Comparative Analysis of Machine Learning Methods to Predict Growth of F. sporotrichioides and Production of T-2 and HT-2 Toxins in Treatments with Ethylene-Vinyl Alcohol Films Containing Pure Components of Essential Oils
Abstract
:1. Introduction
2. Results
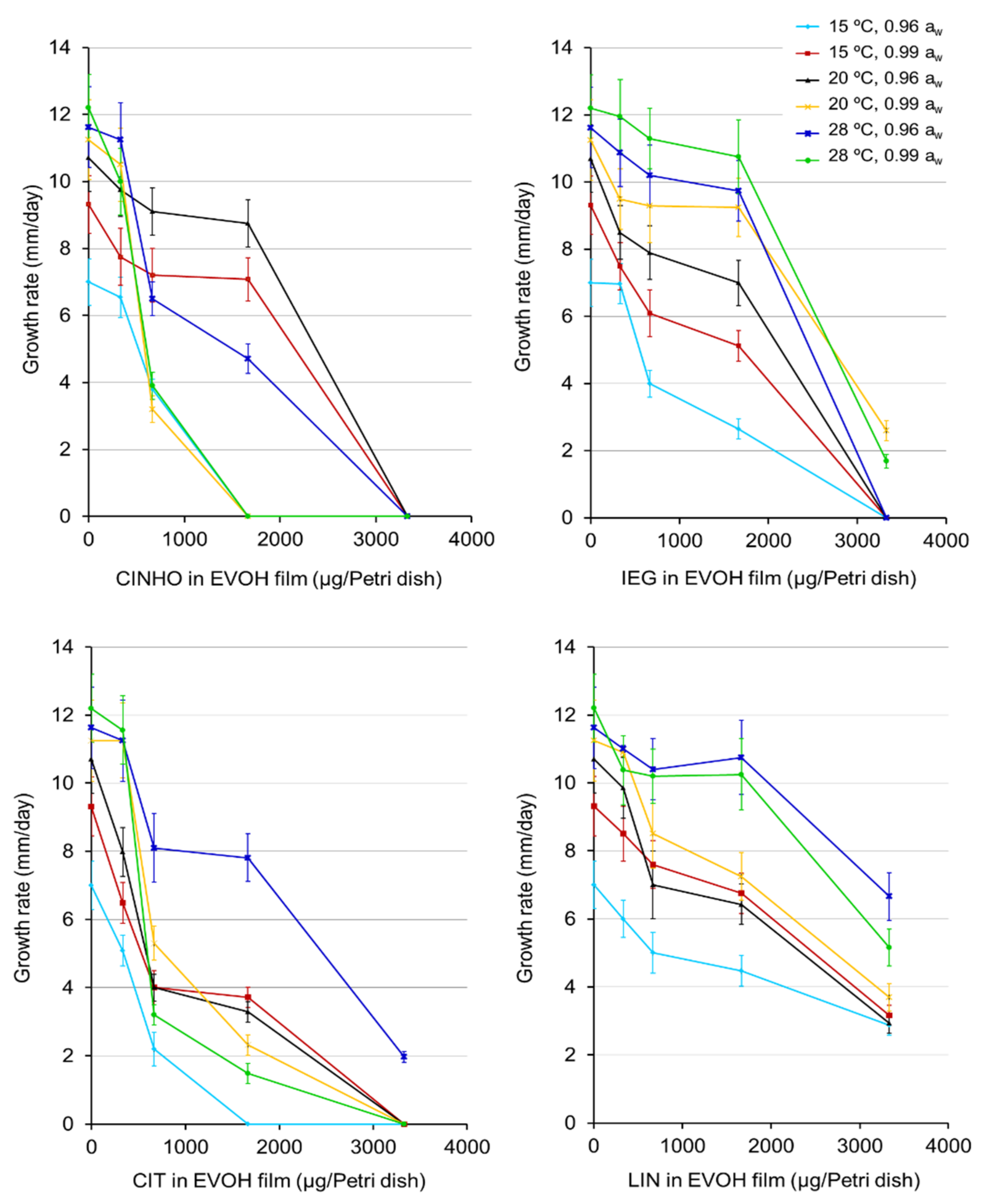
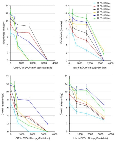
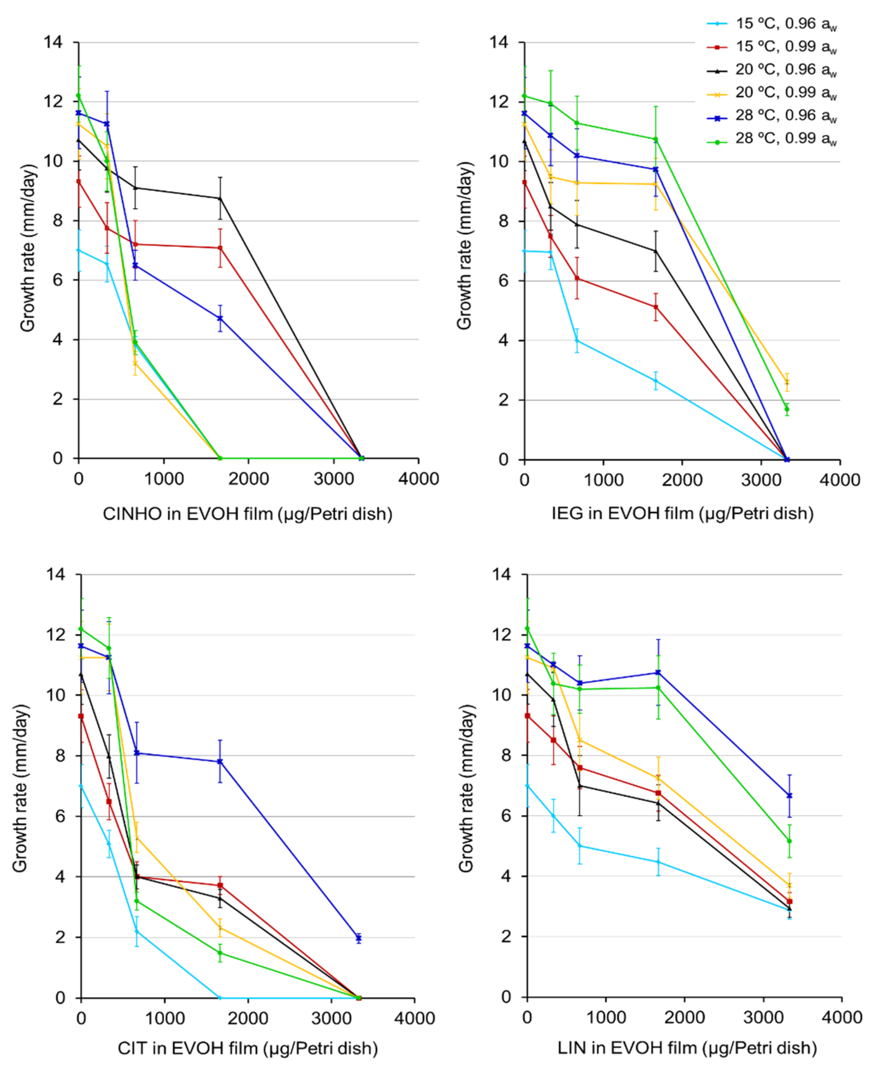
2.1. Effect of EVOH Films Incorporating Cinnamaldehyde, Citral, Isoeugenol or Linalool on F. sporotrichioides Growth
2.2. Effect of EVOH Films Incorporating Cinnamaldehyde, Citral, Isoeugenol or Linalool on T-2 and HT-2 Production by F. sporotrichioides
2.3. Prediction of F. sporotrichioides GR and T-2 and HT-2 Production Using ML Algorithms
3. Discussion
4. Conclusions
5. Materials and Methods
5.1. Film Preparation
5.2. Standards and Reagents
5.3. Inoculum Preparation
5.4. Preparation of Fungal Cultures with Different EVOH Films and aw Levels
5.5. Effect of Treatments on Fungal Growth
5.6. Effect of Treatments on Production of T-2 and HT-2 Toxins
5.6.1. Mycotoxin Determination in Oat Cultures
5.6.2. UPLC-MS/MS Conditions
5.7. Statistics and Data Treatment
5.7.1. Analysis of Variance
5.7.2. ML Models Tested
Supplementary Materials
Author Contributions
Funding
Institutional Review Board Statement
Informed Consent Statement
Data Availability Statement
Acknowledgments
Conflicts of Interest
References
- Yli-Mattila, T.; Paavanen-Huhtala, S.; Parikka, P.; Konstantinova, P.; Gagkaeva, T.Y. Molecular and morphological diversity of Fusarium species in Finland and north-western Russia. Eur. J. Plant Pathol. 2004, 110, 573–585. [Google Scholar] [CrossRef]
- Kokkonen, M.; Jestoi, M.; Laitila, A. Mycotoxin production of Fusarium langsethiae and Fusarium sporotrichioides on cere-al-based substrates. Mycotox. Res. 2012, 28, 25–35. [Google Scholar] [CrossRef]
- Torp, M.; Nirenberg, H.I. Fusarium langsethiae sp. nov. on cereals in Europe. Int. J. Food Microbiol. 2004, 95, 247–256. [Google Scholar] [CrossRef] [PubMed]
- Thrane, U.; Adler, A.; Clasen, P.-E.; Galvano, F.; Langseth, W.; Lew, H.; Logrieco, A.F.; Nielsen, K.F.; Ritieni, A. Diversity in metabolite production by Fusarium langsethiae, Fusarium poae, and Fusarium sporotrichioides. Int. J. Food Microbiol. 2004, 95, 257–266. [Google Scholar] [CrossRef] [PubMed]
- Nazari, L.; Pattori, E.; Terzi, V.; Morcia, C.; Rossi, V. Influence of temperature on infection, growth, and mycotoxin production by Fusarium langsethiae and F. sporotrichioides in durum wheat. Food Microbiol. 2014, 39, 19–26. [Google Scholar] [CrossRef] [PubMed]
- Ferruz, E.; Atanasova-Pénichon, V.; Bonnin-Verdal, M.; Marchegay, G.; Pinson-Gadais, L.; Ducos, C.; Lorán, S.; Arino, A.; Barreau, C.; Richard-Forget, F. Effects of Phenolic Acids on the Growth and Production of T-2 and HT-2 Toxins by Fusarium langsethiae and F. sporotrichioides. Molecules 2016, 21, 449. [Google Scholar] [CrossRef] [Green Version]
