Cavitating Flow through a Micro-Orifice
Abstract
1. Introduction
2. Mathematical Methods
2.1. Physical Model
2.2. Turbulence Model
2.3. Cavitation Model
2.4. Model Validation
3. Results and Discussion
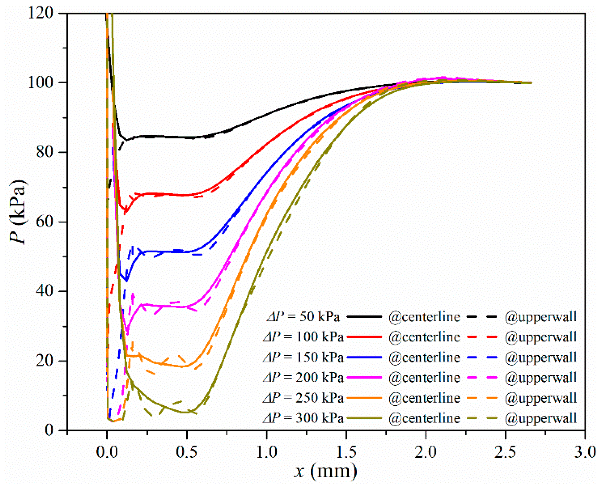
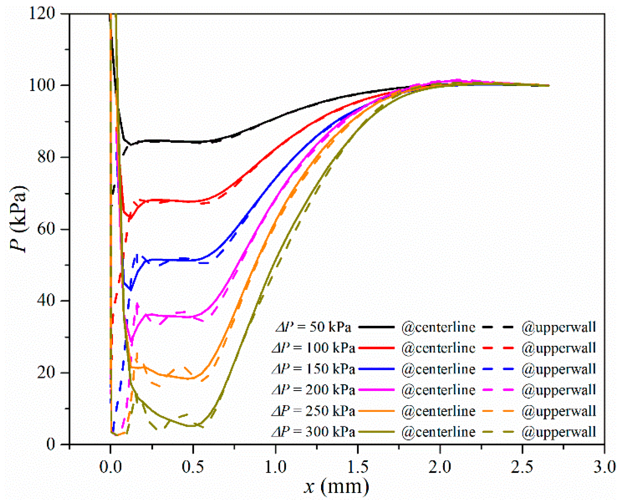
3.1. Effects of Pressure Difference
3.2. Effects of Exit Pressure
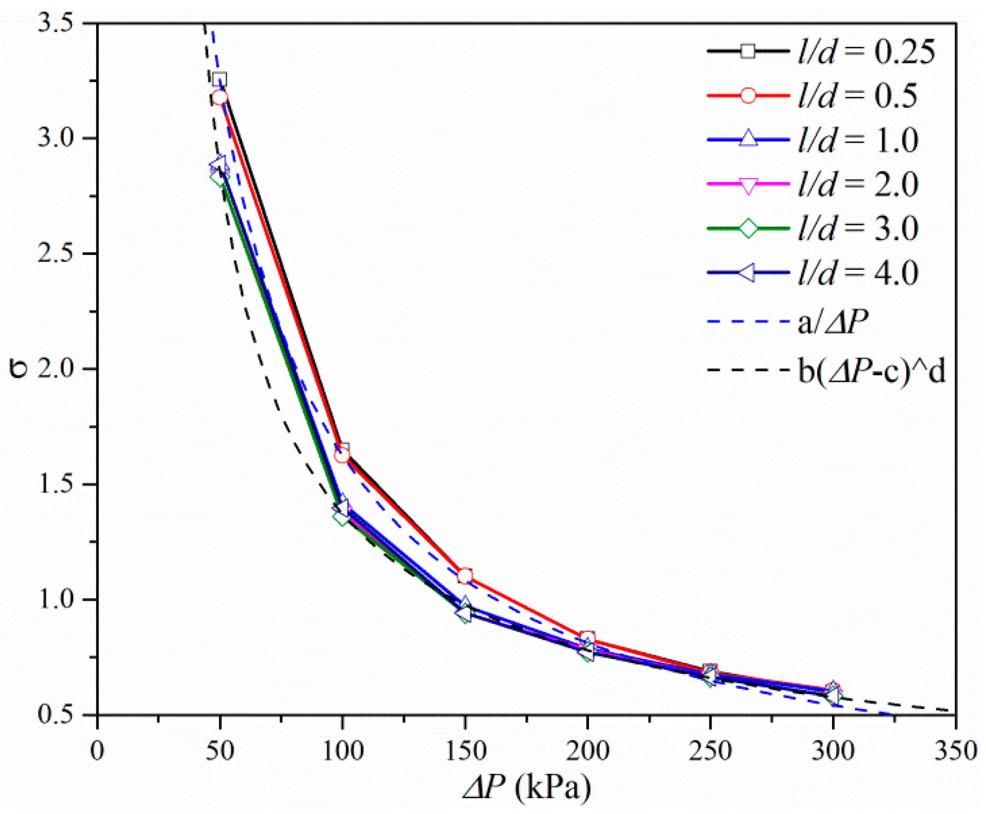
3.3. Effects of Micro-Orifice Length
4. Conclusions
Author Contributions
Funding
Acknowledgments
Conflicts of Interest
References
- Sundarrajan, S.; Allakhverdiev, S.I.; Ramakrishna, S. Progress and perspectives in micro direct methanol fuel cell. Int. J. Hydrogen Energy 2012, 37, 8765–8786. [Google Scholar] [CrossRef]
- Tang, L.J.; Wang, M.H.; Tian, H.C.; Kang, X.Y.; Hong, W.; Liu, J.Q. Progress in Research of Flexible MEMS Microelectrodes for Neural Interface. Micromachines 2017, 8, 281. [Google Scholar] [CrossRef] [PubMed]
- Livak-Dahl, E.; Sinn, I.; Burns, M. Microfluidic chemical analysis systems. Annu. Rev. Chem. Biomol. Eng. 2011, 2, 325–353. [Google Scholar] [CrossRef] [PubMed]
- Tng, D.; Hu, R.; Song, P.; Roy, I.; Yong, K.T. Approaches and challenges of engineering implantable microelectromechanical systems (MEMS) drug delivery systems for in vitro and in vivo applications. Micromachines 2012, 3, 615–631. [Google Scholar] [CrossRef]
- Qian, J.Y.; Li, X.J.; Gao, Z.X.; Jin, Z.J. Mixing Efficiency Analysis on Droplet Formation Process in Microchannels by Numerical Methods. Processes 2019, 7, 33. [Google Scholar] [CrossRef]
- Au, A.K.; Lai, H.; Utela, B.R.; Folch, A. Microvalves and micropumps for BioMEMS. Micromachines 2011, 2, 179–220. [Google Scholar] [CrossRef]
- Du, K.; Liu, W.; Ren, Y.; Jiang, T.; Song, J.; Wu, Q.; Tao, Y. A High-Throughput Electrokinetic Micromixer via AC Field-Effect Nonlinear Electroosmosis Control in 3D Electrode Configurations. Micromachines 2018, 9, 432. [Google Scholar] [CrossRef] [PubMed]
- Zhang, L.; Jones, B.; Majeed, B.; Nishiyama, Y.; Okumura, Y.; Stakenborg, T. Study on stair-step liquid triggered capillary valve for microfluidic systems. J. Micromech. Microeng. 2018, 28, 065005. [Google Scholar] [CrossRef]
