Biological Activity of Naphthoquinones Derivatives in the Search of Anticancer Lead Compounds
Abstract
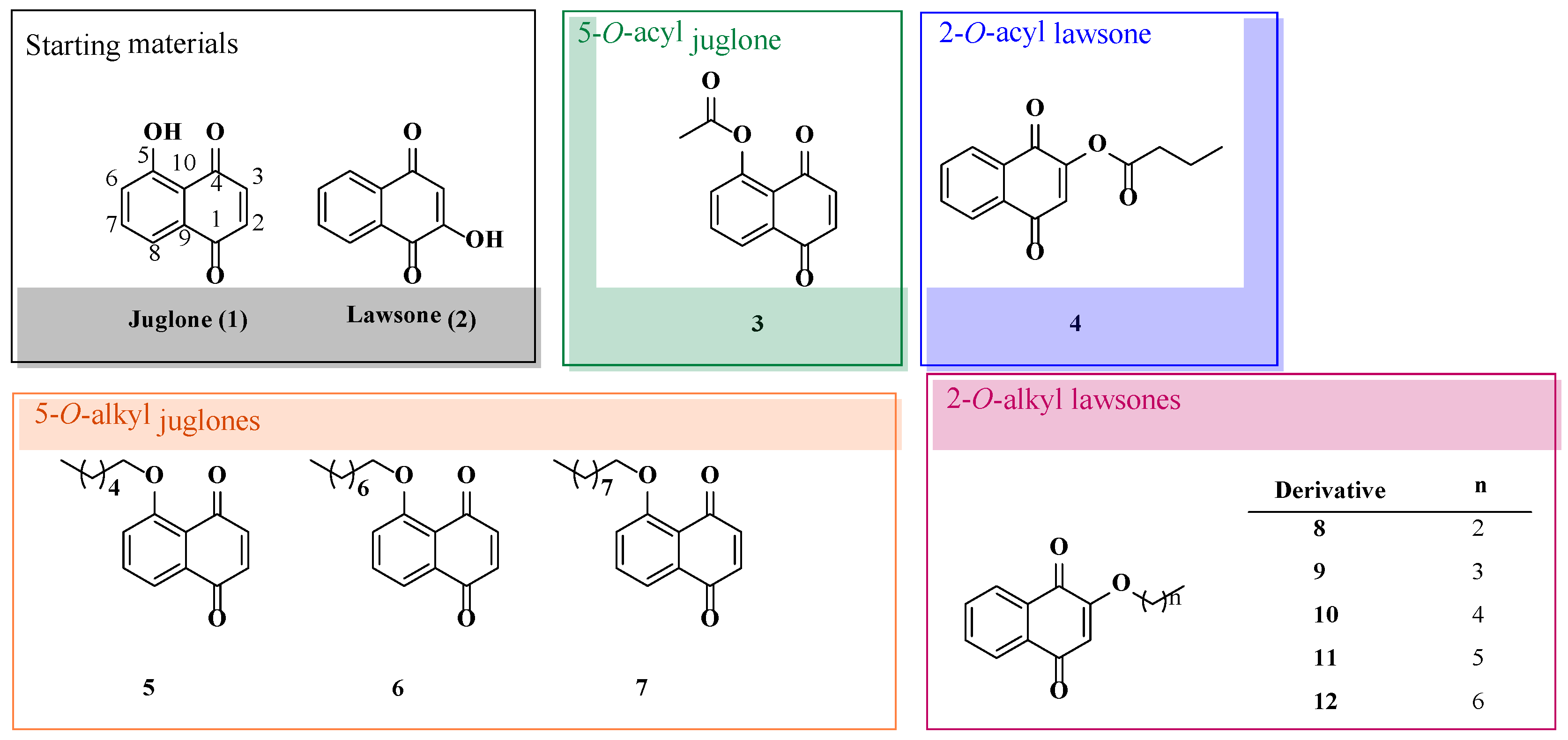
1. Introduction
2. Results and Discussion
2.1. First Screening of Cytotoxicity on HeLa Cells by Trypan Blue Dye Exclusion Method
2.2. Flow Cytometry Analysis of Cell Apoptosis on Ovarian Carcinoma (IGROV-1) Cells
2.3. Flow Cytometry Analysis of Cell Apoptosis on Human Melanoma (SK-MEL-28) and Non-Tumoral Human Embryonic Kidney 293 (HEK-293) Cells
3. Conclusions
4. Materials and Methods
4.1. Chemicals and General Experimental Procedures
4.2. Cell lines and Cell Cultures
4.3. Cell Viability Assays
4.4. Flow Cytometry and Data Analysis
4.5. Statistical Analysis
Supplementary Materials
Author Contributions
Funding
Institutional Review Board Statement
Informed Consent Statement
Data Availability Statement
Acknowledgments
Conflicts of Interest
References
- Sung, H.; Ferlay, J.; Siegel, R.L.; Laversanne, M.; Soerjomataram, I.; Jemal, A.; Bray, F. Global Cancer Statistics 2020: GLOBOCAN Estimates of Incidence and Mortality Worldwide for 36 Cancers in 185 Countries. CA Cancer J. Clin. 2021, 71, 209–249. [Google Scholar] [CrossRef] [PubMed]
- Yadav, P.; Yadav, R.; Jain, S.; Vaidya, A. Caspase-3: A Primary Target for Natural and Synthetic Compounds for Cancer Therapy. Chem. Biol. Drug Des. 2021, 98, 144–165. [Google Scholar] [CrossRef] [PubMed]
- Deaths According to Cause of Death. Available online: https://www.ine.es/en/prensa/edcm_2021_en.pdf (accessed on 27 April 2023).
