Artificial Neural Network for Response Inference of a Nonvolatile Resistance-Switch Array
Abstract
:1. Introduction
2. Description of Model System
3. Description of Artificial Neural Network
4. Training and Test Datasets
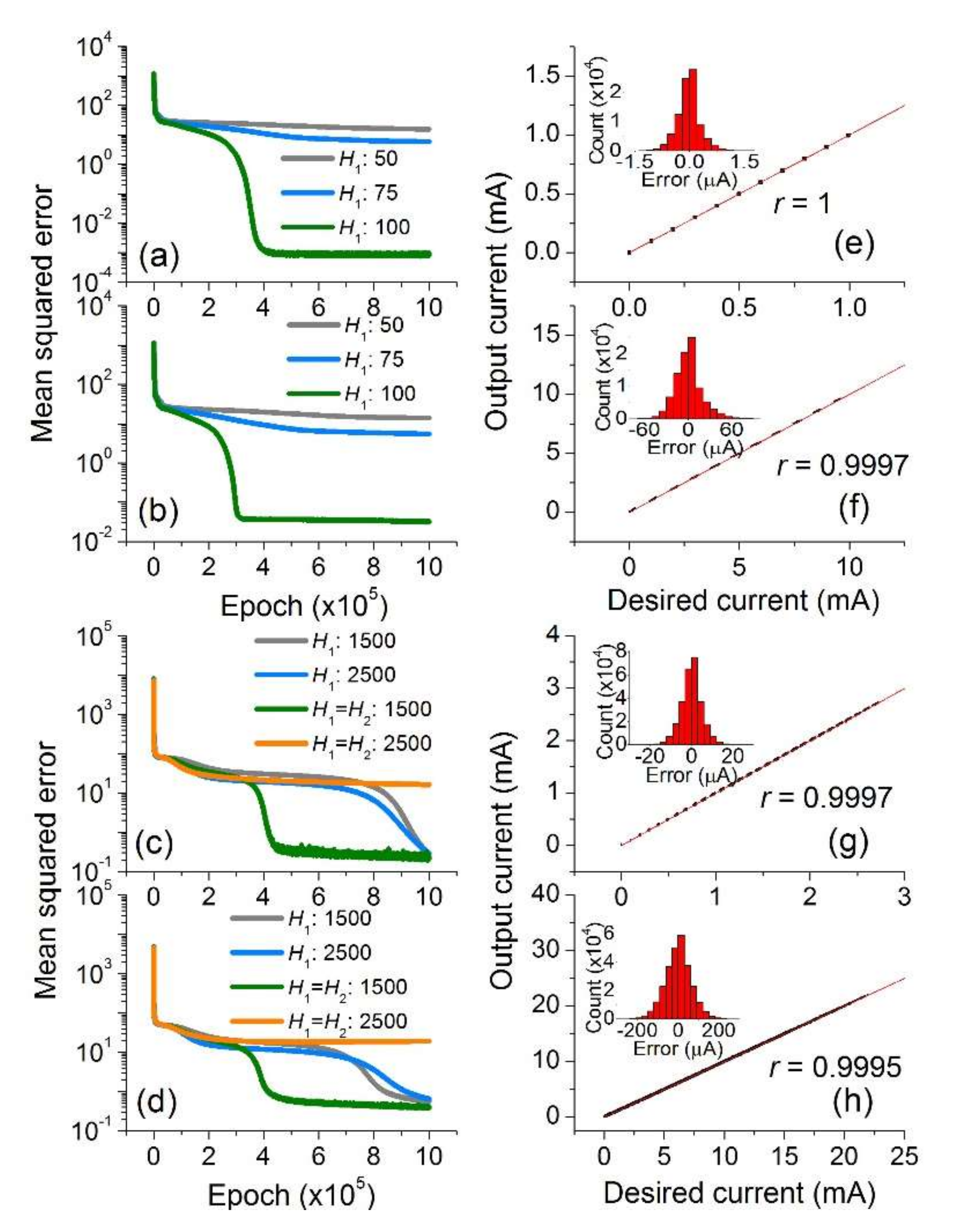
5. Training Results
6. Conclusions
Author Contributions
Funding
Conflicts of Interest
References
- LeCun, Y.; Bengio, Y.; Hinton, G. Deep learning. Nature 2015, 521, 436–444. [Google Scholar] [CrossRef] [PubMed]
- Jouppi, N.P.; Young, C.; Patil, N.; Patterson, D.; Agrawal, G.; Bajwa, R.; Bates, S.; Bhatia, S.; Boden, N.; Borchers, A. In-datacenter performance analysis of a tensor processing unit. In Proceedings of the 2017 ACM/IEEE 44th Annual International Symposium on Computer Architecture (ISCA), Toronto, ON, Canada, 24–28 June 2017; pp. 1–12. [Google Scholar]
- Lecun, Y.; Bottou, L.; Bengio, Y.; Haffner, P. Gradient-based learning applied to document recognition. Proc. IEEE 1998, 86, 2278–2324. [Google Scholar] [CrossRef]
- Lecun, Y.; Kavukcuoglu, K.; Farabet, C. Convolutional networks and applications in vision. In Proceedings of the 2010 IEEE International Symposium on Circuits and Systems (ISCAS), Paris, France, 30 May–2 June 2010; pp. 253–256. [Google Scholar]
- Krizhevsky, A.; Sutskever, I.; Hinton, G.E. Imagenet classification with deep convolutional neural networks. Adv. Neural Inf. Process. Syst. 2012, 25, 1097–1105. [Google Scholar]
- Collobert, R.; Weston, J.; Bottou, L.O.; Karlen, M.; Kavukcuoglu, K.; Kuksa, P. Natural language processing (almost) from scratch. J. Mach. Learn. Res. 2011, 12, 2493–2537. [Google Scholar]
- Mills, K.; Spanner, M.; Tamblyn, I. Deep learning and the Schrödinger equation. arXiv, 2017; arXiv:1702.01361. [Google Scholar]
- Nentwig, M.; Mercorelli, P. Throttle valve control using an inverse local linear model tree based on a fuzzy neural network. In Proceedings of the 2008 7th IEEE International Conference on Cybernetic Intelligent Systems, London, UK, 9–10 September 2008; pp. 1–6. [Google Scholar]
- Waser, R.; Dittmann, R.; Staikov, G.; Szot, K. Redox-based resistive switching memories—Nanoionic mechanisms, prospects, and challenges. Adv. Mater. 2009, 21, 2632–2663. [Google Scholar]
