Epitaxy of III-Nitrides on β-Ga2O3 and Its Vertical Structure LEDs
Abstract
1. Introduction
2. Properties and Growth Method of Bulk β-Ga2O3
2.1. Structure and Properties
2.2. Growth Methods
2.3. Conductivity Control and Doping
2.3.1. N-Type β-Ga2O3
2.3.2. P-Type β-Ga2O3
3. Epitaxial Relationship between III-Nitrides and β-Ga2O3
4. Epitaxy of GaN on β-Ga2O3
4.1. Influences of Atmosphere
4.2. Orientations of β-Ga2O3 for Epitaxy
4.3. Ga2O3 Sacrificial Layer
5. Epitaxy of AlGaN on β-Ga2O3
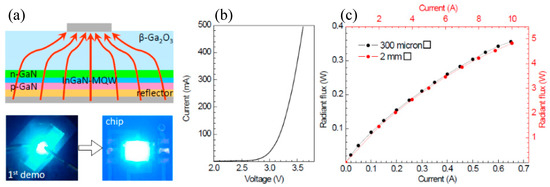
6. Vertical Structure LED
7. Conclusions
Author Contributions
Funding
Conflicts of Interest
References
- Kneissl, M.; Kolbe, T.; Chua, C.; Kueller, V.; Weyers, M. Advances in group III-nitride-based deep UV light-emitting diode technology. J. Semicond. 2010, 26, 014036. [Google Scholar] [CrossRef]
- Neufeld, C.J.; Toledo, N.G.; Cruz, S.C.; Iza, M.; Denbaars, S.P.; Mishra, U.K. High quantum efficiency InGaN/GaN solar cells with 2.95 eV band gap. Appl. Phys. Lett. 2008, 93, 143502–143503. [Google Scholar] [CrossRef]
- Mishra, U.K.; Likun, S.; Kazior, T.E.; Wu, Y.F. GaN-Based RF Power Devices and Amplifiers. Proc. IEEE 2008, 96, 287–305. [Google Scholar] [CrossRef]
- Jain, S.C.; Willander, M.; Narayan, J.; Overstraeten, R.V. III−nitrides: Growth, Characterization, and Properties. J. Appl. Phys. 2000, 87, 965–1006. [Google Scholar] [CrossRef]
- Nakamura, S.; Pearton, S.; Fasol, G. The Blue Laser Diode: The Complete Story; Springer: Berlin, Germany, 2013; pp. 1–28. [Google Scholar]
- Reverchon, J.L.; Mosca, M.; Grandjean, N.; Omnes, F.; Duboz, J.Y. High performance solar blind detectors based on AlGaN grown by MBE and MOCVD. Mrs. Proc. 2003, 798, Y1.10. [Google Scholar]
- Mukai, T. P-GaN/n-InGaN/n-GaN double-heterostructure blue-light-emitting diodes. J. Cryst. Growth. 1994, 145, 911–917. [Google Scholar]
- Narukawa, Y.; Ichikawa, M.; Sanga, D.; Sano, M.; Mukai, T. White light emitting diodes with super-high luminous efficacy. J. Phys. D. Appl. Phys. 2010, 43, 354002. [Google Scholar] [CrossRef]
- Hockberger, P.E. A history of ultraviolet photobiology for humans, animals and microorganisms. Photochem. Photobiol. 2002, 76, 561–579. [Google Scholar] [CrossRef]
- Schreiner, M.; Martinez-Abaigar, J.; Glaab, J.; Jansen, M. UVB induced secondary plant metabolites. Optik Photonik. 2014, 9, 34–37. [Google Scholar] [CrossRef]
- Vilhunen, S.; Särkkä, H.; Sillanpää, M. Ultraviolet light-emitting diodes in water disinfection. Environ. Sci. Pollut. Res. 2009, 16, 439–442. [Google Scholar] [CrossRef]
- Banas, M.A.; Crawford, M.H.; Ruby, D.S.; Ross, M.P.; Nelson, J.S.; Allerman, A.A. Final LDRD Report: Ultraviolet Water Purification Systems for Rural Environments and Mobile Applications. 2005. Available online: https://prod-ng.sandia.gov/techlib-noauth/access-control.cgi/2005/057245.pdf (accessed on 7 May 2019).
- Song, K.; Mohseni, M.; Taghipour, F. Application of GaN-based deep ultraviolet light emitting diodes (UV LEDs) for Water disinfection. Water Res. 2016, 94, 341–349. [Google Scholar] [CrossRef] [PubMed]
- Kowalski, W. Ultraviolet Germicidal Irradiation Handbook; Springer: Berlin/Heidelberg, Germany, 2009. [Google Scholar]
- Lui, G.Y.; Roser, D.; Corkish, R.; Ashbolt, N.; Jagals, P.; Stuetz, R. Photovoltaic powered ultraviolet and visible light-emitting diodes for sustainable point-of-use disinfection of drinking waters. Sci. Total. Environ. 2014, 493, 185. [Google Scholar] [CrossRef] [PubMed]
- Mellqvist, J.A.; Rosen, A. DOAS for flue gas monitoring-temperature effects in the UV/visible absorption spectra of NO, NO2, SO2, and NH3. J. Quant. Spectrosc. Radiat. Transf. 1996, 56, 187–208. [Google Scholar] [CrossRef]
- UV-LED Market to Grow From $90 m to $520 m in 2019. Available online: http://www.semiconductor-today.com/features/PDF/semiconductor-today_february2015-UV-LED.pdf (accessed on 7 May 2019).