- Yli-Mattila, T.; Ward, T.J.; O’Donnell, K.; Proctor, R.H.; Burkin, A.A.; Kononenko, G.P.; Gavrilova, O.P.; Aoki, T.; McCormick, S.P.; Gagkaeva, T.Y. Fusarium sibiricum sp. nov, a novel type A trichothecene-producing Fusarium from northern Asia closely related to F. sporotrichioides and F. langsethiae. Int. J. Food Microbiol. 2011, 147, 58–68. [Google Scholar] [CrossRef] [PubMed]
- Schuhmacher-Wolz, U.; Heine, K.; Schneider, K. Report on toxicity data on trichothecene mycotoxins HT-2 and T-2 toxins. EFSA Support. Publ. 2010, 7. [Google Scholar] [CrossRef]
- Kuca, K.; Dohnal, V.; Jezkova, A.; Jun, D. Metabolic Pathways of T-2 Toxin. Curr. Drug Metab. 2008, 9, 77–82. [Google Scholar] [CrossRef]
- Königs, M.; Mulac, D.; Schwerdt, G.; Gekle, M.; Humpf, H.U. Metabolism and cytotoxic effects of T-2 toxin and its metabolites on human cells in primary culture. Toxicology 2009, 258, 106–115. [Google Scholar] [CrossRef]
- European Commission. Commission Recommendation of 27 March 2013 on the presence of T-2 and HT-2 toxin in cereals and cereal products (2013/165/EU). Off. J. Eur. Union 2013, L91, 12–15. [Google Scholar]
- Gottschalk, C.; Barthel, J.; Engelhardt, G.; Bauer, J.; Meyer, K. Occurrence of type A trichothecenes in conventionally and organically produced oats and oat products. Mol. Nutr. Food Res. 2007, 51, 1547–1553. [Google Scholar] [CrossRef] [PubMed]
- Edwards, S.G. Fusarium mycotoxin content in UK organic and conventional wheat. Food Addit. Contam. 2009, 26, 496–506. [Google Scholar] [CrossRef] [Green Version]
- Edwards, S. Fusarium mycotoxin content of UK organic and conventional oats. Food Addit. Contam. 2009, 26, 1063–1069. [Google Scholar] [CrossRef] [Green Version]
- Edwards, S.G. Fusarium mycotoxin content in UK organic and conventional barley. Food Addit. Contam. 2009, 26, 1185–1190. [Google Scholar] [CrossRef] [Green Version]
- Scudamore, K.A.; Patel, S.; Edwards, S.G. HT-2 toxin and T-2 toxin in commercial cereal processing in the United Kingdom, 2007. World Mycotox. J. 2009, 2, 357–365. [Google Scholar] [CrossRef]
- Ostry, V.; Dofkova, M.; Blahova, J.; Malir, F.; Kavrik, R.; Rehurkova, I.; Ruprich, J. Dietary exposure assessment of sum deoxynivalenol forms, sum T-2/HT-2 toxins and zearalenone from cereal-based foods and beer. Food Chem. Toxicol. 2020, 139, 111280. [Google Scholar] [CrossRef]
- Tarazona, A.; Gómez, J.V.; Mateo, F.; Jiménez, M.; Romera, D.; Mateo, E.M. Study on mycotoxin contamination of maize kernels in Spain. Food Control. 2020, 118, 107370. [Google Scholar] [CrossRef]
- Mateo, E.M.; Valle-Algarra, F.; Mateo, R.; Jiménez, M.; Magan, N. Effect of fenpropimorph, prochloraz and tebuconazole on growth and production of T-2 and HT-2 toxins by Fusarium langsethiae in oat-based medium. Int. J. Food Microbiol. 2011, 151, 289–298. [Google Scholar] [CrossRef] [PubMed] [Green Version]
- Mateo, E.; Valle-Algarra, F.; Jiménez, M.; Magan, N. Impact of three sterol-biosynthesis inhibitors on growth of Fusarium langsethiae and on T-2 and HT-2 toxin production in oat grain under different ecological conditions. Food Control. 2013, 34, 521–529. [Google Scholar] [CrossRef]
