A High Q-Factor Outer-Frame-Anchor Gyroscope Operating at First Resonant Mode
Abstract
1. Introduction
2. Materials and Methods
2.1. Kinetic Equations and Error Analysis
2.2. The Design of Multi-Rings Structures Operating as the First Mode
2.3. Multi-Rings Structures with Low Thermoelastic Damping
2.4. MEMS Fabrications Processes
3. Results
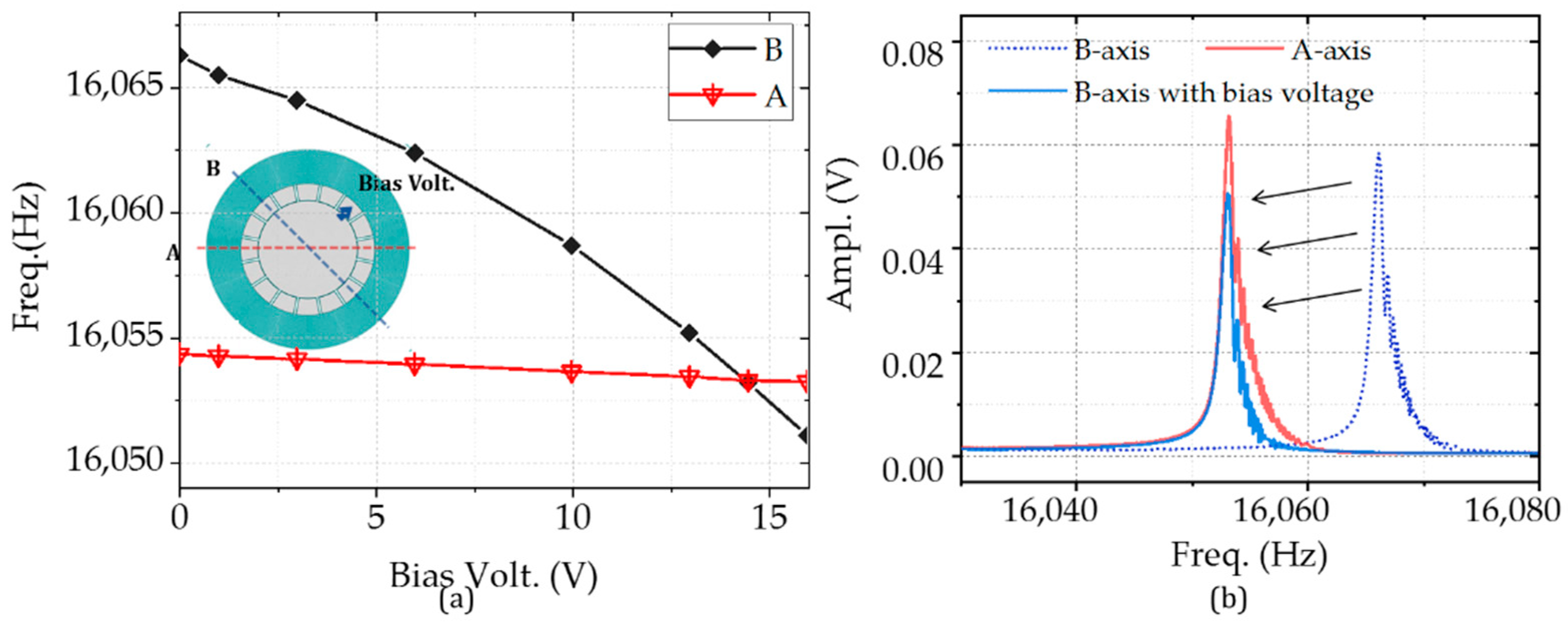
3.1. The Frequency Splits and Mode-Matching
3.2. Q-Factor Characterization and Evaluation
4. Discussion
5. Conclusions
Author Contributions
Funding
Conflicts of Interest
References
- Li, Q.; Xiao, D.; Zhou, X.; Xu, Y.; Zhuo, M.; Hou, Z.; He, K.; Zhang, Y.; Wu, X. 0.04 degree-per-hour MEMS disk resonator gyroscope with high-quality factor (510 k) and long decaying time constant (74.9 s). Microsyst. Nanoeng. 2018, 4, 1–11. [Google Scholar] [CrossRef] [PubMed]
- Rogers, T.; Aitken, N.; Stribley, K.; Boyd, J. Improvements in MEMS gyroscope production as a result of using in situ, aligned, current-limited anodic bonding. Sens. Actuator A 2005, 123, 106–110. [Google Scholar] [CrossRef]
- Zhang, T.; Zhou, B.; Yin, P.; Chen, Z.; Zhang, R. Optimal Design of a Center Support Quadruple Mass Gyroscope (CSQMG). Sensors 2016, 16, 613. [Google Scholar] [CrossRef] [PubMed]
- Askari, S.; Asadian, M.H.; Kakavand, K.; Shkel, A.M. Near-Navigation Grade Quad Mass Gyroscope with Q-factor Limited by Thermo-elastic Damping. In Proceedings of the Solid-State Sensors, Actuators, and Microsystems Workshop (Hilton Head 2016), Hilton Head Island, SC, USA, 5–9 June 2016. [Google Scholar]
- Prikhodko, I.P.; Nadig, S.; Gregory, J.A.; Clark, W.A.; Judy, M.W. Half-a-month stable 0.2 degree-per-hour mode-matched MEMS gyroscope. In Proceedings of the 2017 IEEE International Symposium on Inertial Sensors and Systems (INERTIAL), Kauai, HI, USA, 28–30 March 2017. [Google Scholar]
- Xia, D.; Yu, C.; Kong, L. The Development of Micromachined Gyroscope Structure and Circuitry Technology. Sensors 2014, 14, 1394–1473. [Google Scholar] [CrossRef] [PubMed]
- Challoner, A.D.; Ge, H.H.; Liu, J.Y. Boeing Disc Resonator Gyroscope. In Proceedings of the Position, Location & Navigation Symposium-plans, IEEE/ION, Monterey, CA, USA, 5–8 May 2014. [Google Scholar]
- Nitzan, S.; Ahn, C.H.; Su, T.H.; Li, M.; Horsley, D.A. Epitaxially-encapsulated polysilicon disk resonator gyroscope. In Proceedings of the IEEE International Conference on Micro Electro Mechanical Systems, Taipei, Taiwan, 20–24 January 2013; pp. 625–628. [Google Scholar]
- Senkal, D.; Askari, S.; Ahamed, M.J.; Ng, E.J.; Hong, V.; Yang, Y.; Ahn, C.H.; Kenny, T.W.; Shkel, A.M. 100K Q-factor toroidal ring gyroscope implemented in wafer-level epitaxial silicon encapsulation process. In Proceedings of the IEEE 27th International Conference on Micro Electro Mechanical Systems (MEMS), San Francisco, CA, USA, 26–28 January 2014. [Google Scholar]