- Taniyasu, Y.; Kasu, M.; Makimoto, T. An aluminium nitride light-emitting diode with a wavelength of 210 nanometres. Nature 2006, 441, 325–328. [Google Scholar] [CrossRef]
- Hirayama, H.; Maeda, N.; Fujikawa, S. Recent progress and future prospects of AlGaN-based high-efficiency deep-ultraviolet light-emitting diodes. Jpn. J. Appl. Phys. 2014, 53, 100209. [Google Scholar] [CrossRef]
- Chang, H.L.; Chen, Z.L.; Li, W.J.; Yan, J.C.; Hou, R.; Yang, S.Y.; Liu, Z.Q.; Yuan, G.D.; Wang, J.X.; Li, J.M.; Gao, P.; Wei, T.B. Graphene-assisted quasi-van der Waals epitaxy of AlN film for ultraviolet light emitting diodes on nano-patterned sapphire substrate. Appl. Phys. Lett. 2019, 114, 091107. [Google Scholar] [CrossRef]
- Crawford, M.H. LEDs for solid-state lighting: Performance challenges and recent advances. IEEE J. Sel. Top. Quant. 2009, 15, 1028–1040. [Google Scholar] [CrossRef]
- Laubsch, A.; Sabathil, M.; Baur, J.; Peter, M.; Hahn, B. High-power and high-efficiency InGaN-based light emitters. IEEE T. Electron. Dev. 2010, 57, 79–87. [Google Scholar] [CrossRef]
- Keppens, A.; Ryckaert, W.R.; Deconinck, G.; Hanselaer, P. High power light-emitting diode junction temperature determination from current-voltage characteristics. J. Appl. Phys. 2008, 104, 093104–093108. [Google Scholar] [CrossRef]
- Shen, Y.C.; Mueller, G.O.; Watanabe, S.; Gardner, N.F.; Krames, M.R. Auger recombination in InGaN measured by photoluminescence. Appl. Phys. Lett. 2007, 91, 141101–141103. [Google Scholar] [CrossRef]
- Wei, T.B.; Ji, X.L.; Wu, K.; Zheng, H.Y.; Du, C.X.; Chen, Y.; Yan, Q.F.; Zhao, L.X.; Zhou, Z.C.; Wang, J.X.; Li, J.M. Efficiency improvement and droop behavior in nanospherical-lens lithographically patterned bottom and top photonic crystal InGaN/GaN light-emitting diodes. Opt. Lett. 2014, 39, 379–382. [Google Scholar] [CrossRef]
- Vampola, K.J.; Iza, M.; Keller, S.; Denbaars, S.P.; Nakamura, S. Measurement of electron overflow in 450 nm InGaN light-emitting diode structures. Appl. Phys. Lett. 2009, 94, 1081. [Google Scholar] [CrossRef]
- Monemar, B.; Sernelius, B.E. Defect related issues in the “current roll-off” in InGaN based light emitting diodes. Appl. Phys. Lett. 2007, 91, 181103. [Google Scholar] [CrossRef]
- Ni, X.; Fan, Q.; Shimada, R.; Oezguer, U.; Morkoc, H. Reduction of efficiency droop in InGaN light emitting diodes by coupled quantum wells. Appl. Phys. Lett. 2008, 93, 171113. [Google Scholar] [CrossRef]
- Kudryk, Y.Y.; Zinovchuk, A.V. Efficiency droop in InGaN/GaN multiple quantum well light-emitting diodes with nonuniform current spreading. Semicond. Sci. Technol. 2011, 26, 095007. [Google Scholar] [CrossRef]
- Sugahara, T.; Sato, H.; Hao, M.; Naoi, Y.; Kurai, S.; Tottori, S. Direct Evidence that Dislocations are Non-Radiative, Recombination Centers in GaN. Jpn. J. Appl. Phys. 1998, 37, L398–L400. [Google Scholar] [CrossRef]
- Speck, J.S.; Rosner, S.J. The role of threading dislocations in the physical properties of GaN and its alloys. Mater. Sci. Forum. 1999, 353–356, 769–778. [Google Scholar] [CrossRef]
- Wan, Z.; He, Y.; Choi, C.; Suh, E.; Yu, Y.M.; Yi, S.N. Microstructural analysis of InGaN/GaN epitaxial layers of metal organic chemical vapor deposition on c-plane of convex patterned sapphire substrate. Thin Solid Films 2013, 546, 104–107. [Google Scholar] [CrossRef]
- Song, J.C.; Kang, D.H.; Shim, B.Y.; Ko, E.A.; Kim, D.W.; Santhakumar, K. Characteristics comparison between GaN epilayers grown on patterned and unpatterned sapphire substrate (0 0 0 1). Adv. Mater. Res. 2007, 29–30, 355–358. [Google Scholar] [CrossRef]
- Bennett, S.E. Dislocations and their reduction in GaN. Metal Sci. J. 2013, 26, 1017–1028. [Google Scholar] [CrossRef]