- Nazari, L.; Manstretta, V.; Rossi, V. A non-linear model for temperature-dependent sporulation and T-2 and HT-2 production of Fusarium langsethiae and Fusarium sporotrichioides. Fungal Biol. 2016, 120, 562–571. [Google Scholar] [CrossRef]
- Kokkonen, M.; Ojala, L.; Parikka, P.; Jestoi, M. Mycotoxin production of selected Fusarium species at different culture conditions. Int. J. Food Microbiol. 2010, 143, 17–25. [Google Scholar] [CrossRef]
- Chen, K.; Zhang, M.; Bhandari, B.; Mujumdar, A.S. Edible flower essential oils: A review of chemical compositions, bioactivities, safety and applications in food preservation. Food Res. Int. 2021, 139, 109809. [Google Scholar] [CrossRef] [PubMed]
- Gómez, J.V.; Tarazona, A.; Mateo-Castro, R.; Gimeno-Adelantado, J.V.; Jiménez, M.; Mateo, E.M. Selected plant essential oils and their main active components, a promising approach to inhibit aflatoxigenic fungi and aflatoxin production in food. Food Addit. Contam. Part A 2018, 35, 1581–1595. [Google Scholar] [CrossRef] [PubMed]
- Falleh, H.; Ben Jemaa, M.; Saada, M.; Ksouri, R. Essential oils: A promising eco-friendly food preservative. Food Chem. 2020, 330, 127268. [Google Scholar] [CrossRef] [PubMed]
- Patrignania, F.; Sirolia, L.; Serrazanettib, D.I.; Gardinia, F.; Lanciottia, R. Innovative strategies based on the use of essential oils and their components to improve safety, shelf-life and quality of minimally processed fruits and vegetables. Trends Food Sci. Technol. 2015, 46, 311–319. [Google Scholar] [CrossRef]
- Mishra, A.P.; Sharifi-Rad, M.; Shariati, M.A.; Mabkhot, Y.; Al-Showiman, S.S.; Rauf, A.; Salehi, B.; Župunski, M.; Sharifi-Rad, M.; Gusain, P.; et al. Bioactive compounds and health benefits of edible Rumex species—A review. Cell. Mol. Biol. 2018, 64, 27–34. [Google Scholar] [CrossRef] [Green Version]
- Hyldgaard, M.; Mygind, T.; Meyer, R.L. Essential oils in food preservation: Mode of action, synergies, and interactions with food matrix components. Front. Microbiol. 2012, 3, 12. [Google Scholar] [CrossRef] [PubMed] [Green Version]
- Heras-Mozos, R.; Muriel-Galet, V.; López-Carballo, G.; Catalá, R.; Hernandez-Muñoz, P.; Gavara, R. Active EVOH/PE bag for sliced pan loaf based on garlic as antifungal agent and bread aroma as aroma corrector. Food Packag. Shelf Life 2018, 18, 125–130. [Google Scholar] [CrossRef] [Green Version]
- Ju, J.; Xie, Y.; Guo, Y.; Cheng, Y.; Qian, H.; Yao, W. Application of edible coating with essential oil in food preservation. Crit. Rev. Food Sci. Nutr. 2019, 59, 2467–2480. [Google Scholar] [CrossRef]
- Ju, J.; Chen, X.; Xie, Y.; Yu, H.; Guo, Y.; Cheng, Y.; Qian, H.; Yao, W. Application of essential oil as a sustained release preparation in food packaging. Trends Food Sci. Technol. 2019, 92, 22–32. [Google Scholar] [CrossRef]