- Mekkaoui, S.; Le Roy, D.; Audry, M.C.; Lachambre, J.; Dupuis, V.; Desgouttes, J.; Deman, A.L. Arrays of high aspect ratio magnetic microstructures for large trapping throughput in lab-on-chip systems. Microfluid. Nanofluid. 2018, 22, 119. [Google Scholar] [CrossRef]
- Cioncolini, A.; Scenini, F.; Duff, J. Micro-orifice single-phase liquid flow: Pressure drop measurements and prediction. Exp. Therm. Fluid Sci. 2015, 65, 33–40. [Google Scholar] [CrossRef]
- Cioncolini, A.; Cassineri, S.; Duff, J.; Curioni, M.; Scenini, F. Micro-orifice single-phase flow at very high Reynolds number. Exp. Therm. Fluid Sci. 2018, 91, 35–40. [Google Scholar] [CrossRef]
- Wang, K.; Wang, C.; Xia, C.; Liu, H.; Zhang, Z. Experimental Measurement of Cavitation-Induced Vibration Characteristics in a Multi-Stage Centrifugal Pump. J. Chem. Eng. Jpn. 2018, 51, 203–209. [Google Scholar] [CrossRef]
- Chen, M.; Aung, N.Z.; Li, S.; Zou, C. Effect of Oil Viscosity on Self-Excited Noise Production Inside the Pilot Stage of a Two-Stage Electrohydraulic Servovalve. ASME J. Fluids Eng. 2019, 141, 011106. [Google Scholar] [CrossRef]
- Qian, J.Y.; Liu, B.Z.; Jin, Z.J.; Wang, J.K.; Zhang, H. Numerical analysis of flow and cavitation characteristics in a pilot-control globe valve with different valve core displacements. J. Zhejiang Univ. Sci. A 2016, 17, 54–64. [Google Scholar] [CrossRef]
- Jin, Z.J.; Gao, Z.X.; Qian, J.Y.; Wu, Z.; Sunden, B. A parametric study of hydrodynamic cavitation inside globe valves. ASME J. Fluids Eng. 2018, 140, 031208. [Google Scholar] [CrossRef]
- Ayela, F.; Cherief, W.; Colombet, D.; Ledoux, G.; Martini, M.; Mossaz, S.; Podbevsek, D.; Qiu, X.; Tillement, O. Hydrodynamic cavitation through “Labs on a Chip”: From fundamentals to applications. Oil Gas Sci. Technol. 2017, 72, 19. [Google Scholar] [CrossRef]
- Chandrasekaran, A.; Packirisamy, M. Experimental investigation of cavitation behavior in valveless micropumps. J. Micromech. Microeng. 2012, 22, 125019. [Google Scholar] [CrossRef]
- Chandrasekaran, A.; Packirisamy, M. A study of cavitating and non-cavitating performances of valveless micropump through dynamic measurement of chamber pressure. J. Micromech. Microeng. 2015, 25, 035006. [Google Scholar] [CrossRef]
- Gothsch, T.; Schilcher, C.; Richter, C.; Beinert, S.; Dietzel, A.; Büttgenbach, S.; Kwade, A. High-pressure microfluidic systems (HPMS): Flow and cavitation measurements in supported silicon microsystems. Microfluid. Nanofluid. 2015, 18, 121–130. [Google Scholar] [CrossRef]
