Yellow Emissive Tris(8-hydroxyquinoline) Aluminum by the Incorporation of ZnO Quantum Dots for OLED Applications
Abstract
:1. Introduction
2. Materials and Methods
2.1. Materials
2.2. Methods
2.2.1. Synthesis of ZnO QDs
2.2.2. Synthesize of Alq3
2.2.3. Synthesis of Alq3-ZnO Nanohybrids
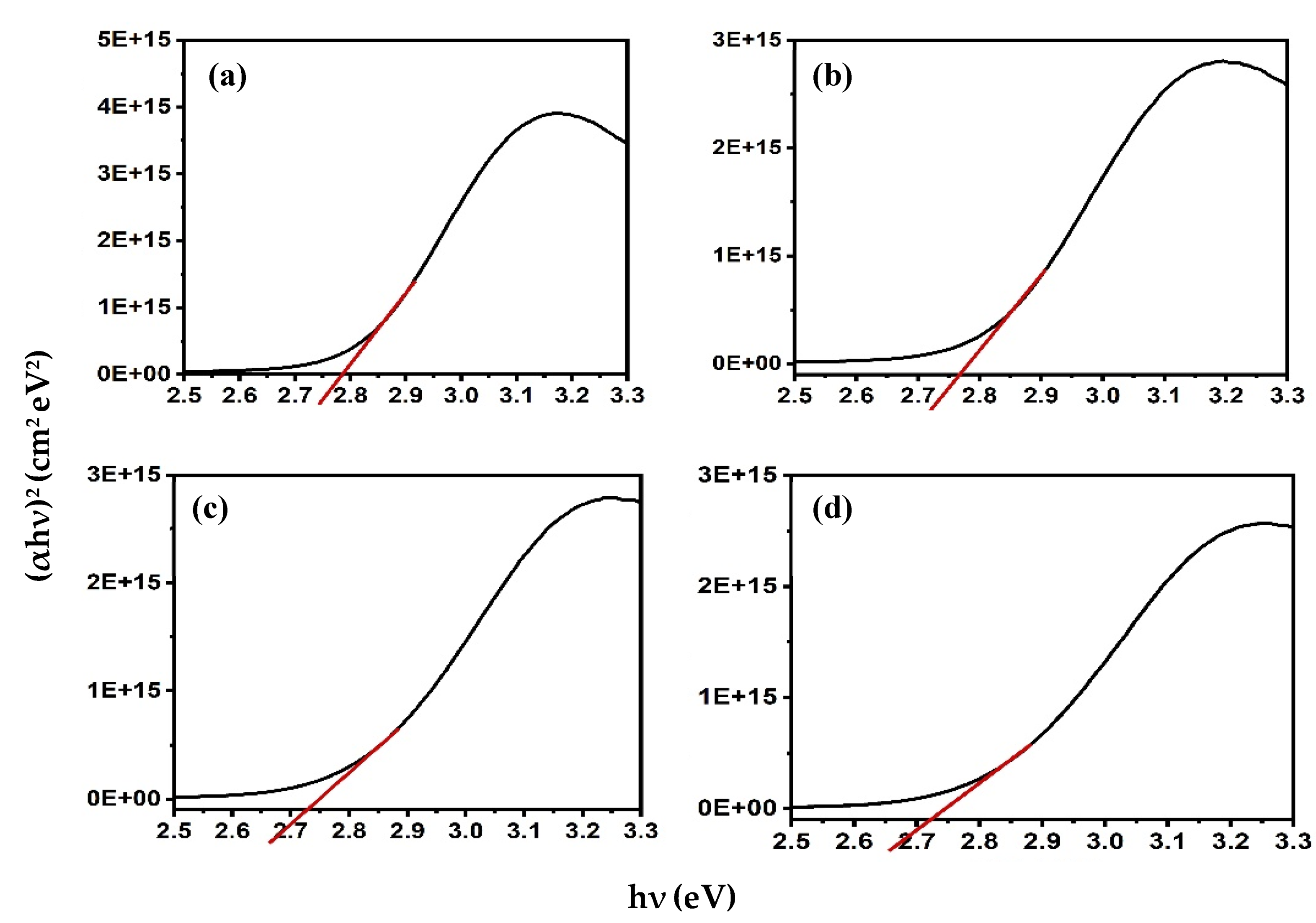
3. Results and Discussion
4. Conclusions
Author Contributions
Funding
Institutional Review Board Statement
Informed Consent Statement
Data Availability Statement
Conflicts of Interest
References
- Jeong, E.G.; Kwon, J.H.; Kang, K.S.; Jeong, S.Y.; Choi, K.C. A review of highly reliable flexible encapsulation technologies towards rollable and foldable OLEDs. J. Inf. Disp. 2020, 21, 19–32. [Google Scholar] [CrossRef]
- Park, J.; Heo, S.; Park, K.; Song, M.H.; Kim, J.Y.; Kyung, G.; Ruoff, R.S.; Park, J.-U.; Bien, F. Research on flexible display at Ulsan National Institute of Science and Technology. NPJ Flex. Electron. 2017, 1, 9. [Google Scholar] [CrossRef] [Green Version]
- Khan, M.B.; Khan, Z.H. Ag-incorporated Alq3 nanowires: Promising material for organic luminescent devices. J. Lumin. 2017, 188, 418–422. [Google Scholar] [CrossRef]
- Zou, S.J.; Shen, Y.; Xie, F.M.; Chen, J.D.; Li, Y.Q.; Tang, J.X. Recent advances in organic light-emitting diodes: Toward smart lighting and displays. Mater. Chem. Front. 2020, 4, 788–820. [Google Scholar] [CrossRef]
- Will, P.-A.; Reineke, S. 21—Organic light-emitting diodes. In Handbook of Organic Materials for Electronic and Photonic Devices, 2nd ed.; Ostroverkhova, O., Ed.; Woodhead Publishing: Sawston, UK, 2019; pp. 695–726. [Google Scholar]
- El-Nahass, M.M.; Farid, A.M.; Atta, A.A. Structural and optical properties of Tris(8-hydroxyquinoline) aluminum (III) (Alq3) thermal evaporated thin films. J. Alloys Compd. 2010, 507, 112–119. [Google Scholar] [CrossRef]
- Zawadzka, A.; Płóciennik, P.; Strzelecki, J.; Łukasiak, Z.; Sahraoui, B. Photophysical properties of Alq3 thin films. Opt. Mater. 2013, 36, 91–97. [Google Scholar] [CrossRef] [Green Version]
- Cui, S.; Hu, Y.; Lou, Z.; Yi, R.; Hou, Y.; Teng, F. Light emitting field-effect transistors with vertical heterojunctions based on pentacene and tris-(8-hydroxyquinolinato) aluminum. Org. Electron. 2015, 22, 51–55. [Google Scholar] [CrossRef]
- Rajeswaran, M.; Blanton, T.N.; Tang, C.W.; Lenhart, W.C.; Switalski, S.C.; Giesen, D.J.; Antalek, B.J.; Pawlik, T.D.; Kondakov, D.Y.; Zumbulyadis, N.; et al. Structural, thermal, and spectral characterization of the different crystalline forms of Alq3, tris(quinolin-8-olato)aluminum(III), an electroluminescent material in OLED technology. Polyhedron 2009, 28, 835–843. [Google Scholar] [CrossRef]