- Mendes, M.; Fu, J.; Porneala, C. Lasers in the manufacturing of LEDs. In Proceedings of the Laser Applications in Microelectronic and Optoelectronic Manufacturing XV, San Francisco, CA, USA, 17 February 2010. [Google Scholar]
- Doan, T.; Ferguson, I.T.; Narendran, N.; Tran, C.; Chu, C. Vertical GaN based light emitting diodes on metal alloy substrate boosts high power LED performance. Proc. SPIE 2007, 6669, 666903. [Google Scholar]
- Cao, X.A.; Arthur, S.D. High-power and reliable operation of vertical light-emitting diodes on bulk GaN. Appl. Phys. Lett. 2004, 85, 3971–3973. [Google Scholar] [CrossRef]
- Doan, T.; Streubel, K.P.; Yao, H.W.; Chu, C.; Chen, C.; Schubert, E.F. Vertical GaN based light emitting diodes on metal alloy substrate for solid state lighting application. Proc. SPIE 2006, 6134, 61340G. [Google Scholar]
- Li, C.K.; Wu, Y.R. Study on the current spreading effect and light extraction enhancement of vertical GaN/InGaN LEDs. IEEE T. Electron Dev. 2012, 59, 400–407. [Google Scholar] [CrossRef]
- Wong, W.S.; Sands, T.; Cheung, N.W.; Kneissl, M.; Bour, D.P.; Mei, P. Fabrication of thin-film InGaN light-emitting diode membranes by laser lift-off. Appl. Phys. Lett. 1999, 75, 1360–1362. [Google Scholar] [CrossRef]
- Stach, E.A.; Kelsch, M.; Nelson, E.C.; Wong, W.S.; Sands, T.; Cheung, N.W. Structural and chemical characterization of free-standing GaN films separated from sapphire substrates by laser lift-off. Appl. Phys. Lett. 2000, 77, 1819–1821. [Google Scholar] [CrossRef]
- Wu, Y.S.; Cheng, J.H.; Peng, W.C.; Ouyang, H. Effects of laser sources on the reverse-bias leakages of laser lift-off GaN-based light-emitting diodes. Appl. Phys. Lett. 2007, 90, 251110. [Google Scholar] [CrossRef]
- Fujii, K.; Lee, S.; Ha, J.S.; Lee, H.J.; Lee, H.J.; Lee, S.H. Leakage current improvement of nitride-based light emitting diodes using CrN buffer layer and its vertical type application by chemical lift-off process. Appl. Phys. Lett. 2009, 94, 722–747. [Google Scholar]
- Horng, R.H.; Pan, C.T.; Tsai, T.Y.; Wuu, D.S. Transferring Thin Film GaN LED Epi-Structure to the Cu Substrate by Chemical Lift-Off Technology. Electrochem. Solid-State Lett. 2011, 14, H281. [Google Scholar] [CrossRef]
- Víllora, E.G.; Shimamura, K.; Kitamura, K.; Aoki, K.; Ujiie, T. Epitaxial relationship between wurtzite GaN and β-Ga2O3. Appl. Phys. Lett. 2007, 90, 234102. [Google Scholar] [CrossRef]
- Wei, T.B.; Yang, J.K.; Wei, Y.; Huo, Z.Q.; Ji, X.L.; Zhang, Y. Cross-stacked carbon nanotubes assisted self-separation of free-standing GaN substrates by hydride vapor phase epitaxy. Sci. Rep. 2016, 6, 28620. [Google Scholar] [CrossRef] [PubMed]
- Rogers, D.J.; Hosseini Teherani, F.; Ougazzaden, A.; Gautier, S.; Divay, L.; Lusson, A. Use of ZnO thin films as sacrificial templates for metal organic vapor phase epitaxy and chemical lift-off of GaN. Appl. Phys. Lett. 2007, 91, 71120. [Google Scholar] [CrossRef]
- Liu, H.F.; Liu, W.; Chua, S.J. Epitaxial growth and chemical lift-off of GaInN/GaN heterostructures on c- and r-sapphire substrates employing ZnO sacrificial templates. J. Vac. Sci. Technol. A 2010, 28, 590–594. [Google Scholar] [CrossRef]
- Chen, W.C.; Tang, H.-L.; Luo, P.; Ma, W.-W.; Xu, X.-D.; Qian, X.-B.; Jiang, D.-P.; Wu, F.; Wang, J.-Y.; Xu, J. Research progress of substrate materials used for GaN-Based light emitting diodes. Acta Phys. Sin. 2014, 63, 68103. [Google Scholar]
- Wang, J.; Yan, J.; Guo, Y.; Zhang, Y.; Li, J. Recent progress of research on III-nitride deep ultraviolet light-emitting diode. Scientia Sinica. 2015, 45, 067303. [Google Scholar] [CrossRef]
- Ponce, F.A.; Krusor, B.S.; Jr, J.S.M.; Plano, W.E.; Welch, D.F. Microstructure of GaN epitaxy on SiC using AlN buffer layers. Appl. Phys. Lett. 1995, 67, 410–412. [Google Scholar] [CrossRef]