- Ghorbani, M.; Sadaghiani, A.K.; Villanueva, L.G.; Koşar, A. Hydrodynamic cavitation in microfluidic devices with roughened surfaces. J. Micromech. Microeng. 2018, 28, 075016. [Google Scholar] [CrossRef]
- Beban, B.; Legat, S.; Schmidt, S.J.; Adams, N.A. On instationary mechanisms in cavitating micro throttles. J. Phys. Conf. Ser. 2015, 656, 012079. [Google Scholar] [CrossRef]
- He, Z.; Zhong, W.; Wang, Q.; Jiang, Z.; Shao, Z. Effect of nozzle geometrical and dynamic factors on cavitating and turbulent flow in a diesel multi-hole injector nozzle. Int. J. Therm. Sci. 2013, 70, 132–143. [Google Scholar] [CrossRef]
- Rudolf, P.; Kubina, D.; Hudec, M.; Kozák, J.; Maršálek, B.; Maršálková, E.; Pochylý, F. Experimental investigation of hydrodynamic cavitation through orifices of different geometries. EPJ Web Conf. 2017, 143, 02098. [Google Scholar] [CrossRef]
- Liu, Y.; Zhu, B.; Zhu, Y.; Li, Z. Flow and cavitation characteristics of a damping orifice in water hydraulics. Proc. Inst. Mech. Eng. Part A 2016, 220, 933–942. [Google Scholar]
- Ebrahimi, B.; He, G.; Tang, Y.; Franchek, M.; Liu, D.; Pickett, J.; Springett, F.; Franklin, D. Characterization of high-pressure cavitating flow through a thick orifice plate in a pipe of constant cross section. Int. J. Therm. Sci. 2017, 114, 229–240. [Google Scholar] [CrossRef]
- Dong, Z.Y.; Chen, Q.Q.; Yang, Y.G.; Shi, B. Experimental and numerical study of hydrodynamic cavitation of orifice plates with multiple triangular holes. Appl. Mech. Mater. 2013, 256, 2519–2522. [Google Scholar] [CrossRef]
- Simpson, A.; Ranade, V.V. Modelling of Hydrodynamic Cavitation with Orifice: Influence of different orifice designs. Chem. Eng. Res. Des. 2018, 136, 698–711. [Google Scholar] [CrossRef]
- Mishra, C.; Peles, Y. Size scale effects on cavitating flows through microorifices entrenched in rectangular microchannels. J. Microelectromech. Syst. 2005, 14, 987–999. [Google Scholar] [CrossRef]
- Mishra, C.; Peles, Y. Flow visualization of cavitating flows through a rectangular slot micro-orifice ingrained in a microchannel. Phys. Fluids 2005, 17, 113602. [Google Scholar] [CrossRef]