- Fan, B.; Guo, S.; Cheng, M.; Yu, L.; Zhou, M.; Hu, W.; Zheng, F.; Bu, F.; Xu, D. Frequency Symmetry Comparison of Cobweb-Like Disk Resonator Gyroscope with Ring-Like Disk Resonator Gyroscope. IEEE Electron Device Lett. 2019, 40, 1515–1518. [Google Scholar] [CrossRef]
- Hao, Z.; Ayazi, F. Support loss in the radial bulk-mode vibrations of center-supported micromechanical disk resonators. Sens. Actuators A Phys. 2007, 134, 582–593. [Google Scholar] [CrossRef]
- Lifshitz, R.; Roukes, M.L. Thermoelastic Damping in Micro- and Nano-Mechanical Systems. Phys. Rev. B 2000, 61, 5600–5609. [Google Scholar] [CrossRef]
- Zhou, X.; Xiao, D.; Wu, X.; Wu, Y.; Hou, Z.; He, K.; Li, Q. Stiffness-mass decoupled silicon disk resonator for high resolution gyroscopic application with long decay time constant (8.695s). Appl. Phys. Lett. 2016, 109, 263501. [Google Scholar] [CrossRef]
- Zhou, X.; Xiao, D.; Li, Q.; Hou, Z.; Wu, X. Decaying Time Constant Enhanced MEMS Disk Resonator for High Precision Gyroscopic Application. IEEE/ASME Trans. Mechatron. 2018, 23, 452–458. [Google Scholar] [CrossRef]
- Serrano, D.E.; Zaman, M.F.; Rahafrooz, A.; Hrudey, P.; Lipka, R.; Younkin, D.; Nagpal, S.; Jafri, I.; Ayazi, F. Substrate-decoupled, bulk-acoustic wave gyroscopes: Design and evaluation of next-generation environmentally robust devices. Microsyst. Nanoeng. 2016, 2, 16015. [Google Scholar] [CrossRef] [PubMed]
- Kim, B.; Hopcroft, M.A.; Candler, R.N.; Jha, C.M.; Agarwal, M.; Melamud, R.; Chandorkar, S.A.; Yama, G.; Kenny, T.W. Temperature Dependence of Quality Factor in MEMS Resonators. J. Microelectromech. Syst. 2008, 17, 755–766. [Google Scholar] [CrossRef]
- Cao, H.; Li, H.; Kou, Z.; Shi, Y.; Tang, J. Optimization and Experimentation of Dual-Mass MEMS Gyroscope Quadrature Error Correction Methods. Sensors 2016, 16, 71. [Google Scholar] [CrossRef] [PubMed]
- Zhou, X.; Zhao, C.; Xiao, D.; Sun, J.; Seshia, A.A. Dynamic modulation of modal coupling in microelectromechanical gyroscopic ring resonators. Nat. Commun. 2019, 10, 1–9. [Google Scholar] [CrossRef] [PubMed]
- Mohammadi, M.; Kaabi, H.; Ansari-Asl, K. A novel method for finding the best excitation frequency of MEMS vibratory gyroscope. Microsys. Technol. 2018, 24, 1623–1630. [Google Scholar] [CrossRef]
- Xiao, D.; Zhou, X.; Li, Q.; Hou, Z.; Xi, X.; Wu, Y.; Wu, X. Design of a Disk Resonator Gyroscope with High Mechanical Sensitivity by Optimizing the Ring Thickness Distribution. J. Microelectromech. Syst. 2016, 25, 606–616. [Google Scholar] [CrossRef]
- Hopcroft, M.A.; Nix, W.D.; Kenny, T.W. What is the Young’s Modulus of Silicon? J. Microelectromech. Syst. 2010, 19, 229–238. [Google Scholar] [CrossRef]
