Experimental Research on Deep-And-Narrow Micromilled Grooves Using a Self-Fabricated PCD Micro-Cutter
Abstract
:1. Introduction
2. Fabrication of Large-Aspect-Ratio (LAR) PCD Micromilling Cutter
2.1. Design of LAR PCD Micromilling Cutter
2.2. Design of LAR PCD Micromilling Cutter
3. Experimental Setup and Procedures
4. Results and Discussion
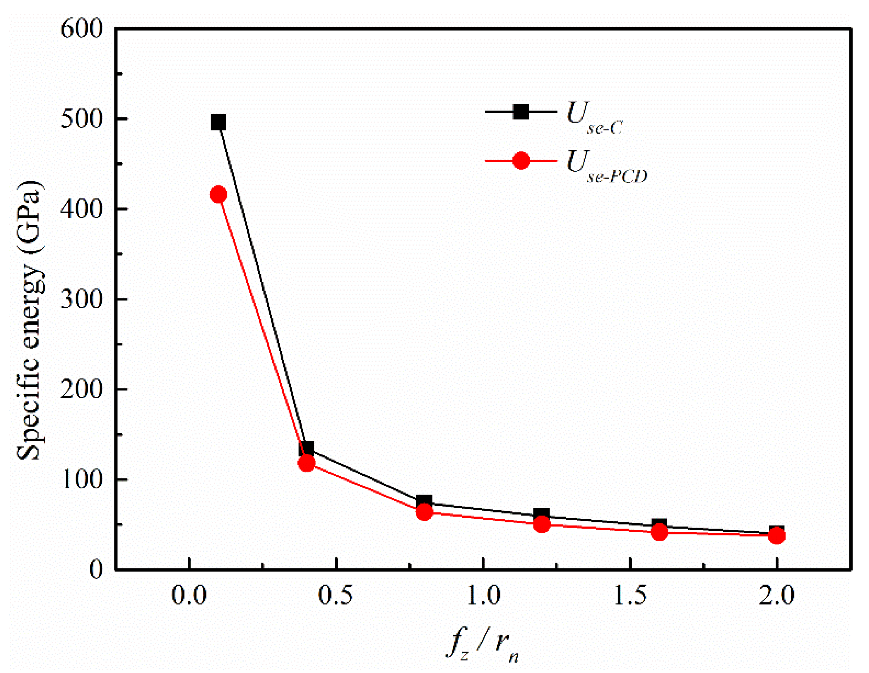
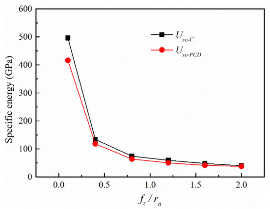
4.1. Cutting Forces and Specific Energy
4.2. Surface Quality of Side-Walls and Machined Accuracy
4.3. Tool Wear
5. Conclusions
- (1)
- A superior quality PCD cutter was successfully manufactured by the proposed hybrid method of laser and grinding. The aspect ratio and cutting-edge radius achieved were 3.25 and 2.5 μm.
- (2)
- In comparison, under the same conditions, both the milling forces and specific energy corresponding to the self-manufactured single-edged PCD cutter were smaller than that of the commercial two-fluted carbide cutter. The material removal process was easier for the self-manufactured PCD cutter.
- (3)
- A satisfactory micromilled groove with a depth-to-width ratio of 2.5 was achieved by using the self-fabricated LAR PCD cutter under the optimized conditions. The side-wall surfaces were smoother and flatter with few defects, and the geometric dimension error of the obtained micro-groove was much smaller (8 μm).
- (4)
- When the milling distance reached 1200 mm, the tool wear of the self-manufactured LAR PCD cutter was relatively slight. The increased amplitude of the cutting-edge radius was about 28%, only normal wear has occurred.