- Iben, U.; Wolf, F.; Freudigmann, H.A.; Fröhlich, J.; Heller, W. Optical measurements of gas bubbles in oil behind a cavitating micro-orifice flow. Exp. Fluids 2015, 56, 114. [Google Scholar] [CrossRef]
- Freudigmann, H.A.; Dörr, A.; Iben, U.; Pelz, P.F. Modeling of cavitation-induced air release phenomena in micro-orifice flows. ASME J. Fluids Eng. 2017, 139, 111301. [Google Scholar] [CrossRef]
- Wang, X.Q.; Lin, Q.; Tai, Y.C. A parylene micro check valve. In Proceedings of the IEEE International Conference on Micro Electro Mechanical Systems (MEMS), Orlando, FL, USA, 21 January 1999; pp. 177–182. [Google Scholar]
- Qian, J.Y.; Chen, M.R.; Liu, X.L.; Jin, Z.J. A numerical investigation of the flow of nanofluids through a micro Tesla valve. J. Zhejiang Univ. Sci. A 2019, 20, 50–60. [Google Scholar] [CrossRef]
- Menter, F.R. Two-equation eddy-viscosity turbulence models for engineering applications. AIAA J. 1994, 32, 1598–1605. [Google Scholar] [CrossRef]
- Zwart, P.J.; Gerber, A.G.; Belamri, T. A two-phase flow model for predicting cavitation dynamics. In Proceedings of the International Conference on Multiphase Flow, Firenze, Italy, 22–27 May 2004; p. 152. [Google Scholar]
- Mishra, C.; Peles, Y. Cavitation in flow through a micro-orifice inside a silicon microchannel. Phys. Fluids 2005, 17, 013601. [Google Scholar] [CrossRef]














| Grid | Coarse | Regular | Fine |
|---|---|---|---|
| αmax | 0.937 | 0.963 | 0.965 |
© 2019 by the authors. Licensee MDPI, Basel, Switzerland. This article is an open access article distributed under the terms and conditions of the Creative Commons Attribution (CC BY) license (http://creativecommons.org/licenses/by/4.0/).
Share and Cite
Jin, Z.-j.; Gao, Z.-x.; Li, X.-j.; Qian, J.-y. Cavitating Flow through a Micro-Orifice. Micromachines 2019, 10, 191. https://doi.org/10.3390/mi10030191
Jin Z-j, Gao Z-x, Li X-j, Qian J-y. Cavitating Flow through a Micro-Orifice. Micromachines. 2019; 10(3):191. https://doi.org/10.3390/mi10030191
Chicago/Turabian StyleJin, Zhi-jiang, Zhi-xin Gao, Xiao-juan Li, and Jin-yuan Qian. 2019. "Cavitating Flow through a Micro-Orifice" Micromachines 10, no. 3: 191. https://doi.org/10.3390/mi10030191
APA StyleJin, Z.-j., Gao, Z.-x., Li, X.-j., & Qian, J.-y. (2019). Cavitating Flow through a Micro-Orifice. Micromachines, 10(3), 191. https://doi.org/10.3390/mi10030191