- Higashiwaki, M.; Sasaki, K.; Kuramata, A. Gallium oxide (Ga2O3) metal-semiconductor field-effect transistors on single-crystal β-Ga2O3 (010) substrates. Appl. Phys. Lett. 2012, 100, 013504. [Google Scholar] [CrossRef]
- Lu, X.; Zhou, L.; Chen, L.; Ouyang, X.; Liu, B.; Xu, J. Schottky x-ray detectors based on a bulk β-Ga2O3 substrate. Appl. Phys. Lett. 2018, 112, 103502. [Google Scholar] [CrossRef]
- Feng, P.; Zhang, J.Y.; Li, Q.H.; Wang, T.H. Individual β-Ga2O3 nanowires as solar-blind photodetectors. Appl. Phys. Lett. 2006, 88, 153107. [Google Scholar] [CrossRef]
- Verma, A.; Jena, D. Vertical Schottky barrier diodes fabricated on un-intentionally doped and Sn-doped (−201) bulk β-Ga2O3 substrates. In Proceedings of the Compound Semiconductor Week, Toyama, Japan, 26–30 June 2016. [Google Scholar]
- Wu, Z.; Bai, G.; Qu, Y.; Guo, D.; Tang, W. Deep ultraviolet photoconductive and near-infrared luminescence properties of Er3+-doped β-Ga2O3 thin films. Appl. Phys. Lett. 2016, 108, 211903. [Google Scholar] [CrossRef]
- Chen, Z.W.; Wang, X.; Noda, S.; Saito, K. Effects of dopant contents on structural, morphological and optical properties of Er doped Ga2O3 films. Superlattice. Microst. 2016, 90, 207–214. [Google Scholar] [CrossRef]
- Chen, Z.; Saito, K.; Tanaka, T.; Guo, Q. Efficient pure green emission from Er-doped Ga2O3 films. CrystEngComm. 2017, 19, 4448. [Google Scholar] [CrossRef]
- Iguchi, S.; Hasegawa, Y.; Teramura, K.; Kidera, S.; Kikkawa, S.; Hosokawa, S. Drastic improvement in the photocatalytic activity of Ga2O3 modified with Mg–Al layered double hydroxide for the conversion of CO2 in water. Sustain. Energ. Fuels. 2017, 1, 1740. [Google Scholar] [CrossRef]
- Chen, Z.; Saito, K.; Tanaka, T.; Guo, Q. Effects of Zn2+ and Pb2+ dopants on the activity of Ga2O3-based photocatalysts for water splitting. Phys. Chem. Chem. Phys. 2013, 15, 19380. [Google Scholar]
- Zhang, W.; Naidu, B.S.; Ou, J.Z.; O’Mullane, A.P.; Chrimes, A.F.; Carey, B.J.; Wang, Y.; Tang, S.Y. Liquid metal/metal oxide frameworks with incorporated Ga2O3 for photocatalysis. ACS Appl. Mater. Inter. 2015, 7, 1943–1948. [Google Scholar] [CrossRef]
- Pearton, S.J.; Yang, J.; Cary, P.H.; Ren, F.; Kim, J.; Tadjer, M.J.; Mastro, M.A. A review of Ga2O3 materials, processing, and devices. Appl. Phys. Rev. 2018, 5, 011301. [Google Scholar] [CrossRef]
- Roy, R.; Hill, V.G.; Osborn, E.F. Polymorphism of Ga2O3, and the system Ga2O3-H2O. J. Am. Chem. Soc. 1952, 74, 719–722. [Google Scholar] [CrossRef]
- Encarnación, G.V.; Stelian, A.; Kiyoshi, S.; Daisuke, I.; Kazuo, A. β-Ga2O3 and single-crystal phosphors for high-brightness white LEDs and LDs, and β-Ga2O3 potential for next generation of power devices. In Proceedings of the SPIE 8987, Oxide-based Materials and Devices V, San Francisco, CA, USA, 8 March 2014. [Google Scholar]
- Playford, H.Y.; Hannon, A.C.; Barney, E.R.; Walton, R.I. Structures of uncharacterised polymorphs of gallium oxide from total neutron diffraction. Chem. Eur. J. 2013, 19, 2803–2813. [Google Scholar] [CrossRef]
- Geller, S. Crystal Structure of β-Ga2O3. J. Chem. Phys. 1960, 33, 676–684. [Google Scholar] [CrossRef]
- Tippins, H.H. Optical Absorption and Photoconductivity in the Band Edge of β-Ga2O3. Phys. Rev. D 1965, 140, 316–319. [Google Scholar] [CrossRef]
- Stepanov, S.I.; Nikolaev, V.I.; Bougrov, V.E.; Romanov, A.E. Gallium oxide: Properties and applications—A review. Rev. Adv. Mater. Sci. 2016, 44, 63–86. [Google Scholar]
- Ueda, N.; Hosono, H.; Waseda, R.; Kawazoe, H. Synthesis and control of conductivity of ultraviolet transmitting β-Ga2O3 single crystals. Appl. Phys. Lett. 1997, 70, 3561–3563. [Google Scholar] [CrossRef]
- Chase, A.O. Growth of β-Ga2O3 by the verneuil technique. J. Am. Ceram. Soc. 2006, 47, 470. [Google Scholar] [CrossRef]