Author Contributions
Funding
Conflicts of Interest
Nomenclature
| P | laser power (W) |
| V | scanning speed (mm/s) |
| Da | defocusing amount (μm) |
| rn | cutting-edge radius (μm) |
| rn-PCD, rn-C | cutting-edge radius of PCD and carbide cutter (μm) |
| rɛ | Tool nose radius (μm) |
| n | Spindle speed (rpm) |
| ap | depth of cut (μm) |
| fz | Feed rate (μm/z) |
| fz/rn | feed rate/cutting-edge radius |
| Sa | areal surface roughness (μm) |
| Fx, Fy, Fz | cutting forces in X, Y, and Z directions (N) |
| Ff, Fp, Fc | cutting forces of feed, cross feed, and main force (N) |
| Ft, Fr | cutting forces in tangential and radial directions (N) |
| Fcc | force in the cutting speed direction (N) |
| Use | specific energy (GPa) |
| Use-PCD, Use-C | specific energy of PCD and carbide cutter (GPa) |
| hi, dw | cutting thickness and width (μm) |
| φ | instantaneous contact angle (°) |
References
- Bhardwaj, R.K.; Sudhamani, H.S.; Dutta, V.P.; Bhatnagar, N. Micromachining and Characterisation of Folded Waveguide Structure at 0.22 THz. J. Infrared Millim. Terahertz Waves 2021, 42, 229–238. [Google Scholar] [CrossRef]
- Babaeihaselghobi, A.; Ghavifekr, H.B. Development of a planar helix slow-wave structure based on ball-grid array technology. J. Electromagn. Waves Appl. 2020, 34, 1771–1781. [Google Scholar] [CrossRef]
- Dong, H.N.; Ahn, H.S. A comprehensive review on micro/nanoscale surface modification techniques for heat transfer enhancement in heat exchanger. Int. J. Heat Mass Transf. 2021, 178, 121601. [Google Scholar]
- Wang, Y.S.; Zou, B.; Huang, C.Z.; Liu, Z.Q.; Yao, P. The micro-cutting performance of cermet and coated WC micro-mills in machining of TC4 alloy micro-grooves. Int. J. Adv. Manuf. Technol. 2018, 96, 1403–1414. [Google Scholar] [CrossRef]
- Hu, P.; Lei, W.Q.; Jiang, Y.; Huang, Y.H.; Song, R.; Chen, H.B.; Dong, Y. Development of a 0.32-THz Folded Waveguide Traveling Wave Tube. IEEE Trans. Electron Devices 2018, 65, 2164–2169. [Google Scholar] [CrossRef]
- Han, J.J.; Hao, X.Q.; Li, L.; Liu, L.H.; Chen, N.; Zhao, G.L.; He, N. Investigation on Surface Quality and Burr Generation of High Aspect Ratio (HAR) Micro-Milled Grooves. J. Manuf. Process. 2020, 52, 35–43. [Google Scholar] [CrossRef]
- Bang, Y.B.; Lee, K.M.; Oh, S. 5-axis micro milling machine for machining micro parts. Int. J. Adv. Manuf. Technol. 2005, 25, 888–894. [Google Scholar] [CrossRef]
- Llanos, I.; Agirre, A.; Urreta, H.; Thepsonthi, T.; Özel, T. Micromilling high aspect ratio features using tungsten carbide tools. Proc. Inst. Mech. Eng. Part B J. Eng. Manuf. 2014, 228, 1350–1358. [Google Scholar] [CrossRef]
- Kou, D.J.; Wan, Y.; Liu, Z.Q.; Cai, Y.K.; Liang, X.C. Deformation control in micro-milling of thin-walled structures. Int. J. Adv. Manuf. Technol. 2015, 81, 967–974. [Google Scholar] [CrossRef]
- Zariatin, D.L.; Kiswanto, G.; Ko, T.J. Investigation of the micro-milling process of thin-wall features of aluminum alloy 1100. Int. J. Adv. Manuf. Technol. 2017, 93, 2625–2637. [Google Scholar] [CrossRef]
- Malayath, G.; Sidpara, A.M.; Deb, S. Study of different materials response in micro milling using four edged micro end mill tools. J. Manuf. Process. 2020, 56, 169–179. [Google Scholar] [CrossRef]
- Niu, Z.; Jiao, F.; Cheng, K. An innovative investigation on chip formation mechanisms in micro-milling using natural diamond and tungsten carbide tools. J. Manuf. Process. 2018, 31, 382–394. [Google Scholar] [CrossRef]
- Deng, B.; Peng, F.Y.; Zhou, L.; Wang, H.W.; Yang, M.H.; Yan, R. A comprehensive study on flank wear progression of polycrystalline diamond micro-tool during micro end-milling of SiCp/Al composites. Wear 2020, 456–457, 203291. [Google Scholar] [CrossRef]
