Study on Modulation Bandwidth and Light Extraction Efficiency of Flip-Chip Light-Emitting Diode with Photonic Crystals
Abstract
:1. Introduction
2. Materials and Methods
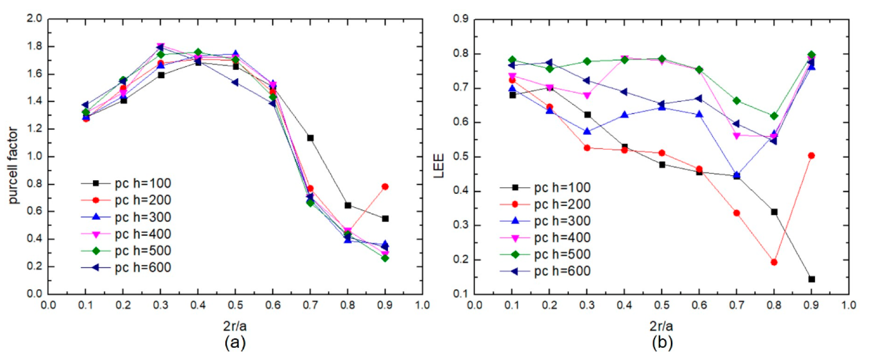
3. Results and Discussion
4. Conclusions
Author Contributions
Funding
Conflicts of Interest
References
- Grubor, J.; Lee, S.C.J.; Langer, K.; Koonen, T.; Walewski, J.W. Wireless high-speed data transmission with phosphorescent white-light leds. In Proceedings of the 33rd European Conference and Exhibition of Optical Communication—Post-Deadline Papers (published 2008), Berlin, Germany, 16–20 September 2007; pp. 1–2. [Google Scholar]
- Tuo, J.; Shams, H.; Corbett, B. Visible light communication by using commercial phosphor based white leds. In Proceedings of the IET Irish Signals and Systems Conference (ISSC 2012), Maynooth, Ireland, 28–29 June 2012; pp. 1–4. [Google Scholar]
- Shi, J.; Sheu, J.; Chen, C.; Lin, G.; Lai, W. High-speed GaN-based green light-emitting diodes with partially n-doped active layers and current-confined apertures. IEEE Electron Device Lett. 2008, 29, 158–160. [Google Scholar] [CrossRef]
- Wun, J.M.; Lin, C.W.; Chen, W.; Sheu, J.K.; Lin, C.L.; Li, Y.L.; Bowers, J.E.; Shi, J.W.; Vinogradov, J.; Kruglov, R.; et al. GaN-based miniaturized cyan light-emitting diodes on a patterned sapphire substrate with improved fiber coupling for very high-speed plastic optical fiber communication. IEEE Photon. J. 2012, 4, 1520–1529. [Google Scholar] [CrossRef]
- McKendry, J.J.D.; Massoubre, D.; Zhang, S.; Rae, B.R.; Green, R.P.; Gu, E.; Henderson, R.K.; Kelly, A.E.; Dawson, M.D. Visible-light communications using a CMOS-controlled micro-light-emitting-diode array. J. Lightwave Technol. 2012, 30, 61–67. [Google Scholar] [CrossRef]
- Ferreira, R.X.; Xie, E.; Mckendry, J.J.D.; Rajbhandari, S.; Chun, H.; Faulkner, G.; Watson, S.; Kelly, A.E.; Gu, E.; Penty, R.V.; et al. High bandwidth GaN-based micro-LEDs for multi-Gb/s visible light communications. IEEE Photon. Technol. Lett. 2016, 28, 2023–2026. [Google Scholar] [CrossRef]
- Yin, Y.F.; Lan, W.Y.; Lin, T.C.; Wang, C.; Feng, M.; Huang, J.J. High-speed visible light communication using GaN-based light-emitting diodes with photonic crystals. J. Lightwave Technol. 2017, 35, 258–264. [Google Scholar] [CrossRef]
- Zhu, S.; Yu, Z.; Liu, L.; Yang, C.; Chao, H.; Xi, X.; Li, J.; Zhao, L. Enhancing the spontaneous emission rate by modulating carrier distribution in GaN-based surface plasmon light-emitting diodes. Opt. Express 2017, 25, 9617–9627. [Google Scholar] [CrossRef] [PubMed]
- Selenyi, P. Wide-angle interferences and the nature of the elementary light sources. Phys. Rev. 1939, 56, 477–479. [Google Scholar] [CrossRef]
- Purcell, E.M. Spontaneous emission probabilities at radio frequencies. In Confined Electrons and Photons; Burstein, E., Weisbuch, C., Eds.; Springer: Boston, MA, USA, 1946; Volume 340. [Google Scholar]
- Zhuang, Z.; Guo, X.; Liu, B.; Hu, F.; Dai, J.; Zhang, Y.; Li, Y.; Tao, T.; Zhi, T.; Xie, Z.; et al. Great enhancement in the excitonic recombination and light extraction of highly ordered InGaN/GaN elliptic nanorod arrays on a wafer scale. Nanotechnology 2015, 27, 015301. [Google Scholar] [CrossRef] [PubMed]
- Yin, Y.-F.; Lan, W.-Y.; Hsu, Y.-H.; Hsu, Y.-F.; Wu, C.-H.; Huang, J. High-speed modulation from the fast mode extraction of a photonic crystal light-emitting diode. J. Appl. Phys. 2016, 119, 013103. [Google Scholar] [CrossRef]