- Salgado, P.R.; Di Giorgio, L.; Musso, Y.S.; Mauri, A.N. Recent Developments in Smart Food Packaging Focused on Biobased and Biodegradable Polymers. Front. Sustain. Food Syst. 2021, 5, 630393. [Google Scholar] [CrossRef]
- Zanetti, M.; Carniel, T.K.; DalCanton, F.; Dos Anjos, R.S.; Riella, H.G.; De Araújo, P.H.; De Oliveira, D.; Fiori, M.A. Use of encapsulated natural compounds as antimicrobial additives in food packaging: A brief review. Trends Food Sci. Technol. 2018, 81, 50–61. [Google Scholar] [CrossRef]
- Puente, J.S.; Fatyeyeva, K.; Marais, S.; Dargent, E. Multifunctional hydrolyzed EVA membranes with tunable microstructure and water barrier properties. J. Membr. Sci. 2015, 480, 93–103. [Google Scholar] [CrossRef]
- Ge, C.; Popham, J. A Review and Evaluation of Prediction Models of Gas Permeation for a Blended Flexible Packaging Film. Packag. Technol. Sci. 2016, 29, 247–262. [Google Scholar] [CrossRef]
- Blanchard, A.; Gouanvé, F.; Espuche, E. Effect of humidity on mechanical, thermal and barrier properties of EVOH films. J. Membr. Sci. 2017, 540, 1–9. [Google Scholar] [CrossRef]
- Mateo, E.M.; Gómez, J.V.; Domínguez, I.; Gimeno-Adelantado, J.V.; Mateo-Castro, R.; Gavara, R.; Jiménez, M. Impact of bioactive packaging systems based on EVOH films and essential oils in the control of aflatoxigenic fungi and aflatoxin pro-duction in maize. Int. J. Food Microbiol. 2017, 254, 36–46. [Google Scholar] [CrossRef] [Green Version]
- Tarazona, A.; Gómez, J.V.; Gavara, R.; Mateo-Castro, R.; Gimeno-Adelantado, J.V.; Jiménez, M.; Mateo, E.M. Risk management of ochratoxigenic fungi and ochratoxin A in maize grains by bioactive EVOH films containing individual components of some essential oils. Int. J. Food Microbiol. 2018, 269, 107–119. [Google Scholar] [CrossRef]
- Tarazona, A.; Mateo, E.M.; Gómez, J.V.; Gavara, R.; Jiménez, M.; Mateo, F. Machine learning approach for predicting Fusarium culmorum and F. proliferatum growth and mycotoxin production in treatments with ethylene-vinyl alcohol copolymer films containing pure components of essential oils. Int. J. Food Microbiol. 2021, 338, 109012. [Google Scholar] [CrossRef]
- Heras-Mozos, R.; Muriel-Galet, V.; López-Carballo, G.; Catalá, R.; Hernández-Muñoz, P.; Gavara, R. Development and optimization of antifungal packaging for sliced pan loaf based on garlic as active agent and bread aroma as aroma corrector. Int. J. Food Microbiol. 2019, 290, 42–48. [Google Scholar] [CrossRef] [PubMed] [Green Version]
- Batey, I. Maintaining grain quality during storage and transport. In Woodhead Publishing Series in Food Science, Technology and Nutrition, Cereal Grains, 2nd ed.; Wrigley, C., Batey, I., Miskelly, D., Eds.; Woodhead Publishing: Sawston, UK, 2017; pp. 571–590. Available online: https://www.sciencedirect.com/science/article/pii/B9780081007198000206 (accessed on 12 July 2021).
- Ayeni, K.I.; Atanda, O.O.; Krska, R.; Ezekiel, C.N. Present status and future perspectives of grain drying and storage practices as a means to reduce mycotoxin exposure in Nigeria. Food Control 2021, 126, 108074. [Google Scholar] [CrossRef]