- Lorenz, M.R.; Woods, J.F.; Gambino, R.J. Some electrical properties of the semiconductor β-Ga2O3. J. Phys. Chem. Solids 1967, 28, 403. [Google Scholar] [CrossRef]
- Víllora, E.G.; Shimamura, K.; Yoshikawa, Y. Large-size β-Ga2O3 single crystals and wafers. J. Cryst. Growth 2004, 270, 420–426. [Google Scholar] [CrossRef]
- Zhang, J.; Li, B.; Xia, C.; Pei, G.; Deng, Q.; Yang, Z. Growth and spectral characterization of β-Ga2O3 single crystals. J. Phys. Chem. Solids 2006, 67, 2448–2451. [Google Scholar] [CrossRef]
- Hoshikawa, K.; Ohba, E.; Kobayashi, T.; Yanagisawa, J.; Miyagawa, C.; Nakamura, Y. Growth of β-Ga2O3 single crystals using vertical Bridgman method in ambient air. J. Cryst. Growth 2016, 447, 36–41. [Google Scholar] [CrossRef]
- Ohba, E.; Kobayashi, T.; Kado, M. Defect characterization of β-Ga2O3 single crystals grown by vertical Bridgman method. Jpn. J. Appl. Phys. 2016, 55, 1202BF. [Google Scholar] [CrossRef]
- Tomm, Y.; Reiche, P.; Klimm, D.; Fukuda, T. Czochralski grown Ga2O3 crystals. J. Cryst. Growth 2000, 220, 510–514. [Google Scholar] [CrossRef]
- Galazka, Z.; Irmscher, K.; Uecker, R.; Bertram, R.; Pietsch, M.; Kwasniewski, A. On the bulk β-Ga2O3 single crystals grown by the Czochralski method. J. Cryst. Growth 2014, 404, 184–191. [Google Scholar] [CrossRef]
- Kuramata, A.; Koshi, K.; Watanabe, S.; Yamaoka, Y.; Masui, T.; Yamakoshi, S. High-quality β-Ga2O3 single crystals grown by edge-defined film-fed growth. Jpn. J. Appl. Phys. 2016, 55, 1202A. [Google Scholar] [CrossRef]
- Kuramata, A.; Koshi, K.; Watanabe, S.; Yamaoka, Y.; Yamakoshi, S. Bulk crystal growth of Ga2O3. Proc. SPIE Oxid. Mater. Devices IX 2018, 10533, 105330E. [Google Scholar]
- Zhang, S.N.; Lian, X.Z.; Ma, Y.C. Growth and characterization of 2-inch high quality β-Ga2O3 single crystals grown by EFG method. J. Semicond. 2018, 39, 083003. [Google Scholar] [CrossRef]
- Harwig, T.; Wubs, G.J.; Dirksen, G.J. Electrical properties of β-Ga2O3 single crystals. Solid State Commun. 1976, 18, 1223–1225. [Google Scholar] [CrossRef]
- Tomm, Y.; Ko, J.M.; Yoshikawa, A.; Fukuda, T. Floating zone growth of beta-Ga2O3: a new window material for optoelectronic device applications. Sol. Energy Mater. Sol. Cells 2001, 66, 369–374. [Google Scholar] [CrossRef]
- Galazka, Z.; Ganschow, S.; Fiedler, A.; Bertram, R.; Klimm, D.; Irmscher, K.; Schewski, R.; Pietsch, M.; Albrecht, M.; Bickermann, M. Doping of Czochralski-grown bulk β-Ga2O3, single crystals with Cr, Ce and Al. J. Cryst. Growth 2018, 486, 82–90. [Google Scholar] [CrossRef]
- Aida, H.; Nishiguchi, K.; Takeda, H. Growth of β-Ga2O3 single crystals by the Edge-Defined Film Fed growth method. Jpn. J. Appl. Phys. 2008, 47, 8506. [Google Scholar] [CrossRef]
- Mu, W.; Jia, Z.; Yin, Y.; Hu, Q.; Li, Y.; Wu, B.; Tao, X. High quality crystal growth and anisotropic physical characterization of β-Ga2O3 single crystals grown by EFG method. J. Alloy. Compd. 2017, 714, 453–458. [Google Scholar] [CrossRef]
- Varley, J.B.; Weber, J.R.; Janotti, A.; Van de Walle, C.G. Oxygen vacancies and donor impurities in β-Ga2O3. Appl. Phys. Lett. 2010, 97, 3561. [Google Scholar] [CrossRef]
- Oshima, T.; Kaminaga, K.; Mukai, A.; Sasaki, K.; Masui, T.; Kuramata, A. Formation of semi-insulating layers on semiconducting β-Ga2O3 single crystals by thermal oxidation. Jpn. J. Appl. Phys. 2013, 52, 051101. [Google Scholar] [CrossRef]
- Ahmadi, E.; Koksaldi, O.S.; Kaun, S.W.; Oshima, Y.; Short, D.B.; Mishra, U.K.; Speck, J.S. Ge doping of β-Ga2O3 films grown by plasma-assisted molecular beam epitaxy. Appl. Phys. Express. 2017, 10, 041102. [Google Scholar] [CrossRef]
- Baldini, M.; Albrecht, M.; Fiedler, A.; Irmscher, K.; Schewski, R.; Wagner, G. Editors’ choice—Si- and Sn-doped homoepitaxial β-Ga2O3 layers grown by movpe on (010)-oriented substrates. ECS J. Solid. State. Sci. Technol. 2017, 6, Q3040–Q3044. [Google Scholar] [CrossRef]