- Fan, B.; Chen, A.; Hu, W.; Zheng, F.; Guo, S. Investigation of air damping in different vibrational modes of lateral-axis gyroscopes. In Proceedings of the IEEE SENSORS, Glasgow, UK, 29 October–1 November 2017. [Google Scholar]
- Taheri-Tehrani, P.; Izyumin, O.; Izyumin, I.; Ahn, C.H.; Horsley, D.A. Disk resonator gyroscope with whole-angle mode operation. In Proceedings of the IEEE International Symposium on Inertial Sensors & Systems, Hapuna Beach, HI, USA, 23–26 March 2015. [Google Scholar]
- Li, Q.; Sun, J.; Xu, Y.; Wang, P.; Xiao, D. A Novel Nonlinearity Reduction Method in Disk Resonator Gyroscopes Based on Thevibration Amplification Effect. In Proceedings of the 20th International Conference on Solid-State Sensors, Actuators and Microsystems & Eurosensors XXXIII (TRANSDUCERS & EUROSENSORS XXXIII), Berlin, Germany, 23–27 June 2019. [Google Scholar]
- Ahn, C.H.; Ng, E.J.; Hong, V.A.; Yang, Y.; Lee, B.J.; Flader, I.; Kenny, T.W. Mode-Matching of Wineglass Mode Disk Resonator Gyroscope in (100) Single Crystal Silicon. J. Microelectromech. Syst. 2015, 24, 343–350. [Google Scholar] [CrossRef]











| No. | Maxi. Radius (mm) | Rings Width (μm) | Spoke Width (μm) | The Gap Width between Rings (μm) |
|---|---|---|---|---|
| CA-1 | 2.5 | 12 | 12 | 3.5 |
| CA-2 | 2.5 | 12 | 12 | 7 |
| CA-3 | 2.5 | 12 | 24 | 3.5 |
| CA-4 | 2.5 | 10.5 | 10.5 | 3.5 |
| No. | Frequency (Hz) | Q-Factor | Resonant Modal Shapes |
|---|---|---|---|
| 1 | 17,540 | 4.2694 × 105 | 2θ Mode |
| 2 | 17,540 | 4.2694 × 105 | 2θ Mode |
| 3 | 30,312 | 1.6208 × 104 | “Tub” shape |
| 4 | 33,180 | 2.5858 × 105 | 1θ Mode |
| 5 | 33,180 | 2.5843 × 105 | 1θ Mode |
| 6 | 33,999 | 3.6553 × 105 | 3θ Mode |
Publisher’s Note: MDPI stays neutral with regard to jurisdictional claims in published maps and institutional affiliations. |
© 2020 by the authors. Licensee MDPI, Basel, Switzerland. This article is an open access article distributed under the terms and conditions of the Creative Commons Attribution (CC BY) license (http://creativecommons.org/licenses/by/4.0/).
Share and Cite
Jiang, B.; Su, Y.; Liu, G.; Zhang, L.; Liu, F. A High Q-Factor Outer-Frame-Anchor Gyroscope Operating at First Resonant Mode. Micromachines 2020, 11, 1071. https://doi.org/10.3390/mi11121071
Jiang B, Su Y, Liu G, Zhang L, Liu F. A High Q-Factor Outer-Frame-Anchor Gyroscope Operating at First Resonant Mode. Micromachines. 2020; 11(12):1071. https://doi.org/10.3390/mi11121071
Chicago/Turabian StyleJiang, Bo, Yan Su, Guowen Liu, Lemin Zhang, and Fumin Liu. 2020. "A High Q-Factor Outer-Frame-Anchor Gyroscope Operating at First Resonant Mode" Micromachines 11, no. 12: 1071. https://doi.org/10.3390/mi11121071
APA StyleJiang, B., Su, Y., Liu, G., Zhang, L., & Liu, F. (2020). A High Q-Factor Outer-Frame-Anchor Gyroscope Operating at First Resonant Mode. Micromachines, 11(12), 1071. https://doi.org/10.3390/mi11121071