- Tice, A.M.; Farah, H.A. Machine learning in microbiology: Finding the signal in the noise. Clin. Microbiol. Newslett. 2019, 41, 121–127. [Google Scholar] [CrossRef]
- Qu, K.; Guo, F.; Liu, X.; Lin, Y.; Zou, Q. Application of Machine Learning in Microbiology. Front. Microbiol. 2019, 10, 827. [Google Scholar] [CrossRef] [PubMed]
- Smith, K.P.; Wang, H.; Durant, T.J.; Mathison, B.A.; Sharp, S.E.; Kirby, J.E.; Long, S.W.; Rhoads, D.D. Applications of Artificial Intelligence in Clinical Microbiology Diagnostic Testing. Clin. Microbiol. Newsl. 2020, 42, 61–70. [Google Scholar] [CrossRef]
- Schmidt, J.; Marques, M.R.G.; Botti, S.; Marques, M.L.A. Recent advances and applications of machine learning in solid-state materials science. Npj Comput. Mater. 2019, 5, 83. [Google Scholar] [CrossRef]
- Panagou, E.Z.; Kodogiannis, V.; Nychas, G.J.E. Modelling fungal growth using radial basis function neural networks: The case of the ascomycetous fungal Monascus ruber van Tiegham. Int. J. Food Microbiol. 2007, 117, 276–286. [Google Scholar] [CrossRef]
- Panagou, E.; Kodogiannis, V. Application of neural networks as a non-linear modelling technique in food mycology. Expert Syst. Appl. 2009, 36, 121–131. [Google Scholar] [CrossRef]
- Mateo, F.; Gadea, R.; Medina, A.; Mateo, R.; Jiménez, M. Predictive assessment of ochratoxin A accumulation in grape juice based-medium by Aspergillus carbonarius using neural networks. J. Appl. Microbiol. 2009, 107, 915–927. [Google Scholar] [CrossRef]
- Mateo, F.; Gadea-Gironés, R.; Mateo, E.M.; Jiménez, M. Multilayer perceptron neural networks and radial-basis function networks as tools to forecast accumulation of deoxynivalenol in barley seeds contaminated with Fusarium culmorum. Food Control. 2011, 22, 88–95. [Google Scholar] [CrossRef]
- Breiman, L. Random forests. Mach. Learn. 2001, 45, 5–32. [Google Scholar] [CrossRef] [Green Version]
- Meher, P.K.; Sahu, T.K.; Gahoi, S.; Tomar, R.; Rao, A.R. funbarRF: DNA barcode-based fungal species prediction using multiclass Random Forest supervised learning model. BMC Genet. 2019, 20, 2. [Google Scholar] [CrossRef]
- Tarazona, A.; Mateo, E.M.; Gómez, J.V.; Romera, D.; Mateo, F. Potential use of machine learning methods in assessment of Fusarium culmorum and Fusarium proliferatum growth and mycotoxin production in treatments with antifungal agents. Fungal Biol. 2021, 125, 123–133. [Google Scholar] [CrossRef] [PubMed]
- Opoku, N.; Back, M.A.; Edwards, S.G. Susceptibility of cereal species to Fusarium langsethiae under identical field conditions. Eur. J. Plant Pathol. 2017, 150, 869–879. [Google Scholar] [CrossRef]
- Kokkonen, M.; Medina-Vaya, A.; Magan, N. Comparative study of water and temperature relations of growth and T-2/HT-2 toxin production by strains of Fusarium sporotrichioides and Fusarium langsethiae. World Mycotoxin J. 2012, 5, 365–372. [Google Scholar] [CrossRef]