- Jeong, D.S.; Thomas, R.; Katiyar, R.S.; Scott, J.F.; Kohlstedt, H.; Petraru, A.; Hwang, C.S. Emerging memories: Resistive switching mechanisms and current status. Rep. Prog. Phys. 2012, 75, 076502. [Google Scholar] [PubMed]
- Seok, J.Y.; Song, S.J.; Yoon, J.H.; Yoon, K.J.; Park, T.H.; Kwon, D.E.; Lim, H.; Kim, G.H.; Jeong, D.S.; Hwang, C.S. A review of three-dimensional resistive switching cross-bar array memories from the integration and materials property points of view. Adv. Funct. Mater. 2014, 24, 5316–5339. [Google Scholar] [CrossRef]
- Jeong, D.S.; Kim, K.M.; Kim, S.; Choi, B.J.; Hwang, C.S. Memristors for energy-efficient new computing paradigms. Adv. Electron. Mater. 2016, 2, 1600090. [Google Scholar] [CrossRef]
- Hu, M.; Strachan, J.P.; Li, Z.; Grafals, E.M.; Davila, N.; Graves, C.; Lam, S.; Ge, N.; Yang, J.J.; Williams, R.S. Dot-product engine for neuromorphic computing: Programming 1T1M crossbar to accelerate matrix-vector multiplication. In Proceedings of the 2016 53nd ACM/EDAC/IEEE Design Automation Conference (DAC), Austin, TX, USA, 5–9 June 2016; pp. 1–6. [Google Scholar]
- Gao, L.; Chen, P.Y.; Yu, S. Demonstration of convolution kernel operation on resistive cross-point array. IEEE Electron Device Lett. 2016, 37, 870–873. [Google Scholar] [CrossRef]
- Jeong, D.S.; Kim, I.; Ziegler, M.; Kohlstedt, H. Towards artificial neurons and synapses: A materials point of view. RSC Adv. 2013, 3, 3169–3183. [Google Scholar]
- Yang, J.J.; Strukov, D.B.; Stewart, D.R. Memristive devices for computing. Nat. Nanotechnol. 2013, 8, 13–24. [Google Scholar] [PubMed]
- Chen, P.Y.; Gao, L.; Yu, S. Design of resistive synaptic array for implementing on-chip sparse learning. IEEE Trans. Multi Scale Comput. Syst. 2016, 2, 257–264. [Google Scholar] [CrossRef]
- Sheridan, P.M.; Cai, F.; Du, C.; Ma, W.; Zhang, Z.; Lu, W.D. Sparse coding with memristor networks. Nat. Nano 2017. [Google Scholar] [CrossRef]
- Choi, S.; Shin, J.H.; Lee, J.; Sheridan, P.; Lu, W.D. Experimental demonstration of feature extraction and dimensionality reduction using memristor networks. Nano Lett. 2017, 17, 3113–3118. [Google Scholar] [CrossRef] [PubMed]