- Suzuki, N.; Ohira, S.; Tanaka, M.; Sugawara, T.; Shishido, T. Fabrication and characterization of transparent conductive Sn-doped β-Ga2O3 single crystal. Phys. Stat. Sol. C 2007, 4, 2310–2313. [Google Scholar] [CrossRef]
- Víllora, E.G.; Shimamura, K.; Yoshikawa, Y.; Ujiie, T.; Aoki, K. Electrical conductivity and carrier concentration control in β-Ga2O3 by Si doping. Appl. Phys. Lett. 2008, 92, A316. [Google Scholar] [CrossRef]
- Sasaki, K.; Higashiwaki, M.; Kuramata, A.; Masui, T.; Yamakoshi, S. Si-ion implantation doping in β-Ga2O3 and its application to fabrication of low-resistance Ohmic contacts. Appl. Phys. Express 2013, 6, 086502. [Google Scholar] [CrossRef]
- Zhou, W.; Xia, C.; Sai, Q. Controlling n-type conductivity of β-Ga2O3 by Nb doping. Appl. Phys. Lett. 2017, 111, 242103. [Google Scholar] [CrossRef]
- Mastro, M.A.; Kuramata, A.; Calkins, J.; Kim, J.; Ren, F.; Pearton, S.J. Perspective—Opportunities and Future Directions for Ga2O3. ECS J. Solid State Sci. Technol. 2017, 6, 356–359. [Google Scholar] [CrossRef]
- Onuma, T.; Fujioka, S.; Yamaguchi, T.; Higashiwaki, M.; Sasaki, K.; Masui, T. Correlation between blue luminescence intensity and resistivity in β-Ga2O3 single crystals. Appl. Phys. Lett. 2013, 103, 041910. [Google Scholar] [CrossRef]
- Chang, P.C.; Fan, Z.; Tseng, W.Y.; Rajagopal, A.; Lu, J.G. β-Ga2O3 nanowires: synthesis, characterization, and p-channel field-effect transistor. Appl. Phys. Lett. 2005, 87, 222102. [Google Scholar] [CrossRef]
- Liu, L.L.; Li, M.K.; Yu, D.Q.; Zhang, J.; Zhang, H.; Qian, C. Fabrication and characteristics of N-doped β-Ga2O3 nanowires. Appl. Phys. A 2010, 98, 831–835. [Google Scholar] [CrossRef]
- Víllora, E.G.; Shimamura, K.; Aoki, K. Molecular beam epitaxy of c -plane wurtzite GaN on nitridized a –plane β-Ga2O3. Thin Solid Films 2006, 500, 209–213. [Google Scholar] [CrossRef]
- Shimamura, K.; Víllora, E.G.; Domen, K.; Yui, K.; Aoki, K.; Ichinose, N. Epitaxial Growth of GaN on (1 0 0) β-Ga2O3 Substrates by Metalorganic Vapor Phase Epitaxy. Jpn. J Appl. Phys. 2005, 44, L7–L8. [Google Scholar] [CrossRef]
- Muhammed, M.M.; Peres, M.; Yamashita, Y.; Morishima, Y.; Sato, S.; Franco, N. High optical and structural quality of GaN epilayers grown on (−2 0 1) β-Ga2O3. Appl. Phys. Lett. 2014, 105, 457–459. [Google Scholar] [CrossRef]
- Roqan, I.S. (−2 0 1) β-Gallium oxide substrate for high quality GaN materials. Proc SPIE 2015, 9364, 93641K. [Google Scholar]
- Muhammed, M.M.; Alwadai, N.; Lopatin, S. High-Efficiency InGaN/GaN Quantum Well-Based Vertical Light-Emitting Diodes Fabricated on β-Ga2O3 Substrate. ACS Appl. Mater. Inter. 2017, 9, 34057–34063. [Google Scholar] [CrossRef]
- Muhammed, M.M.; Peres, M.; Yamashita, Y.; Morishima, Y.; Sato, S.; Franco, N. High-quality III-nitride films on conductive, transparent (−2 0 1)-oriented β-Ga2O3 using a GaN buffer layer. Sci. Rep. 2016, 6, 29747. [Google Scholar] [CrossRef]
- Ohira, S.; Suzuki, N.; Minami, H.; Takahashi, K.; Araki, T.; Nanishi, Y. Growth of hexagonal GaN films on the nitridated β-Ga2O3 substrates using RF-MBE. Phys. Stat. Sol. 2011, 4, 2306–2309. [Google Scholar]
- Kachel, K.; Korytov, M.; Gogova, D. A new approach to free-standing GaN using β-Ga2O3 as a substrate. Cryst. Eng. Comm. 2012, 14, 8536–8540. [Google Scholar] [CrossRef]
- Tsai, T.Y.; Horng, R.H.; Wuu, D.S.; Ou, S.L.; Hung, M.T.; Hsueh, H.H. GaN Epilayer Grown on Ga2O3 Sacrificial Layer for Chemical Lift-Off Application. Electrochem. Solid. ST. 2011, 14, H434–H437. [Google Scholar] [CrossRef]
- Tsai, T.Y.; Ou, S.L.; Hung, M.T.; Wuu, D.S.; Horng, R.H. MOCVD growth of GaN on sapphire using a Ga2O3 interlayer. J. Electrochem. Soc. 2011, 158, H1172–H1178. [Google Scholar] [CrossRef]