- Schwabe, M.; Krämer, J. Influence of water activity on the production of T-2 Toxin by Fusarium sporotrichioides. Mycotoxin Res. 1995, 11, 48–52. [Google Scholar] [CrossRef] [PubMed]
- Degola, F.; Morcia, C.; Bisceglie, F.; Mussi, F.; Tumino, G.; Ghizzoni, R.; Pelosi, G.; Terzi, V.; Buschini, A.; Restivo, F.M.; et al. In vitro evaluation of the activity of thiosemicarbazone derivatives against mycotoxigenic fungi affecting cereals. Int. J. Food Microbiol. 2015, 200, 104–111. [Google Scholar] [CrossRef] [PubMed]
- Krstić, G.; AnCelkovi, B.; Choi, Y.H.; Vajs, V.; Stevi, T.; Teseví, V.; GoCeva, D. Metabolic changes in Euphorbia palustris latex after fungal infection. Phytochemistry 2016, 131, 17–25. [Google Scholar] [CrossRef]
- Sharma, A.; Rajendran, S.; Srivastava, A.; Sharma, S.; Kundu, B. Antifungal activities of selected essential oils against Fusarium oxysporum f. sp. lycopersici 1322, with emphasis on Syzygium aromaticum essential oil. J. Biosci. Bioeng. 2017, 123, 308–313. [Google Scholar] [CrossRef]
- Manganyi, M.C.; Regnier, T.; Olivier, E.I. Antimicrobial activities of selected essential oils against Fusarium oxysporum isolates and their biofilms. S. Afr. J. Bot. 2015, 99, 115–121. [Google Scholar] [CrossRef]
- Xing, F.; Hua, H.; Selvaraj, J.N.; Zhao, Y.; Zhou, L.; Liu, X.; Liu, Y. Growth inhibition and morphological alterations of Fusarium verticillioides by cinnamon oil and cinnamaldehyde. Food Control 2014, 46, 343–350. [Google Scholar] [CrossRef]
- Hashem, M.; Moharam, A.; Zaied, A.; Saleh, F. Efficacy of essential oils in the control of cumin root rot disease caused by Fusarium spp. Crop. Prot. 2010, 29, 1111–1117. [Google Scholar] [CrossRef]
- Dambolena, J.; Zunino, M.; López, A.G.; Rubinstein, H.; Zygadlo, J.A.; Mwangi, J.W.; Thoithi, G.N.; Kibwage, I.; Mwalukumbi, J.M.; Kariuki, S.T. Essential oils composition of Ocimum basilicum L. and Ocimum gratissimum L. from Kenya and their inhibitory effects on growth and fumonisin production by Fusarium verticillioides. Innov. Food Sci. Emerg. Technol. 2010, 11, 410–414. [Google Scholar] [CrossRef]
- Vilaplana, R.; Pérez-Revelo, K.; Valencia-Chamorro, S. Essential oils as an alternative postharvest treatment to control fusariosis, caused by Fusarium verticillioides, in fresh pineapples (Ananas comosus). Sci. Hortic. 2018, 238, 255–263. [Google Scholar] [CrossRef]
- Hope, R.; Jestoi, M.; Magan, N. Multitarget environmental approach for control of growth and toxin production by Fusarium culmorum using essential oils and antioxidants. In Advances in Stored Product Protection, Proceedings of the 8th International Working Conference on Stored Product Protection, York, UK, 22–26 July 2002; Credland, P.F., Armitage, D.M., Bell, C.H., Cogan, P.M., Highley, E., Eds.; CABI Publishing: Cambridge, MA, 2003; pp. 486–492. [Google Scholar]