- Jeong, D.S.; Schroeder, H.; Waser, R. Coexistence of bipolar and unipolar resistive switching behaviors in a Pt/TiO2/Pt stack. Electrochem. Solid State Lett. 2007, 10, G51. [Google Scholar]
- Jeong, D.S.; Schroeder, H.; Waser, R. Mechanism for bipolar switching in a Pt/TiO2/Pt resistive switching cell. Phys. Rev. B 2009, 79, 195317. [Google Scholar]
- Jeong, D.S.; Ahn, H.-W.; Kim, S.-D.; An, M.; Lee, S.; Cheong, B.-K. Numerical study on passive crossbar arrays employing threshold switches as cell-selection-devices. Electron. Mater. Lett. 2012, 8, 169–174. [Google Scholar] [CrossRef]
- Kingma, D.P.; Ba, J. Adam: A method for stochastic optimization. arXiv, 2014; arXiv:1412.6980. [Google Scholar]
- Abadi, M.; Agarwal, A.; Barham, P.; Brevdo, E.; Chen, Z.; Citro, C.; Corrado, G.S.; Davis, A.; Dean, J.; Devin, M.; et al. TensorFlow: Large-scale machine learning on heterogeneous distributed systems. arXiv, 2016; arXiv:1603.04467. [Google Scholar]




| Heading | Type A | Type B |
|---|---|---|
| RHRS (Ω) | 108 × e−V | 105 × e−V |
| RLRS (Ω) | 10k | 1k |
| RHRS/RLRS at 1 V | 3679 | 36.79 |
© 2019 by the authors. Licensee MDPI, Basel, Switzerland. This article is an open access article distributed under the terms and conditions of the Creative Commons Attribution (CC BY) license (http://creativecommons.org/licenses/by/4.0/).
Share and Cite
Kim, G.; Kornijcuk, V.; Kim, D.; Kim, I.; Hwang, C.S.; Jeong, D.S. Artificial Neural Network for Response Inference of a Nonvolatile Resistance-Switch Array. Micromachines 2019, 10, 219. https://doi.org/10.3390/mi10040219
Kim G, Kornijcuk V, Kim D, Kim I, Hwang CS, Jeong DS. Artificial Neural Network for Response Inference of a Nonvolatile Resistance-Switch Array. Micromachines. 2019; 10(4):219. https://doi.org/10.3390/mi10040219
Chicago/Turabian StyleKim, Guhyun, Vladimir Kornijcuk, Dohun Kim, Inho Kim, Cheol Seong Hwang, and Doo Seok Jeong. 2019. "Artificial Neural Network for Response Inference of a Nonvolatile Resistance-Switch Array" Micromachines 10, no. 4: 219. https://doi.org/10.3390/mi10040219
APA StyleKim, G., Kornijcuk, V., Kim, D., Kim, I., Hwang, C. S., & Jeong, D. S. (2019). Artificial Neural Network for Response Inference of a Nonvolatile Resistance-Switch Array. Micromachines, 10(4), 219. https://doi.org/10.3390/mi10040219