- Nakamoto, K.; Katahira, K.; Ohmori, H.; Yamazaki, K.; Aoyama, T. A study on the quality of micro-machined surfaces on tungsten carbide generated by PCD micro end-milling. CIRP Ann. 2012, 61, 567–570. [Google Scholar] [CrossRef]
- Eberle, G.; Jefimovs, K.; Wegener, K. Characterisation of thermal influences after laser processing polycrystalline diamond composites using long to ultrashort pulse durations. Precis. Eng. 2015, 39, 16–24. [Google Scholar] [CrossRef]
- Liang, Z.Q.; Li, S.D.; Zhou, T.F.; Wang, X.B.; Gao, P.; Zhang, D.D.; Teng, L.L. Fabrication and milling performance of micro ball-end mills with different relief angles. Int. J. Adv. Manuf. Technol. 2018, 98, 919–928. [Google Scholar] [CrossRef]
- Yuan, H.; Zhao, W.X.; Liang, Z.Q.; Li, S.D.; Wang, X.B.; Zhou, T.F.; Sun, X.F.; Jiang, L.K. Structural design and fabrication of polycrystalline diamond micro ball-end mill. Int. J. Adv. Manuf. Technol. 2020, 108, 1899–1911. [Google Scholar] [CrossRef]
- Zhang, Z.Y.; Peng, H.M.; Yan, J.W. Micro-cutting characteristics of EDM fabricated high-precision polycrystalline diamond tools. Int. J. Mach. Tool. Manu. 2013, 65, 99–106. [Google Scholar] [CrossRef]
- Chen, N.; Li, H.N.; Wu, J.M.; Li, Z.J.; Li, L.; Liu, G.Y.; He, N. Advances in micro milling: From tool fabrication to process outcomes. Int. J. Mach. Tool. Manu. 2021, 160, 103670. [Google Scholar] [CrossRef]
- Suzuki, H.; Moriwaki, T.; Yamamoto, Y.; Goto, Y. Precision cutting of aspherical ceramic molds with micro PCD milling tool. CIRP Ann. 2007, 56, 131–134. [Google Scholar] [CrossRef]
- Oliaei, S.N.B.; Karpat, Y. Polycrystalline diamond end mill cutting edge design to improve ductile-mode machining of silicon. Precis. Eng. 2018, 51, 403–414. [Google Scholar] [CrossRef] [Green Version]
- Ogawa, Y.; Ota, M.; Nakamoto, K.; Fukaya, T.; Russell, M.; Zohdi, T.I.; Yamazaki, K.; Aoyama, H. A study on machining of binder-less polycrystalline diamond by femtosecond pulsed laser for fabrication of micro milling tools. CIRP Ann. 2016, 65, 245–248. [Google Scholar] [CrossRef]
- Jiang, J.L.; Sun, S.F.; Wang, D.X.; Yang, Y.; Liu, X.F. Surface texture formation mechanism based on the ultrasonic vibration-assisted grinding process. Int. J. Mach. Tools Manuf. 2020, 156, 103595. [Google Scholar] [CrossRef]
- Yang, K.; Xia, Y.; Li, L.; He, N.; Zhang, Y.; Zhang, T.; Wang, Y. Experimental study on hybrid machining of laser irradiation and grinding for sharpening of a CVD diamond micro-milling tool. Int. J. Adv. Manuf. Technol. 2018, 96, 327–336. [Google Scholar] [CrossRef]
- Zhan, Z.B.; He, N.; Li, L.; Shrestha, R.; Liu, J.Y.; Wang, S.L. Precision milling of tungsten carbide with micro PCD milling tool. Int. J. Adv. Manuf. Technol. 2015, 77, 2095–2103. [Google Scholar] [CrossRef]
- Wu, X.; Li, L.; He, N.; Zhao, G.L.; Jiang, F. Fabrication of PCD micro end mill for machining hard and brittle material. Int. J. Adv. Manuf. Technol. 2019, 103, 1349–1358. [Google Scholar] [CrossRef]
- Han, J.J.; Hao, X.Q.; Li, L.; He, N.; Zhao, G.L.; Chen, N. Fabrication of large aspect ratio (LAR) PCD micro-end mill with a hybrid method and performance verification. Int. J. Adv. Manuf. Technol. 2019, 104, 1473–1483. [Google Scholar] [CrossRef]
- Zhan, Z.B.; Li, L.; He, N.; Shrestha, R. An experimental study on grinding parameters for manufacturing PCD micro-milling tool. Int. J. Adv. Manuf. Technol. 2014, 73, 1799–1806. [Google Scholar] [CrossRef]
