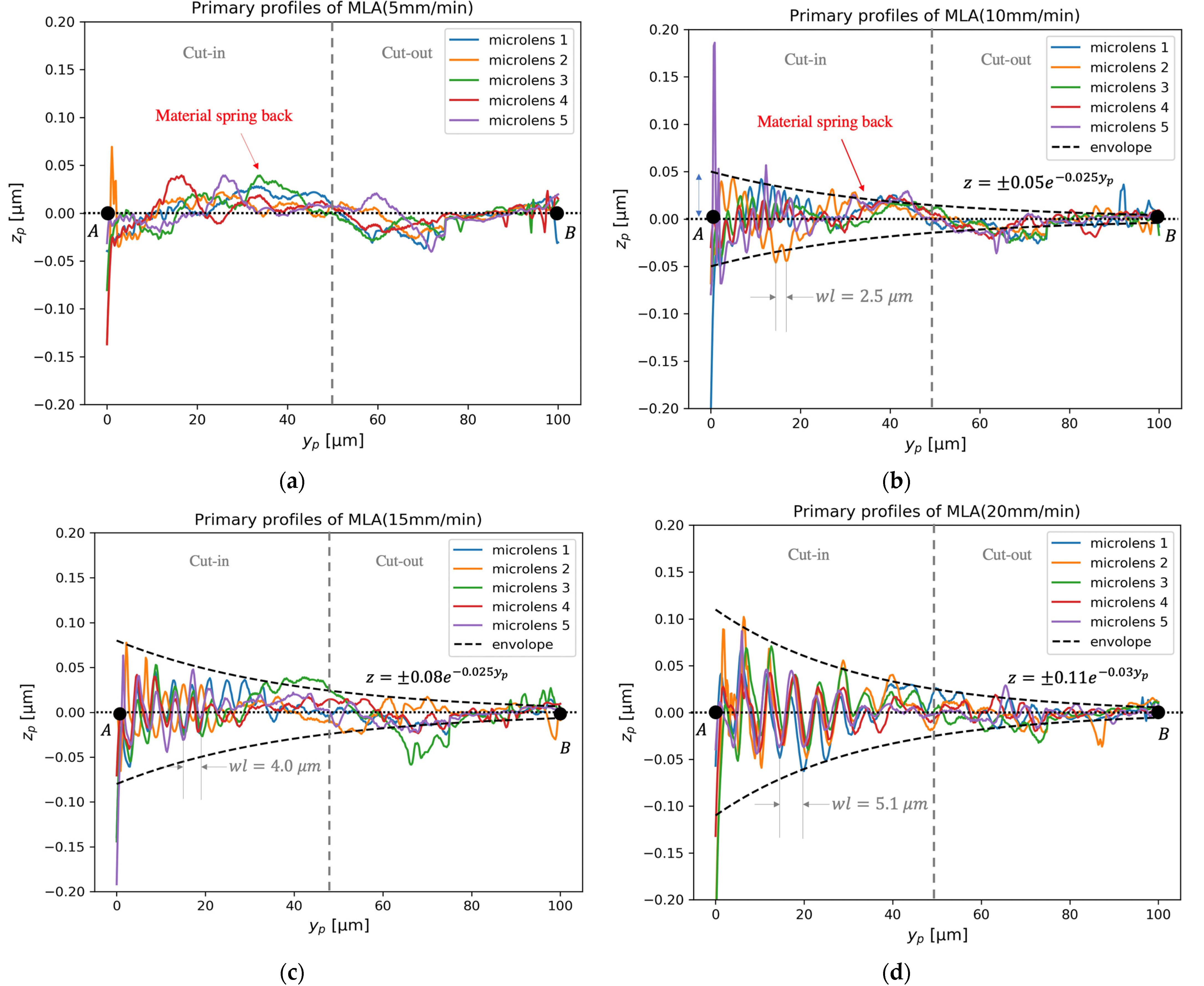
4.1. Surface Profile Analysis
4.2. Estimation of the Thrust Force
4.3. Verification of the Proposed Dynamic Cutting Model
5. Conclusions
- (1)
- In UTSDC, the relative tool-work vibration exhibited apparent damping behavior. The vibration cannot be simplified as a steady harmonic vibration with a constant amplitude and frequency.
- (2)
- The characteristic frequency and the damping ratio of the surface topography variation were obtained based on the data-dependent systems approach. The percentage contribution of characteristic frequency to total power of the surface topography variation increased from 12.63% to 97.98% when the cutting speed increased from 5 to 20 mm/min.
