Electro-Optical Properties of Sputtered Calcium Lead Titanate Thin Films for Pyroelectric Detection
Abstract
1. Introduction
2. Materials and Methods
2.1. Calcium Modified Lead Titanate (PCT) Thin Film Deposition and Device Fabrication
2.2. Structural and Atomic Characterization of PCT Thin Films
2.3. Electrical Properties of PCT Films
2.4. Theoretical Calculation of PCT Thin Films
3. Results
3.1. Electronic and Atomic Structure of PCT Films
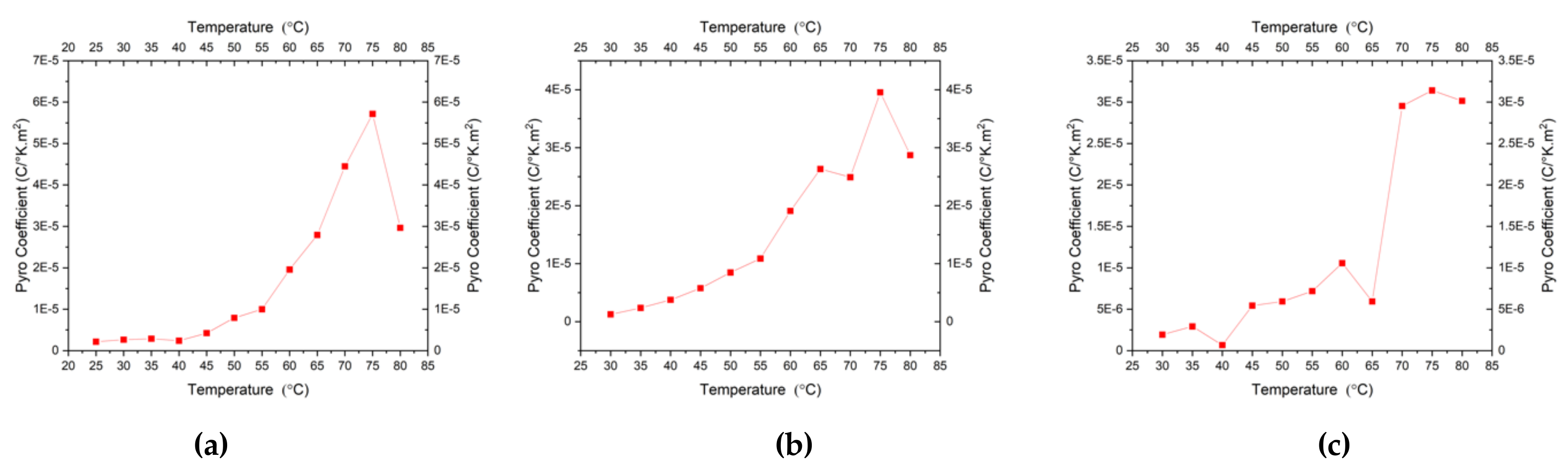
3.2. Electrical Properties of PCT Films
3.3. Optical Properties of PCT Thin Films
4. Conclusions
Author Contributions
Funding
Acknowledgments
Conflicts of Interest
References
- Ivill, M.; Ngo, E.; Cole, M.W. Method and Characterization of Pyroelectric Coefficients for Determining Material Figures of Merit for Infrared (ir) Detectors; Army Research Laboratory: Adelphi, MA, USA, 2013. [Google Scholar]
- Elvin, N.; Alper, E. Advances in Energy Harvesting Methods; Springer: Berlin/Heidelberg, Germany, 2013. [Google Scholar]
- Shi, F. (November 5th 2018). Introductory Chapter: Basic Theory of Magnetron Sputtering; IntechOpen: London, UK, 2018. [Google Scholar] [CrossRef]
- Jalal, A.; Wang, J.; Berndt, C.C.; Kapoor, A.; Zhu, D.M.; Ang, A.S.M.; Srivastava, V.K. Influence of charged defects on the interfacial bonding strength of tantalum- and silver-doped nanograined TiO2. Phys. Chem. Chem. Phys. 2017, 19, 11881–11891. [Google Scholar] [CrossRef]
- Jalal, A.; Wang, J.; Berndt, C.C.; Wen, C.; Srivastava, V.K.; Kapoor, A. Structural and mechanical properties of magnetron-sputtered Al–Au thin films. Appl. Phys. A 2017, 71, 1–8. [Google Scholar] [CrossRef]
- Jalal, A.; Wang, J.; Berndt, C.C.; Kapoor, A.; Zhu, D.M.; Ang, A.S.M.; Srivastava, V.K. Tantalum- and Silver-Doped Titanium Dioxide Nanosheets Film: Influence on Interfacial Bonding Structure and Hardness of the Surface System. Ind. Eng. Chem. Res. 2017, 56, 434–439. [Google Scholar] [CrossRef]
- Srivastava, V.K.; Kapoor, A.; Jalal, A.; Wang, J.; Berndt, C.C. Effect of Sliding Brass Pin over the Adhere Surfaces of Magnetron Sputtered Monolayer Composites. Int. J. Mater. Eng. 2016, 6, 72–76. [Google Scholar] [CrossRef]
- Gao, Z.; Lu, C.; Wang, Y.; Yang, S.; Yu, Y.; He, H. Super Stable Ferroelectrics with High Curie Point. U.S. National Library of Medicine, Rockville Pike, Bethesda, MD USA. 2016. Available online: www.ncbi.nlm.nih.gov/pmc/articles/PMC4823784/ (accessed on 7 April 2016).