- Wang, S.-H.; Lo, C.-Y.; Gwo, Z.-H.; Lin, H.-J.; Chen, L.-G.; Kuo, C.-D.; Wu, J.-Y. Synthesis and Biological Evaluation of Lipophilic 1,4-Naphthoquinone Derivatives against Human Cancer Cell Lines. Molecules 2015, 20, 11994–12015. [Google Scholar] [CrossRef]
- Wellington, K.W. Understanding Cancer and the Anticancer Activities of Naphthoquinones—A Review. RSC Adv. 2015, 5, 20309–20338. [Google Scholar] [CrossRef]
- Ravichandiran, P.; Athinarayanan, J.; Premnath, D.; Periasamy, V.S.; Alshatwi, A.A.; Vasanthkumar, S. Synthesis, Molecular Docking and Biological Evaluation of Novel 6-(4-(4-Aminophenylsulfonyl)Phenylamino)-5H-Benzo[a]Phenothiazin-5-One Derivatives. Spectrochim. Acta A Mol. Biomol. Spectrosc. 2015, 139, 477–487. [Google Scholar] [CrossRef] [PubMed]
- Ravichandiran, P.; Premnath, D.; Vasanthkumar, S. Synthesis, Molecular Docking and Antibacterial Evaluation of 2-(4-(4-Aminophenylsulfonyl)Phenylamino)-3-(Thiophen-2-Ylthio)Naphthalene-1,4-Dione Derivatives. Front. Chem. Sci. Eng. 2015, 9, 46–56. [Google Scholar] [CrossRef]
- Bhasin, D.; Chettiar, S.N.; Etter, J.P.; Mok, M.; Li, P.-K. Anticancer Activity and SAR Studies of Substituted 1,4-Naphthoquinones. Bioorganic Med. Chem. 2013, 21, 4662–4669. [Google Scholar] [CrossRef]
- Ravichandiran, P.; Subramaniyan, S.A.; Kim, S.-Y.; Kim, J.-S.; Park, B.-H.; Shim, K.S.; Yoo, D.J. Synthesis and Anticancer Evaluation of 1,4-Naphthoquinone Derivatives Containing a Phenylaminosulfanyl Moiety. ChemMedChem 2019, 14, 532–544. [Google Scholar] [CrossRef]
- Ravichandiran, P.; Jegan, A.; Premnath, D.; Periasamy, V.S.; Vasanthkumar, S. Design, Synthesis, Molecular Docking as Histone Deacetylase (HDAC8) Inhibitors, Cytotoxicity and Antibacterial Evaluation of Novel 6-(4-(4-Aminophenylsulfonyl)Phenylamino)-5H-Benzo[a]Phenoxazin-5-One Derivatives. Med. Chem. Res. 2015, 24, 197–208. [Google Scholar] [CrossRef]
- Pereyra, C.E.; Dantas, R.F.; Ferreira, S.B.; Gomes, L.P.; Silva-Jr, F.P. The Diverse Mechanisms and Anticancer Potential of Naphthoquinones. Cancer Cell Int. 2019, 19, 207. [Google Scholar] [CrossRef]
- Furqan, M.; Fayyaz, A.; Firdous, F.; Raza, H.; Bilal, A.; Saleem, R.S.Z.; Shahzad-ul-Hussan, S.; Wang, D.; Youssef, F.S.; al Musayeib, N.M.; et al. Identification and Characterization of Natural and Semisynthetic Quinones as Aurora Kinase Inhibitors. J. Nat. Prod. 2022, 85, 1503–1513. [Google Scholar] [CrossRef] [PubMed]
- Kavaliauskas, P.; Opazo, F.S.; Acevedo, W.; Petraitiene, R.; Grybaitė, B.; Anusevičius, K.; Mickevičius, V.; Belyakov, S.; Petraitis, V. Synthesis, Biological Activity, and Molecular Modelling Studies of Naphthoquinone Derivatives as Promising Anticancer Candidates Targeting COX-2. Pharmaceuticals 2022, 15, 541. [Google Scholar] [CrossRef] [PubMed]
- Qiu, H.-Y.; Wang, P.-F.; Lin, H.-Y.; Tang, C.-Y.; Zhu, H.-L.; Yang, Y.-H. Naphthoquinones: A Continuing Source for Discovery of Therapeutic Antineoplastic Agents. Chem. Biol. Drug Des. 2018, 91, 681–690. [Google Scholar] [CrossRef]