- Catalá, R.; Muriel-Galet, V.; Cerisuelo, J.P.; Domínguez, I.; Carballo, G.; Hernandez-Muñoz, P.; Gavara, R. Antimicrobial Active Packaging Systems Based on EVOH Copolymers. In Antimicrobial Food Packaging; Barros-Velázquez, J., Ed.; Academic Press: London, UK; Oxford, UK; Boston, MA, USA; New York, NY, USA; San Diego, CA, USA, 2016; pp. 297–303. [Google Scholar]
- Srisa, A.; Harnkarnsujarit, N. Antifungal films from trans-cinnamaldehyde incorporated poly(lactic acid) and poly(butylene adipate-co-terephthalate) for bread packaging. Food Chem. 2020, 333, 127537. [Google Scholar] [CrossRef]
- Balaguer, M.P.; Lopez-Carballo, G.; Catalá, R.; Gavara, R.; Hernández-Munoz, P. Antifungal properties of gliadin films incorporating cinnamaldehyde and application in active food packaging of bread and cheese spread foodstuffs. Int. J. Food Microbiol. 2013, 166, 369–377. [Google Scholar] [CrossRef] [PubMed]
- Liu, J.; Wu, J.; Liu, S.; Li, M.; Hu, K.; Li, K. Predicting mortality of patients with acute kidney injury in the ICU using XGBoost model. PLoS ONE 2021, 16, e0246306. [Google Scholar] [CrossRef]
- Zheng, B.; Cai, Y.; Zeng, F.; Lin, M.; Zheng, J.; Chen, W.; Qin, G.; Guo, Y. An interpretable model-based prediction of severity and crucial factors in patients with COVID-19. Biomed. Res. Int. 2021, 8840835. [Google Scholar]
- Pourhomayoun, M.; Shakibi, M. Predicting mortality risk in patients with COVID-19 using machine learning to help medical decision-making. Smart Health 2021, 20, 100178. [Google Scholar] [CrossRef]
- Leggieri, M.C.; Mazzoni, M.; Battilani, P. Machine Learning for Predicting Mycotoxin Occurrence in Maize. Front. Microbiol. 2021, 12, 661132. [Google Scholar] [CrossRef]
- Cerisuelo, J.P.; Muriel-Galet, V.; Bermúdez, J.M.; Aucejo, S.; Catalá, R.; Gavara, R.; Hernández-Muñoz, P. Mathematical model to describe the release of an antimicrobial agent from an active package constituted by carvacrol in a hydrophilic EVOH coating on a PP film. J. Food Eng. 2012, 110, 26–37. [Google Scholar] [CrossRef]
- Romera, D.; Mateo, E.M.; Mateo-Castro, R.; Gómez, J.V.; Gimeno-Adelantado, J.V.; Jiménez, M. Determination of multiple mycotoxins in feedstuffs by combined use of UPLC–MS/MS and UPLC–QTOF–MS. Food Chem. 2018, 267, 140–148. [Google Scholar] [CrossRef] [PubMed]
- Günther, F.; Fritsch, S. neuralnet: Training of Neural Networks. R. J. 2010, 2, 30–38. [Google Scholar] [CrossRef] [Green Version]
- Liaw, A.; Wiener, M.C. Classification and regression by random Forest. R News 2002, 2, 18–22. [Google Scholar]
- Chen, T.; Guestrin, C. XGBoost: A Scalable Tree Boosting System. In Proceedings of the 22nd ACM SIGKDD International Conference on Knowledge Discovering and Data Mining, KDD ’16, San Francisco, CA, USA, 13–17 August 2016; pp. 785–794. [Google Scholar] [CrossRef] [Green Version]
- Kuhn, M.; Wing, J.; Weston, S.; Williams, A.; Keefer, C.; Engelhardt, A.; Cooper, T.; Mayer, Z.; Kenkel, B.; the R Core Team; et al. Caret: Classification and Regression training, R package version; 2016, 6.0–71. Available online: https://CRAN.R-project.org/package=caret (accessed on 12 November 2020).