- Taflove, A.; Hagness, S.C. Computational Electrodynamics: The Finite-Difference Time-Domain Method; Artech House: Boston, MA, USA, 1996; pp. 1817–1818. [Google Scholar]
- Ryu, H.-Y. Investigation of the purcell effect in GaN-based vertical LED structures using FDTD simulation. Opt. Quantum Electron. 2015, 48, 6. [Google Scholar] [CrossRef]
- Ryu, H.-Y. Large enhancement of light extraction efficiency in AlGaN-based nanorod ultraviolet light-emitting diode structures. Nanoscale Res. Lett. 2014, 9, 58. [Google Scholar] [CrossRef] [PubMed]
- Ryu, H.-Y. Modification of internal quantum efficiency and efficiency droop in GaN-based flip-chip light-emitting diodes via the Purcell effect. Opt. Express 2015, 23, A1157–A1166. [Google Scholar] [CrossRef] [PubMed]
- Lau, E.K.; Lakhani, A.; Tucker, R.S.; Wu, M.C. Enhanced modulation bandwidth of nanocavity light emitting devices. Opt. Express 2009, 17, 7790–7799. [Google Scholar] [CrossRef] [PubMed]
- Nami, M.; Feezell, D. Optical properties of Ag-coated GaN/InGaN axial and core–shell nanowire light-emitting diodes. J. Opt. 2015, 17, 25004. [Google Scholar] [CrossRef]
- David, A.; Grundmann, M.J. Droop in InGaN light-emitting diodes: A differential carrier lifetime analysis. Appl. Phys. Lett. 2010, 96, 103504. [Google Scholar] [CrossRef]
- Yin, Y.-F.; Lin, Y.-C.; Liu, Y.-C.; Shen, Y.-C.; Chiang, H.-P.; Huang, J. Correlation of angular light profiles of light-emitting diodes to spatial spontaneous emissions from photonic crystals. J. Appl. Phys. 2013, 114, 143104. [Google Scholar] [CrossRef]
- Ding, Q.A.; Li, K.; Kong, F.; Zhao, J.; Yue, Q. Improving the vertical light extraction efficiency of gan-based thin-film flip-chip led with double embedded photonic crystals. IEEE J. Quantum Electron. 2014, 51, 1–9. [Google Scholar] [CrossRef]
- Gao, H.; Li, K.; Kong, F.-M.; Chen, X.-L.; Zhang, Z.-M. Improving light extraction efficiency of GaN-based LEDs by AlxGa1-xN confining layer and embedded photonic crystals. IEEE J. Selected Top. Quantum Electron. 2012, 18, 1650–1660. [Google Scholar] [CrossRef]
- Hangleiter, A.; Netzel, C.; Fuhrmann, D.; Hitzel, F.; Hoffmann, L.; Bremers, H.; Rossow, G.A.; Hinze, P. Anti-localization suppresses non-radiative recombination in GaInN/GaN quantum wells. Philos. Mag. 2007, 87, 2041–2065. [Google Scholar] [CrossRef]







© 2019 by the authors. Licensee MDPI, Basel, Switzerland. This article is an open access article distributed under the terms and conditions of the Creative Commons Attribution (CC BY) license (http://creativecommons.org/licenses/by/4.0/).
Share and Cite
Wang, H.; Zhong, M.; Tan, L.; Shi, W.; Zhou, Q. Study on Modulation Bandwidth and Light Extraction Efficiency of Flip-Chip Light-Emitting Diode with Photonic Crystals. Micromachines 2019, 10, 767. https://doi.org/10.3390/mi10110767
Wang H, Zhong M, Tan L, Shi W, Zhou Q. Study on Modulation Bandwidth and Light Extraction Efficiency of Flip-Chip Light-Emitting Diode with Photonic Crystals. Micromachines. 2019; 10(11):767. https://doi.org/10.3390/mi10110767
Chicago/Turabian StyleWang, Hong, Ming Zhong, Lijun Tan, Wei Shi, and Quanbin Zhou. 2019. "Study on Modulation Bandwidth and Light Extraction Efficiency of Flip-Chip Light-Emitting Diode with Photonic Crystals" Micromachines 10, no. 11: 767. https://doi.org/10.3390/mi10110767
APA StyleWang, H., Zhong, M., Tan, L., Shi, W., & Zhou, Q. (2019). Study on Modulation Bandwidth and Light Extraction Efficiency of Flip-Chip Light-Emitting Diode with Photonic Crystals. Micromachines, 10(11), 767. https://doi.org/10.3390/mi10110767