- Painuly, D.; Mogha, N.K.; Masram, D.T.; Singhal, R.; Gedam, R.S.; Nagpure, I.M. Phase stability and transformation of the α to ε-phase of Alq3 phosphor after thermal treatment and their photo-physical properties. J. Phys. Chem. Solids 2018, 121, 396–408. [Google Scholar] [CrossRef]
- Fukushima, T.; Kaji, H. Green- and blue-emitting tris(8-hydroxyquinoline) aluminum(III) (Alq3) crystalline polymorphs: Preparation and application to organic light-emitting diodes. Org. Electron. 2012, 13, 2985–2990. [Google Scholar] [CrossRef]
- Pohl, R.; Anzenbacher, P. Emission Color Tuning in AlQ3 Complexes with Extended Conjugated Chromophores. Org. Lett. 2003, 5, 2769–2772. [Google Scholar] [CrossRef] [PubMed] [Green Version]
- Pérez-Bolívar, C.; Takizawa, S.Y.; Nishimura, G.; Montes, V.A.; Anzenbacher, P., Jr. High-efficiency tris(8-hydroxyquinoline)aluminum (Alq3) complexes for organic white-light-emitting diodes and solid-state lighting. Chem. Eur. J. 2011, 17, 9076–9082. [Google Scholar] [CrossRef] [PubMed]
- Duvenhage, M.M.; Ntwaeaborwa, O.M.; Swart, H.C. UV exposure and photon degradation of Alq3 powders. Phys. B Condens. Matter 2012, 407, 1521–1524. [Google Scholar] [CrossRef]
- Kim, K.; Hong, K.; Kim, S.; Lee, J.-L. Doping Mechanism and Electronic Structure of Alkali Metal Doped Tris(8-hydroxyquinoline) Aluminum. J. Phys. Chem. C 2012, 116, 9158–9165. [Google Scholar] [CrossRef]
- Bhagat, S.A.; Borghate, S.V.; Kalyani, N.T.; Dhoble, S.J. Novel Na+ doped Alq3 hybrid materials for organic light-emitting diode (OLED) devices and flat panel displays. Luminescence 2015, 30, 251–256. [Google Scholar] [CrossRef] [PubMed]
- Cuba, M.; Muralidharan, G. Enhanced luminescence properties of hybrid Alq3/ZnO (organic/inorganic) composite films. J. Lumin. 2014, 156, 1–7. [Google Scholar] [CrossRef]
- Li, J.; Xie, B.; Xia, K.; Zhao, C.; Li, Y.; Hu, S. Enhanced PL and EL properties of Alq3/nano-TiO2 with the modification of 8-vinyl POSS. Opt. Mater. 2018, 78, 279–284. [Google Scholar] [CrossRef]
- Yang, S.J.; Park, C.R. Facile preparation of monodisperse ZnO quantum dots with high quality photoluminescence characteristics. Nanotechnology 2007, 19, 035609. [Google Scholar] [CrossRef] [PubMed]
- Iwashita, N. Chapter 2—X-ray Powder Diffraction. In Materials Science and Engineering of Carbon; Inagaki, M., Kang, F., Eds.; Butterworth-Heinemann: Oxford, UK, 2016; pp. 7–25. [Google Scholar]
- Mashford, B.; Baldauf, J.; Nguyen, T.-L.; Funston, A.M.; Mulvaney, P. Synthesis of quantum dot doped chalcogenide glasses via sol-gel processing. J. Appl. Phys. 2011, 109, 094305. [Google Scholar] [CrossRef] [Green Version]
- Duvenhage, M.-M.; Ntwaeaborwa, M.; Visser, H.G.; Swarts, P.J.; Swarts, J.C.; Swart, H.C. Determination of the optical band gap of Alq3 and its derivatives for the use in two-layer OLEDs. Opt. Mater. 2015, 42, 193–198. [Google Scholar] [CrossRef]