- Li, D.; Hoffmann, V.; Richter, E.; Tessaro, T.; Galazka, Z.; Weyers, M.; Tränkle, G. MOVPE growth of violet GaN LEDs on β-Ga2O3 substrates. J. Cryst. Growth 2017, 478, 212–215. [Google Scholar] [CrossRef]
- Cho, Y.S.; Hardtdegen, H.; Kaluz, N.; Veit, P.; Heidelberger, G.; Thillosen, N.; Steins, R.; Lüth, H.; Christen, J. Systematic study on the growth mechanism of GaN/sapphire epilayers grown with different H2 and N2 carrier gas. In Proceedings of the 13th International Conference on Metal Organic Vapor Phase Epitaxy, Miyazaki, Japan, 22–26 May 2006. [Google Scholar]
- Bottcher, T.; Einfeldt, S.; Figge, S.; Chierchia, R.; Heinke, H.; Hommel, D. The role of high-temperature island coalescence in the development of stresses in GaN films. Appl. Phys. Lett. 2001, 78, 1976–1978. [Google Scholar] [CrossRef]
- Ito, S.; Takeda, K.; Nagata, K.; Aoshima, H.; Takehara, K.; Iwaya, M. Growth of GaN and AlGaN on (100) β-Ga2O3 substrates. Phys. Stat. Sol. 2012, 9, 519–522. [Google Scholar] [CrossRef]
- Liu, P.L.; Siao, Y.J.; Wu, Y.T.; Wang, C.H.; Chen, C.S. Structural, electronic and energetic properties of GaN[0 0 0 1]/Ga2O3[1 0 0] heterojunctions: A first-principles density functional theory study. Scr. Mater. 2011, 65, 465–468. [Google Scholar] [CrossRef]
- Zhang, X.; Wei, T.B.; Ren, K.K.; Xiong, Z.; Li, W.J.; Yang, C.; Zhang, L.; Wang, J.X. High Quality GaN Epitaxial Growth on β-Ga2O3 Substrate enabled by Self-assembled SiO2 Nanospheres. J. Cryst. Growth. (Submitted).
- Park, J.; Song, K.M.; Jeon, S.R.; Baek, J.H.; Ryu, S.W. Doping selective lateral electrochemical etching of GaN for chemical lift-off. Appl. Phys. Lett. 2009, 94, 221907. [Google Scholar] [CrossRef]
- Lin, C.F.; Dai, J.J.; Wang, G.M.; Lin, M.S. Chemical lift-off process for blue light-emitting diodes. Appl. Phys. Express 2010, 3, 2101. [Google Scholar] [CrossRef]
- Lin, C.F.; Dai, J.J.; Lin, M.S.; Chen, K.T.; Huang, W.C.; Lin, C.M. An AlN sacrificial buffer layer inserted into the GaN/patterned sapphire substrate for a chemical lift-off process. Appl. Phys. Express 2014, 3, 031001. [Google Scholar] [CrossRef]
- Horng, R.H.; Hsueh, H.H.; Ou, S.L.; Tsai, C.T.; Tsai, T.Y.; Wuu, D.S. Chemical lift-off process for nitride LEDs from an Eco-GaN template using an AlN/strip-patterned-SiO2 sacrificial layer. Phys. Stat. Sol. 2017, 214, 1600657. [Google Scholar] [CrossRef]
- Horng, R.H.; Tsai, T.Y.; Yen, C.Y.; Hung, M.T.; Pan, C.T.; Wuu, D.S. Novel approaches to realizing chemical lift-off of GaN epilayer from sapphire substrate. Proc. SPIE 2011, 7954, 795417. [Google Scholar]
- Horng, R.H.; Wuu, D.S.; Hsueh, H.H. Study on GaN epilayer transferring to Cu substrate from sapphire substrate using Ga2O3 sacrificial layer. Proc. SPIE Int. Soc. Opt. Eng. 2012, 8278, 14. [Google Scholar]
- Hsueh, H.H.; Ou, S.L.; Wuu, D.S.; Horng, R.H. InGaN LED fabricated on Eco-GaN template with a Ga2O3 sacrificial layer for chemical lift-off application. Vacuum 2015, 118, 8–12. [Google Scholar] [CrossRef]
- Ajia, I.A.; Yamashita, Y.; Lorenz, K.; Muhammed, M.M.; Spasevski, L.; Almalawi, D. GaN/AlGaN multiple quantum wells grown on transparent and conductive (−201)-oriented β-Ga2O3 substrate for UV vertical light emitting devices. Appl. Phys. Lett. 2018, 113, 082102. [Google Scholar] [CrossRef]
- Smalc-Koziorowska, J.; Grzanka, E.; Czernecki, R.; Schiavon, D.; Mike, L. Elimination of trench defects and v-pits from InGaN/GaN structures. Appl. Phys. Lett. 2015, 106, 101905. [Google Scholar] [CrossRef]
- Massabuau, C.P.; Tartan, C.C.; Traynier, R.; Blenkhorn, W.E.; Kappers, M.J.; Dawson, P. The impact of substrate miscut on the microstructure and photoluminescence efficiency of (0001) InGaN quantum wells grown by a two-temperature method. J. Cryst. Growth 2014, 386, 88–93. [Google Scholar] [CrossRef]