- Jing, X.B.; Lv, R.; Chen, Y.; Tian, Y.L.; Li, H.Z. Modelling and experimental analysis of the effects of run out, minimum chip thickness and elastic recovery on the cutting force in micro-end-milling. Int. J. Mech. Sci. 2020, 176, 105540. [Google Scholar] [CrossRef]
- Chen, N.; Li, L.; Wu, J.M.; Qian, J.; He, N.; Reynaerts, D. Research on the ploughing force in micro milling of soft-brittle crystals. Int. J. Mech. Sci. 2019, 155, 315–322. [Google Scholar] [CrossRef]
- Chen, W.Q.; Huo, D.H.; Teng, X.Y.; Sun, Y.Z. Surface Generation Modelling for Micro end Milling Considering the Minimum Chip Thickness and Tool Runout. Procedia CIRP 2017, 58, 364–369. [Google Scholar] [CrossRef]
- Hao, X.Q.; Xu, W.H.; Chen, M.Y.; Wang, C.; Han, J.J.; Li, L.; He, N. Laser hybridizing with micro-milling for fabrication of high aspect ratio micro-groove on oxygen-free copper. Precis. Eng. 2021, 70, 15–25. [Google Scholar] [CrossRef]
- Singh, K.K.; Kartik, V.; Singh, R. Stability Modeling with Dynamic Run-out in High Speed Micromilling of Ti6Al4V. Int. J. Mech. Sci. 2019, 150, 677–690. [Google Scholar] [CrossRef]


















| Parameters | Cutter |
|---|---|
| Flute number | 1 |
| Grain size | 10 |
| Total length (mm) | 45 |
| Holder diameter (mm) | 4 |
| Edge diameter (mm) | 0.4 |
| Rake angle (°) | 0 |
| Inclination angle (°) | 5 |
| Blank edge length (mm) | 2 |
| Properties | Values |
|---|---|
| Specific heat J/(kg·°C) | 385 |
| Thermal conductivity W/(m·°C) | 391 |
| Young’s modulus (GPa) | 124 |
| Shear Modulus (GPa) | 47.7 |
| Poisson ratio | 0.34 |
| Density (kg/m3) | 8.96 × 103 |
| Parameters | PCD | Carbide |
|---|---|---|
| Flute | 1 | 2 |
| Diameter (mm) | 0.4 | 0.5 |
| Effective edge length (mm) | 1.3 | 1.5 |
| Aspect ratio | 3.25 | 3 |
| Cutting-edge radius rn (μm) | 2.5 | 2 |
| Tool nose radius rɛ (μm) | 2.5 | 2 |
| Coating material | - | CrTiAlN |
| Parameters | Values |
|---|---|
| Spindle speed n (rpm) | 20,000 |
| Depth of cut ap (μm) | 5 |
| Feed rate fz (μm/z) | 0.25, 0.5, 1, 2, 3, 4, 5, 6 |
| Workpiece material | OFC-TU1 |
| Cutting fluid | Water-free alcohol |
| Cutters | n (rpm) | ap (μm) | fz/rn | Depth (mm) | Length (mm) |
|---|---|---|---|---|---|
| PCD | 20,000 | 5 | 0.4 | 1.0 | 6.0 |
| Carbide | 20,000 | 5 | 0.8 | 1.0 | 6.0 |
Publisher’s Note: MDPI stays neutral with regard to jurisdictional claims in published maps and institutional affiliations. |
© 2021 by the authors. Licensee MDPI, Basel, Switzerland. This article is an open access article distributed under the terms and conditions of the Creative Commons Attribution (CC BY) license (https://creativecommons.org/licenses/by/4.0/).
Share and Cite
Han, J.; Ma, R.; Hao, X.; Kong, L.; Chen, N.; Li, L.; He, N. Experimental Research on Deep-And-Narrow Micromilled Grooves Using a Self-Fabricated PCD Micro-Cutter. Micromachines 2021, 12, 1170. https://doi.org/10.3390/mi12101170
Han J, Ma R, Hao X, Kong L, Chen N, Li L, He N. Experimental Research on Deep-And-Narrow Micromilled Grooves Using a Self-Fabricated PCD Micro-Cutter. Micromachines. 2021; 12(10):1170. https://doi.org/10.3390/mi12101170
Chicago/Turabian StyleHan, Jinjin, Rui Ma, Xiuqing Hao, Linglei Kong, Ni Chen, Liang Li, and Ning He. 2021. "Experimental Research on Deep-And-Narrow Micromilled Grooves Using a Self-Fabricated PCD Micro-Cutter" Micromachines 12, no. 10: 1170. https://doi.org/10.3390/mi12101170
APA StyleHan, J., Ma, R., Hao, X., Kong, L., Chen, N., Li, L., & He, N. (2021). Experimental Research on Deep-And-Narrow Micromilled Grooves Using a Self-Fabricated PCD Micro-Cutter. Micromachines, 12(10), 1170. https://doi.org/10.3390/mi12101170