- Aminin, D.; Polonik, S. 1,4-Naphthoquinones: Some Biological Properties and Application. Chem. Pharm. Bull. (Tokyo) 2020, 68, 46–57. [Google Scholar] [CrossRef] [PubMed]
- Verma, R.P. Anti-Cancer Activities of 1,4-Naphthoquinones: A QSAR Study. Anticancer Agents Med. Chem. 2006, 6, 489–499. [Google Scholar] [CrossRef] [PubMed]
- Durán, A.G.; Chinchilla, N.; Molinillo, J.M.G.; Macías, F.A. Influence of Lipophilicity in O -acyl and O -alkyl Derivatives of Juglone and Lawsone: A Structure–Activity Relationship Study in the Search for Natural Herbicide Models. Pest Manag. Sci. 2018, 74, 682–694. [Google Scholar] [CrossRef]
- García, B.; Torres, A.; Macías, F. Synergy and Other Interactions between Polymethoxyflavones from Citrus Byproducts. Molecules 2015, 20, 20079–20106. [Google Scholar] [CrossRef]
- Diana, E.J.; Mathew, T.V. Synthesis and Characterization of Surface-Modified Ultrafine Titanium Dioxide Nanoparticles with an Antioxidant Functionalized Biopolymer as a Therapeutic Agent: Anticancer and Antimicrobial Evaluation. Colloids Surf. B Biointerfaces 2022, 220, 112949. [Google Scholar] [CrossRef]
- Strober, W. Trypan Blue Exclusion Test of Cell Viability. Curr. Protoc. Immunol. 2015, 111, A3.B.1–A3.B.3. [Google Scholar] [CrossRef]
- Gaona-Luviano, P.; Medina-Gaona, L.A.; Magaña-Pérez, K. Epidemiology of Ovarian Cancer. Chin. Clin. Oncol. 2020, 9, 47. [Google Scholar] [CrossRef]
- Cabasag, C.J.; Fagan, P.J.; Ferlay, J.; Vignat, J.; Laversanne, M.; Liu, L.; van der Aa, M.A.; Bray, F.; Soerjomataram, I. Ovarian Cancer Today and Tomorrow: A Global Assessment by World Region and Human Development Index Using GLOBOCAN 2020. Int. J. Cancer 2022, 151, 1535–1541. [Google Scholar] [CrossRef]
- Huang, J.; Chan, W.C.; Ngai, C.H.; Lok, V.; Zhang, L.; Lucero-Prisno, D.E.; Xu, W.; Zheng, Z.-J.; Elcarte, E.; Withers, M.; et al. Worldwide Burden, Risk Factors, and Temporal Trends of Ovarian Cancer: A Global Study. Cancers 2022, 14, 2230. [Google Scholar] [CrossRef] [PubMed]
- Tossetta, G.; Fantone, S.; Montanari, E.; Marzioni, D.; Goteri, G. Role of NRF2 in Ovarian Cancer. Antioxidants 2022, 11, 663. [Google Scholar] [CrossRef] [PubMed]
- Cohen, G.M. Caspases: The Executioners of Apoptosis. Biochem. J. 1997, 326, 1–16. [Google Scholar] [CrossRef]
- Vermes, I.; Haanen, C.; Steffens-Nakken, H.; Reutelingsperger, C. A Novel Assay for Apoptosis Flow Cytometric Detection of Phosphatidylserine Early Apoptotic Cells Using Fluorescein Labelled Expression on Annexin V. J. Immunol. Methods 1995, 184, 39–51. [Google Scholar] [CrossRef] [PubMed]
- Kupcho, K.; Shultz, J.; Hurst, R.; Hartnett, J.; Zhou, W.; Machleidt, T.; Grailer, J.; Worzella, T.; Riss, T.; Lazar, D.; et al. A Real-Time, Bioluminescent Annexin V Assay for the Assessment of Apoptosis. Apoptosis 2019, 24, 184–197. [Google Scholar] [CrossRef]