- What Is MEMS Technology? Material: Copper (Cu), Bulk. Available online: www.memsnet.org/mems/what_is.html (accessed on 25 July 2020).
- Hossain, A.; Rashid, M.H. Pyroelectric detectors and their applications. IEEE Trans. Ind. Appl. 1991, 27, 824–829. [Google Scholar] [CrossRef]
- Newbury, D.E.; Ritchie, N.W. Performing elemental microanalysis with high accuracy and high precision by scanning electron microscopy/silicon drift detector energy-dispersive X-ray spectrometry (SEM/SDD-EDS). J. Mater. Sci. 2015, 50, 493–518. [Google Scholar] [CrossRef]
- Kholkin, A.L.; Bdikin, I.; Yuzyuk, Y.I.; Almeida, A.; Chaves, M.R.; Calzada, M.L.; Mendiola, J. Raman scattering in sol-gel derived PbTiO3 films modified with Ca. Mater. Chem. Phys. 2004, 85, 176–179. [Google Scholar] [CrossRef]
- Lubomirsky, I.; Stafsudd, O. Practical guide for pyroelectric measurements. Rev. Sci. Instrum. 2012, 83, 051101. [Google Scholar] [CrossRef]
- Jachalke, S.; Mehner, E.; Stöcker, H.; Hanzig, J.; Sonntag, M.; Weigel, T.; Leisegang, T.; Meyer, D.C. How to measure the pyroelectric coefficient? Appl. Phys. Rev. 2017, 4, 021303. [Google Scholar] [CrossRef]
- Clark, S.J.; Segall, M.D.; Pickard, C.J.; Hasnip, P.J.; Probert, M.J.; Refson, K.; Payne, M.C. First principles methods using CASTEP. Z. Krist. 2005, 220, 567–570. [Google Scholar] [CrossRef]
- Lucarini, V.; Peiponen, K.-E.; Saarinen, J.J.; Vartiainen, E.M. (Eds.) Kramers-Kronig Relations and Sum Rules in Linear Optics. In Kramers-Kronig Relations in Optical Materials Research; Springer Series in Optical Sciences; Springer: Berlin/Heidelberg, Germany, 2005; ISBN 978-3-540-27316-5. [Google Scholar]
- Calzadat, M.L.; Martini, M.J.; Ramost, P.; Mendiolat, J.; Sirerat, R.; da Silva, M.F.; Soares, J.C. Effect of compositions and annealing conditions on the properties of sol-gel prepared calcium-modified lead titanate thin films. J. Phys. Chem. Solids 1997, 58, 1033–1039. [Google Scholar] [CrossRef]
- Chopra, S.; Sharma, S.; Goel, T.C.; Mendiratta, R.G. Effect of annealing temperature on microstructure of chemically deposited calcium modified lead titanate thin films. Appl. Surf. Sci. 2004, 230, 207–214. [Google Scholar] [CrossRef]
- Mendiola, J.; Jiménez, R.; Ramos, P.; Alemany, C.; Bretos, I.; Calzada, L.M. Dielectric properties of Pb0.5Ca0.5TiO3 thin films. J. Appl. Phys. 2005, 98, 024106. [Google Scholar] [CrossRef]