- Wang, S.J.; Uang, K.M.; Chen, S.L.; Yang, Y.C.; Chang, S.C.; Chen, T.M. Use of patterned laser liftoff process and electroplating nickel layer for the fabrication of vertical-structured GaN-based light-emitting diodes. Appl. Phys. Lett. 2005, 87, 011111. [Google Scholar] [CrossRef]
- Kim, D.W.; Lee, H.Y.; Yoo, M.C.; Yeom, G.Y. Highly efficient vertical laser-liftoff GaN-based light-emitting diodes formed by optimization of the cathode structure. Appl. Phys. Lett. 2005, 86, 390. [Google Scholar] [CrossRef]
- Lin, W.Y.; Wuu, D.S.; Pan, K.F.; Huang, S.H.; Lee, C.E.; Wang, W.K. High-power GaN-mirror-Cu light-emitting diodes for vertical current injection using laser liftoff and electroplating techniques. IEEE Photon. Tech. Lett. 2005, 17, 1809–1811. [Google Scholar] [CrossRef]
- Xiong, C.; Jiang, F.; Fang, W.; Wang, L.; Mo, C.; Liu, H. The characteristics of GaN-based blue LED on Si substrate. J. Lumin. 2007, 122–123, 185–187. [Google Scholar] [CrossRef]
- Kawasaki, K.; Koike, C.; Aoyagi, Y.; Takeuchi, M. Vertical Al2 deep ultraviolet light emitting diode emitting at 322 nm fabricated by the laser lift-off technique. Appl. Phys. Lett. 2006, 89, 261114. [Google Scholar] [CrossRef]
- Adivarahan, V.; Heidari, A.; Zhang, B.; Fareed, Q.; Khan, A. Vertical injection thin film deep ultraviolet light emitting diodes with AlGaN multiple-quantum wells active region. Appl. Phys. Express 2009, 2, 2102. [Google Scholar] [CrossRef]
- Nishida, T.; Saito, H.; Kobayashi, N. Efficient and high-power AlGaN-based ultraviolet light-emitting diode grown on bulk GaN. Appl. Phys. Lett. 2001, 79, 711–712. [Google Scholar] [CrossRef]
- Edmond, J.; Abare, A.; Bergman, M.; Bharathan, J.; Bunker, K.L.; Emerson, D. High efficiency GaN-based LEDs and Lasers on SiC. J. Cryst. Growth. 2004, 272, 242–250. [Google Scholar] [CrossRef]
- HÄRle, V.; Hahn, B.; Lugauer, H.J.; Bader, S.; Brüderl, G.; Baur, J. GaN-based LEDs and Lasers on SiC. Phys. Stat. Sol. A 2000, 180, 5–13. [Google Scholar] [CrossRef]
- Kuramata, A. Ga2O3 Crystal and its LED application. Bull. Solid State Phys. Appl. (Jpn. Soc. Appl. Phys.) 2013, 19, 42. (In Japanese) [Google Scholar]
- Ryu, H.Y.; Jun, C.W. Optimization of InGaN/GaN superlattice structures for high-efficiency vertical blue light-emitting diodes. J. Appl. Phys. 2013, 114, 160. [Google Scholar] [CrossRef]
- Ju, I.; Kwon, Y.; Shin, C.S.; Kim, K.H.; Ko, C.G. High-Power GaN-Based Light-Emitting Diodes Using Thermally Stable and Highly Reflective Nano-Scaled Ni–Ag–Ni–Au Mirror. IEEE Photon. Tech. Lett. 2011, 23, 1685–1687. [Google Scholar] [CrossRef]
















© 2019 by the authors. Licensee MDPI, Basel, Switzerland. This article is an open access article distributed under the terms and conditions of the Creative Commons Attribution (CC BY) license (http://creativecommons.org/licenses/by/4.0/).
Share and Cite
Li, W.; Zhang, X.; Meng, R.; Yan, J.; Wang, J.; Li, J.; Wei, T. Epitaxy of III-Nitrides on β-Ga2O3 and Its Vertical Structure LEDs. Micromachines 2019, 10, 322. https://doi.org/10.3390/mi10050322
Li W, Zhang X, Meng R, Yan J, Wang J, Li J, Wei T. Epitaxy of III-Nitrides on β-Ga2O3 and Its Vertical Structure LEDs. Micromachines. 2019; 10(5):322. https://doi.org/10.3390/mi10050322
Chicago/Turabian StyleLi, Weijiang, Xiang Zhang, Ruilin Meng, Jianchang Yan, Junxi Wang, Jinmin Li, and Tongbo Wei. 2019. "Epitaxy of III-Nitrides on β-Ga2O3 and Its Vertical Structure LEDs" Micromachines 10, no. 5: 322. https://doi.org/10.3390/mi10050322
APA StyleLi, W., Zhang, X., Meng, R., Yan, J., Wang, J., Li, J., & Wei, T. (2019). Epitaxy of III-Nitrides on β-Ga2O3 and Its Vertical Structure LEDs. Micromachines, 10(5), 322. https://doi.org/10.3390/mi10050322