- Urban, K.; Mehrmal, S.; Uppal, P.; Giesey, R.L.; Delost, G.R. The Global Burden of Skin Cancer: A Longitudinal Analysis from the Global Burden of Disease Study, 1990–2017. JAAD Int. 2021, 2, 98–108. [Google Scholar] [CrossRef]
- Khan, N.H.; Mir, M.; Qian, L.; Baloch, M.; Ali Khan, M.F.; Rehman, A.-; Ngowi, E.E.; Wu, D.-D.; Ji, X.-Y. Skin Cancer Biology and Barriers to Treatment: Recent Applications of Polymeric Micro/Nanostructures. J. Adv. Res. 2022, 36, 223–247. [Google Scholar] [CrossRef]
- Cullen, J.K.; Simmons, J.L.; Parsons, P.G.; Boyle, G.M. Topical Treatments for Skin Cancer. Adv. Drug Deliv. Rev. 2020, 153, 54–64. [Google Scholar] [CrossRef]
- Simões, M.C.F.; Sousa, J.J.S.; Pais, A.A.C.C. Skin Cancer and New Treatment Perspectives: A Review. Cancer Lett. 2015, 357, 8–42. [Google Scholar] [CrossRef]
- Shen, C.; Gu, M.; Song, C.; Miao, L.; Hu, L.; Liang, D.; Zheng, C. The Tumorigenicity Diversification in Human Embryonic Kidney 293 Cell Line Cultured in Vitro. Biologicals 2008, 36, 263–268. [Google Scholar] [CrossRef] [PubMed]
- Cusick, J.K.; Mustian, A.; Goldberg, K.; Reyland, M.E. RELT Induces Cellular Death in HEK 293 Epithelial Cells. Cell. Immunol. 2010, 261, 1–8. [Google Scholar] [CrossRef]
- Liu, X.; Shan, K.; Shao, X.; Shi, X.; He, Y.; Liu, Z.; Jacob, J.A.; Deng, L. Nanotoxic Effects of Silver Nanoparticles on Normal HEK-293 Cells in Comparison to Cancerous HeLa Cell Line. Int. J. Nanomed. 2021, 16, 753–761. [Google Scholar] [CrossRef]
- Gutiérrez, M.T.; Durán, A.G.; Mejías, F.J.R.; Molinillo, J.M.G.; Megias, D.; Valdivia, M.M.; Macías, F.A. Bio-Guided Isolation of Acetogenins from Annona Cherimola Deciduous Leaves: Production of Nanocarriers to Boost the Bioavailability Properties. Molecules 2020, 25, 4861. [Google Scholar] [CrossRef]
- Ali, A.; Assimopoulou, A.; Papageorgiou, V.; Kolodziej, H. Structure/Antileishmanial Activity Relationship Study of Naphthoquinones and Dependency of the Mode of Action on the Substitution Patterns. Planta Med. 2011, 77, 2003–2012. [Google Scholar] [CrossRef] [PubMed]
- Shen, C.-C.; Afraj, S.N.; Hung, C.-C.; Barve, B.D.; Kuo, L.-M.Y.; Lin, Z.-H.; Ho, H.-O.; Kuo, Y.-H. Synthesis, Biological Evaluation, and Correlation of Cytotoxicity versus Redox Potential of 1,4-Naphthoquinone Derivatives. Bioorg. Med. Chem. Lett. 2021, 41, 127976. [Google Scholar] [CrossRef] [PubMed]
- Karki, N.; Aggarwal, S.; Laine, R.A.; Greenway, F.; Losso, J.N. Cytotoxicity of Juglone and Thymoquinone against Pancreatic Cancer Cells. Chem. Biol. Interact. 2020, 327, 109142. [Google Scholar] [CrossRef]
- Pradhan, R.; Dandawate, P.; Vyas, A.; Padhye, S.; Biersack, B.; Schobert, R.; Ahmad, A.; Sarkar, F.H. From Body Art to Anticancer Activities: Perspectives on Medicinal Properties of Henna. Curr. Drug Targets 2012, 13, 1777–1798. [Google Scholar] [CrossRef]
- López López, L.I.; Nery Flores, S.D.; Silva Belmares, S.Y.; Sáenz Galindo, A. Naphthoquinones: Biological Properties and Synthesis of Lawsone and Derivates—A Structured Review. Vitae 2014, 21, 248–258. [Google Scholar] [CrossRef]