| Wavenumber (cm−1) | Wavenumber (cm−1) | ||||||||
|---|---|---|---|---|---|---|---|---|---|
| Alq3 | Alq3-10 wt.% | Alq3-20 wt.% | Alq3-30 wt.% | Assignment | Alq3 | Alq3-10 wt.% | Alq3-20 wt.% | Alq3-30 wt.% | Assignment |
| 419 | 419 | 420 | 422 | Al-N vibration | 1053 | 1053 | 1056 | 1056 | C-O stretching |
| 444 | 444 | 444 | 445 | Al-O stretching | 1115 | 1113 | 1110 | 1110 | C-O stretching |
| 457 | 457 | 459 | 459 | Al-O stretching | 1138 | 1137 | 1133 | 1133 | C-O stretching |
| 473 | 473 | 473 | 473 | Al-O stretching | 1175 | 1173 | 1173 | 1173 | C-O stretching |
| 504 | 503 | 497 | 497 | Al-O stretching | 1231 | 1231 | 1236 | 1232 | C-O stretching |
| 543 | 543 | 545 | 545 | Al-O stretching | 1281 | 1280 | 1278 | 1278 | Aromatic amine |
| 576 | 576 | 576 | 576 | C-H bending | 1327 | 1327 | 1321 | 1321 | Aromatic amine |
| 599 | 601 | 605 | 606 | C-H bending | 1383 | 1384 | 1386 | 1278 | Aromatic amine |
| 647 | 648 | 651 | 651 | C-H bending | 1425 | 1425 | 1426 | 1321 | C=C stretching |
| 750 | 750 | 733 | 733 | C-H bending | 1468 | 1466 | 1460 | 1385 | C=C stretching |
| 788 | 788 | 788 | 187 | C-H bending | 1499 | 1499 | 1497 | 1497 | C=C bending |
| 806 | 805 | 803 | 803 | C-H bending | 1580 | 1576 | 1575 | 1575 | C=C bending |
| 877 | 877 | 823 | 823 | C-H bending | 1605 | 1604 | 1603 | 1603 | C=C bending |
| 1034 | 1034 | 1034 | 1034 | C-O stretching | |||||
Publisher’s Note: MDPI stays neutral with regard to jurisdictional claims in published maps and institutional affiliations. |
© 2021 by the authors. Licensee MDPI, Basel, Switzerland. This article is an open access article distributed under the terms and conditions of the Creative Commons Attribution (CC BY) license (https://creativecommons.org/licenses/by/4.0/).
Share and Cite
Makki, A.H.; Park, S.-H. Yellow Emissive Tris(8-hydroxyquinoline) Aluminum by the Incorporation of ZnO Quantum Dots for OLED Applications. Micromachines 2021, 12, 1173. https://doi.org/10.3390/mi12101173
Makki AH, Park S-H. Yellow Emissive Tris(8-hydroxyquinoline) Aluminum by the Incorporation of ZnO Quantum Dots for OLED Applications. Micromachines. 2021; 12(10):1173. https://doi.org/10.3390/mi12101173
Chicago/Turabian StyleMakki, Aya Hekmet, and Si-Hyun Park. 2021. "Yellow Emissive Tris(8-hydroxyquinoline) Aluminum by the Incorporation of ZnO Quantum Dots for OLED Applications" Micromachines 12, no. 10: 1173. https://doi.org/10.3390/mi12101173
APA StyleMakki, A. H., & Park, S.-H. (2021). Yellow Emissive Tris(8-hydroxyquinoline) Aluminum by the Incorporation of ZnO Quantum Dots for OLED Applications. Micromachines, 12(10), 1173. https://doi.org/10.3390/mi12101173