- (3)
- Based on the analysis of the machined surface profile and thrust force, it was found that the surface topography variation in UTSDC was mainly affected by the tool-work vibration when the cutting speed was over 10 mm/min, and the variation increased with an increase of cutting speed.
- (4)
- A dynamic model has been purposely developed which takes into account the tool path, cutting speed and the dynamics of the machining system. The model can well-predict the values of the surface primary profile and the dynamic force acting on the force sensor.
Author Contributions
Funding
Conflicts of Interest
Nomenclature
| Surface primary profile | |
| Measured profile | |
| Nominal profile/Tool path | |
| () | Cutting location points |
| Time | |
| Autoregressive (AR) parameter | |
| Moving average (MA) parameter | |
| Sampling interval | |
| , | A pair of complex roots |
| Natural frequency | |
| Damping ratio | |
| The percentage contribution of the total power | |
| The constant depth | |
| The displacement of the moving part of the slide along the z-axis | |
| The displacement of the diamond tool along the z-axis | |
| The displacement of the workpiece of the slide along the y-axis | |
| The measured force along the z-axis | |
| The thrust force |
References
- Zhang, S.J.; To, S.; Wang, S.J.; Zhu, Z.W. A review of surface roughness generation in ultra-precision machining. Int. J. Mach. Tools Manuf. 2015, 91, 76–95. [Google Scholar] [CrossRef]
- Venkatachalam, S.; Fergani, O.; Li, X.; Yang, J.G.; Chiang, K.N.; Liang, S.Y. Microstructure effects on cutting forces and flow stress in ultra-precision machining of polycrystalline brittle materials. J. Manuf. Sci. Eng. Trans. ASME 2015, 137, 21020. [Google Scholar] [CrossRef]
- Yan, J.; Oowada, T.; Zhou, T.; Kuriyagawa, T. Precision machining of microstructures on electroless-plated NiP surface for molding glass components. J. Mater. Process. Technol. 2009, 209, 4802–4808. [Google Scholar] [CrossRef]
- Guo, J.; Zhang, J.; Wang, H.; Liu, K.; Kumar, A.S. Surface quality characterisation of diamond cut V-groove structures made of rapidly solidified aluminium RSA-905. Precis. Eng. 2018, 53, 120–133. [Google Scholar] [CrossRef]
- Rahman, M.A.; Amrun, M.R.; Rahman, M.; Kumar, A.S. Variation of surface generation mechanisms in ultra-precision machining due to relative tool sharpness (RTS) and material properties. Int. J. Mach. Tools Manuf. 2017, 115, 15–28. [Google Scholar] [CrossRef]
- Arefin, S.; Zhang, X.Q.; Neo, D.W.K.; Kumar, A.S. Effects of cutting edge radius in vibration assisted micro machining. Int. J. Mech. Sci. 2021, 208, 106673. [Google Scholar] [CrossRef]
- Kim, K. Prediction and Characterization of Machined Surface Topography in the Frequency Domain. Ph.D. Thesis, Northwestern University (Evanston, Ill.), Evanston, IL, USA, June 2000. [Google Scholar]
- Wang, H.X.; Zong, W.J.; Sun, T.; Liu, Q. Modification of three dimensional topography of the machined KDP crystal surface using wavelet analysis method. Appl. Surf. Sci. 2010, 256, 5061–5068. [Google Scholar] [CrossRef]
- Pandit, S.M.; Revach, S. A Data Dependent Systems Approach to Dynamics of Surface Generation in Turning. J. Eng. Ind. 1981, 103, 437–445. [Google Scholar] [CrossRef]
- Takasu, S.; Masuda, M.; Nishiguchi, T.; Kobayashi, A. Influence of Study Vibration with Small Amplitude Upon Surface Roughness in Diamond Machining, CIRP Ann. Manuf. Technol. 1985, 34, 463–467. [Google Scholar] [CrossRef]
- Cheung, C.F.; Lee, W.B. A theoretical and experimental investigation of surface roughness formation in ultra-precision diamond turning. Int. J. Mach. Tools Manuf. 2000, 40, 979–1002. [Google Scholar] [CrossRef]