- Montenegro, R.C.; Araújo, A.J.; Molina, M.T.; Filho, J.D.B.M.; Rocha, D.D.; Lopéz-Montero, E.; Goulart, M.O.F.; Bento, E.S.; Alves, A.P.N.N.; Pessoa, C.; et al. Cytotoxic Activity of Naphthoquinones with Special Emphasis on Juglone and Its 5-O-Methyl Derivative. Chem. Biol. Interact. 2010, 184, 439–448. [Google Scholar] [CrossRef]
- Rahman, M.M.; Islam, M.R.; Akash, S.; Shohag, S.; Ahmed, L.; Supti, F.A.; Rauf, A.; Aljohani, A.S.M.; Al Abdulmonem, W.; Khalil, A.A.; et al. Naphthoquinones and Derivatives as Potential Anticancer Agents: An Updated Review. Chem. Biol. Interact. 2022, 368, 110198. [Google Scholar] [CrossRef] [PubMed]
- Feldmann, C.; Miljković, F.; Yonchev, D.; Bajorath, J. Identifying Promiscuous Compounds with Activity against Different Target Classes. Molecules 2019, 24, 4185. [Google Scholar] [CrossRef] [PubMed]
- Tandon, V.K.; Kumar, S. Recent Development on Naphthoquinone Derivatives and Their Therapeutic Applications as Anticancer Agents. Expert Opin. Ther. Pat. 2013, 23, 1087–1108. [Google Scholar] [CrossRef] [PubMed]









Disclaimer/Publisher’s Note: The statements, opinions and data contained in all publications are solely those of the individual author(s) and contributor(s) and not of MDPI and/or the editor(s). MDPI and/or the editor(s) disclaim responsibility for any injury to people or property resulting from any ideas, methods, instructions or products referred to in the content. |
© 2023 by the authors. Licensee MDPI, Basel, Switzerland. This article is an open access article distributed under the terms and conditions of the Creative Commons Attribution (CC BY) license (https://creativecommons.org/licenses/by/4.0/).
Share and Cite
Durán, A.G.; Chinchilla, N.; Simonet, A.M.; Gutiérrez, M.T.; Bolívar, J.; Valdivia, M.M.; Molinillo, J.M.G.; Macías, F.A. Biological Activity of Naphthoquinones Derivatives in the Search of Anticancer Lead Compounds. Toxins 2023, 15, 348. https://doi.org/10.3390/toxins15050348
Durán AG, Chinchilla N, Simonet AM, Gutiérrez MT, Bolívar J, Valdivia MM, Molinillo JMG, Macías FA. Biological Activity of Naphthoquinones Derivatives in the Search of Anticancer Lead Compounds. Toxins. 2023; 15(5):348. https://doi.org/10.3390/toxins15050348
Chicago/Turabian StyleDurán, Alexandra G., Nuria Chinchilla, Ana M. Simonet, M. Teresa Gutiérrez, Jorge Bolívar, Manuel M. Valdivia, José M. G. Molinillo, and Francisco A. Macías. 2023. "Biological Activity of Naphthoquinones Derivatives in the Search of Anticancer Lead Compounds" Toxins 15, no. 5: 348. https://doi.org/10.3390/toxins15050348
APA StyleDurán, A. G., Chinchilla, N., Simonet, A. M., Gutiérrez, M. T., Bolívar, J., Valdivia, M. M., Molinillo, J. M. G., & Macías, F. A. (2023). Biological Activity of Naphthoquinones Derivatives in the Search of Anticancer Lead Compounds. Toxins, 15(5), 348. https://doi.org/10.3390/toxins15050348