- Beran, A.; Libowitzky, E.; Armbruster, T. A single-crystal infrared spectroscopic and X-ray-diffraction study of untwinned San Benito perovskite containing OH groups. Can. Mineral. 1996, 34, 803–809. [Google Scholar]
- Ahmed, M.; Butler, D. Modified lead titanate thin films for pyroelectric infrared detectors on gold electrodes. Infrared Phys. Technol. 2015, 71, 1–9. [Google Scholar] [CrossRef]
- Byer, R.L.; Roundy, C.B. Pyroelectric coefficient direct measurement technique and application to a NSEC response time detector. IEEE Trans. Sonics Ultrason. 1972, 3, 333–338. [Google Scholar] [CrossRef]
- Strnad, N. Atomic Layer Deposition of Lead Zirconate-Titanate and Other Lead-Based Perovskites. Ph.D. Thesis, University of Maryland, College Park, MD, USA, 2019. [Google Scholar]
- Stewart, J.W.; Vella, J.H.; Li, W.; Fan, S.; Mikkelsen, M.H. Ultrafast pyroelectric photodetection with on-chip spectral filters. Nat. Mater. 2020, 19, 158–162. [Google Scholar] [CrossRef]
- Sagar, R.; Gaur, M.S.; Rogachev, A.A. Piezoelectric and pyroelectric properties of ceramic nanoparticles based nanostructured PVDF/PVC blend nanocomposites. J. Therm. Anal. Calorim. 2020, 1–11. [Google Scholar] [CrossRef]
- Baia, Y.; Siponkoski, T.; Peräntie, J.; Jantunen, H.; Juuti, J. Ferroelectric, pyroelectric, and piezoelectric properties of a photovoltaic perovskite oxide. Appl. Phys. Lett. 2017, 110, 063903. [Google Scholar] [CrossRef]
- Smith, S.W.; Kitahara, A.R.; Rodriguez, M.A.; Henry, M.D.; Brumbach, M.T.; Ihlefeld, J.F. Pyroelectric response in crystalline hafnium zirconium oxide (Hf1-xZrxO2) thin films. Appl. Phys. Lett. 2017, 110, 072901. [Google Scholar] [CrossRef]
- Zhuo, F.; Li, Q.; Gao, J.; Wang, Y.; Yan, Q.; Zhang, Y.; Chu, X. Electric Field-Induced Phase Transition Behaviors, Thermal Depolarization, and Enhanced Pyroelectric Properties of (Pb0.97La0.02)(ZrxSn0.89−xTi0.11)O3 Ceramics. J. Am. Ceram. Soc. 2016, 99, 2047–2054. [Google Scholar] [CrossRef]











| Deposition Temperature (°C) | Annealing Temperature (°C) | Composition | Pb/Ti | Ca/Ti | Ca | Pb | Ti | O |
|---|---|---|---|---|---|---|---|---|
| 550 | 550 | (Ca0.41Pb0.59) TiO3.04 | 0.70 | 0.50 | 8.9 | 12.5 | 17.8 | 54.2 |
| 550 | 600 | (Ca0.41Pb0.59) TiO2.80 | 0.63 | 0.44 | 8.6 | 12.2 | 19.2 | 53.8 |
| Supercell | K-Mesh | Energy Cut-Off | Functional | Pseudo-Potential | Convergence Accuracy | Force Cutoff | Displacement Cutoff |
|---|---|---|---|---|---|---|---|
| 1 × 1 × 1 | 3 × 3 × 3 5 × 5 × 5 For optical calculation | 125.0 Hartree | GGA-PBE | Ultra-soft |