- Cheung, C.F.; Lee, W.B. Multi-spectrum analysis of surface roughness formation in ultra-precision machining. Precis. Eng. 2000, 24, 77–87. [Google Scholar] [CrossRef]
- Chen, J.; Zhao, Q. A model for predicting surface roughness in single-point diamond turning. Measurement 2015, 69, 20–30. [Google Scholar] [CrossRef]
- Wang, H.; To, S.; Chan, C.Y. Investigation on the influence of tool-tip vibration on surface roughness and its representative measurement in ultra-precision diamond turning. Int. J. Mach. Tools Manuf. 2013, 69, 20–29. [Google Scholar] [CrossRef]
- Brinksmeier, E.; Gläbe, R.; Schönemann, L. Diamond Micro Chiseling of large-scale retroreflective arrays. Precis. Eng. 2012, 36, 650–657. [Google Scholar] [CrossRef]
- Pandit, S.M.; Shaw, M.C. Characteristic Shapes and Wavelength Decomposition of Surfaces in Machining. CIRP Ann. Manuf. Technol. 1981, 30, 487–492. [Google Scholar] [CrossRef]
- Pandit, S.M.; Systems, D.D. Stochastic Linearization by Data Dependent Systems. J. Dyn. Sys. Meas. Control 1977, 99, 221–226. [Google Scholar] [CrossRef]
- Pandit, S.M.; Mehta, N.P. Data dependent systems approach to modal analysis Part 1: Theory. J. Sound Vib. 1988, 122, 413–422. [Google Scholar] [CrossRef]
- Zhao, Z.; To, S.; Zhu, Z.; Yin, T. A theoretical and experimental investigation of cutting forces and spring back behaviour of Ti6Al4V alloy in ultraprecision machining of microgrooves. Int. J. Mech. Sci. 2020, 169, 105315. [Google Scholar] [CrossRef]
- Cheung, C.F.; Chan, K.C.; Lee, W.B. Surface characterization in ultra-precision machining of Al/SiC metal matrix composites using data dependent systems analysis. J. Mater. Process. Technol. 2003, 140, 141–146. [Google Scholar] [CrossRef]
- Möhring, H.C.; Wiederkehr, P.; Erkorkmaz, K.; Kakinuma, Y. Self-optimizing machining systems. CIRP Ann. 2020, 69, 740–763. [Google Scholar] [CrossRef]








| Parameter | Value |
|---|---|
| Pitch () | 100 |
| Sag () | 3.93 |
| Lens radius () | 320 |
| Workpiece material | Aluminum 6061-T6 |
| Cutting velocity (mm/min) | 5, 10, 15, 20 |
| Tool nose radius () | 320 |
| Nominal rake angle () | 0 |
| Nominal clearance angle () | 10 |
| Constant depth of cut () | 5 |
| Coolant | No |
| Cutting Velocity (mm/min) | Characteristic Roots | Characteristic Frequency (Hz) | Damping Ratio | Percentage Contribution to Total Power |
|---|---|---|---|---|
| 5 | 59.84 | 0.049 | 12.63% | |
| 10 | 61.39 | 0.039 | 25.97% | |
| 15 | 63.88 | 0.037 | 79.63% | |
| 20 | 60.03 | 0.045 | 97.98% |
Publisher’s Note: MDPI stays neutral with regard to jurisdictional claims in published maps and institutional affiliations. |
© 2021 by the authors. Licensee MDPI, Basel, Switzerland. This article is an open access article distributed under the terms and conditions of the Creative Commons Attribution (CC BY) license (https://creativecommons.org/licenses/by/4.0/).
Share and Cite
Yuan, W.; Cheung, C.-F. Characterization of Surface Topography Variation in the Ultra-Precision Tool Servo-Based Diamond Cutting of 3D Microstructured Surfaces. Micromachines 2021, 12, 1448. https://doi.org/10.3390/mi12121448
Yuan W, Cheung C-F. Characterization of Surface Topography Variation in the Ultra-Precision Tool Servo-Based Diamond Cutting of 3D Microstructured Surfaces. Micromachines. 2021; 12(12):1448. https://doi.org/10.3390/mi12121448
Chicago/Turabian StyleYuan, Wei, and Chi-Fai Cheung. 2021. "Characterization of Surface Topography Variation in the Ultra-Precision Tool Servo-Based Diamond Cutting of 3D Microstructured Surfaces" Micromachines 12, no. 12: 1448. https://doi.org/10.3390/mi12121448
APA StyleYuan, W., & Cheung, C.-F. (2021). Characterization of Surface Topography Variation in the Ultra-Precision Tool Servo-Based Diamond Cutting of 3D Microstructured Surfaces. Micromachines, 12(12), 1448. https://doi.org/10.3390/mi12121448