| Sample | Deposition Substrate | Deposition Temperature (°C) | Annealing Temperature (°C) | Crystal Size (nm) |
|---|---|---|---|---|
| Sample#1 | Si | 550 | 550 | 28.9 |
| Sample#2 | Si | 550 | 600 | 35.3 |
| Sample#3 | Si | 600 | 600 | 28.99 |
| Sample#4 | Si | 600 | 650 | 28.99 |
| Sample#5 | Si | 650 | 650 | 29.28 |
| Sample#6 | Si/SiN/Ti/Au | 550 | 600 | 11.5 |
| Sample#7 | Si/SiN/Ti/Au | 550 | 650 | 11.5 |
| Material | Thin Film Deposition Method | Pyroelectric Coefficient (µC/m2K) | Reference |
|---|---|---|---|
| PbZr0.52Ti0.48O3 | Atomic layer deposition | 380 | [17] |
| AlN | Sputter | 1.9 | [18] |
| PVDF/PVC/BaTiO3 blend nanocomposites | Solution casting technique | 351 | [19] |
| (1-x) KNbO3-xBaNi1/2Nb1/2O3-δ (KBNNO) | Solution-based | 26 | [20] |
| Hf1-xZrxO2 | Sputtering | 48 for x = 0.64 | [21] |
| (Pb0.97La0.02) (ZrxSn0.89−xTi0.11) O3 (x = 0.68) | Solution-based | 680 | [22] |
| Pb0.7Ca0.3TiO3 | Pulse laser deposition | 47 | [15] |
| (Pb0.593Ca0.406) TiO3 | RF sputter | 2 | Current Study |
Publisher’s Note: MDPI stays neutral with regard to jurisdictional claims in published maps and institutional affiliations. |
© 2020 by the authors. Licensee MDPI, Basel, Switzerland. This article is an open access article distributed under the terms and conditions of the Creative Commons Attribution (CC BY) license (http://creativecommons.org/licenses/by/4.0/).
Share and Cite
Mafi, E.; Calvano, N.; Patel, J.; Islam, M.S.; Hasan Khan, M.S.; Rana, M. Electro-Optical Properties of Sputtered Calcium Lead Titanate Thin Films for Pyroelectric Detection. Micromachines 2020, 11, 1073. https://doi.org/10.3390/mi11121073
Mafi E, Calvano N, Patel J, Islam MS, Hasan Khan MS, Rana M. Electro-Optical Properties of Sputtered Calcium Lead Titanate Thin Films for Pyroelectric Detection. Micromachines. 2020; 11(12):1073. https://doi.org/10.3390/mi11121073
Chicago/Turabian StyleMafi, Elham, Nicholas Calvano, Jessica Patel, Md. Sherajul Islam, Md. Sakib Hasan Khan, and Mukti Rana. 2020. "Electro-Optical Properties of Sputtered Calcium Lead Titanate Thin Films for Pyroelectric Detection" Micromachines 11, no. 12: 1073. https://doi.org/10.3390/mi11121073
APA StyleMafi, E., Calvano, N., Patel, J., Islam, M. S., Hasan Khan, M. S., & Rana, M. (2020). Electro-Optical Properties of Sputtered Calcium Lead Titanate Thin Films for Pyroelectric Detection. Micromachines, 11(12), 1073. https://doi.org/10.3390/mi11121073