- Fox, J. 2010. Available online: https://socialsciences.mcmaster.ca/jfox/Courses/SPIDA/dummy-regression-notes.pdf (accessed on 2 April 2021).





| Temp. (°C) | aw | Individual Components of Essential Oils in EVOH Films | |||||||||||
|---|---|---|---|---|---|---|---|---|---|---|---|---|---|
| CINHO | IEG | CIT | LIN | ||||||||||
| ED50 | ED90 | ED100 | ED50 | ED90 | ED100 | ED50 | ED90 | ED100 | ED50 | ED90 | ED100 | ||
| 15 | 0.96 | 745 | 1480 | 1665 | 1030 | 2890 | 3330 | 515 | 1350 | 1665 | 2680 | >3330 | >3330 |
| 0.99 | 2240 | 3120 | 3330 | 1820 | 3035 | 3330 | 580 | 2910 | 3330 | 2640 | >3330 | >3330 | |
| 20 | 0.96 | 2310 | 3130 | 3330 | 2065 | 3080 | 3330 | 555 | 2790 | 3330 | 2175 | >3330 | >3330 |
| 0.99 | 555 | 1315 | 1665 | 2585 | >3330 | >3330 | 650 | 2525 | 3330 | 2430 | >3330 | >3330 | |
| 28 | 0.96 | 1050 | 2920 | 3330 | 2340 | 3130 | 3330 | 2235 | >3330 | >3330 | >3330 | >3330 | >3330 |
| 0.99 | 545 | 1350 | 1665 | 2520 | >3330 | >3330 | 550 | 1975 | 3330 | 3025 | >3330 | >3330 | |
| Mycotoxin | Mean Retention Time (Min) | LOD (ng/g) | LOQ (ng/g) | Mean Recovery (%) | Mean RSDr |
|---|---|---|---|---|---|
| T-2 toxin | 7.72 | 4.0 | 12 | 95.8 | 8.5 |
| HT-2 toxin | 7.04 | 1.5 | 4.6 | 97.4 | 4.7 |
| Output Variable | ML Model Tested | Best Model Parameters | RMSE a | R2 b |
|---|---|---|---|---|
| GR | NN c | size = 5, decay = 0.4 | 1.444 | 0.865 |
| RF d | ntree = 500, mtry = 4 | 1.260 | 0.899 | |
| XGBoost e | max_depth = 6, eta = 0.1, subsample = 1 | 1.160 | 0.919 | |
| SVM f | C = 1 | 1.540 | 0.849 | |
| MLR g | 1.708 | 0.810 | ||
| T-2 production | NN | size = 2, decay = 0.2 | 0.569 | 0.794 |
| RF | ntree = 500, mtry = 4 | 0.401 | 0.903 | |
| XGBoost | max_depth = 2, eta = 0.1, subsample = 1 | 0.481 | 0.858 | |
| SVM | C = 1 | 0.617 | 0.780 | |
| MLR | 0.634 | 0.772 | ||
| HT-2 production | NN | size = 2, decay = 0.01 | 0.589 | 0.725 |
| RF | ntree = 500, mtry = 4 | 0.530 | 0.781 | |
| XGBoost | max_depth = 2, eta = 0.3, subsample = 1 | 0.505 | 0.804 | |
| SVM | C = 1 | 0.548 | 0.778 | |
| MLR | 0.884 | 0.762 |
| ML Model | Parameter Name | Description | Tuning Values |
|---|---|---|---|
| Neural network (perceptron) (NN) | size | Hidden layer units (nodes) | [2,5,10,15,20] |
| decay | Weight decay rate | [0.01, 0.1, 0.2, 0.3, 0.4] | |
| Random forest (RF) | mtry | Number of randomly selected predictors | [2,3,4] |
| ntree | Number of trees | 500 | |
| Support vector machine (SVM) | C | Cost function | [1,2,3] |
| Extreme gradient boosted tree (XGBoost) | nrounds | Number of iterations | 100 |
| max_depth | Maximum tree depth | [1,2,3,4,5,6] | |
| eta | Learning rate (shrinkage) | [0.1, 0.2, 0.3] | |
| gamma | Regularization penalty factor | 0 | |
| colsample_bytree | Fraction of columns to be randomly sampled for each tree | 1 | |
| min_child_weight | Minimum instance weight per node | 0.5 | |
| subsample | Subsample ratio from training set to grow the trees | [0.5, 0.75, 1] | |
| Multiple linear regression (MLR) | Regression coefficients | Estimates of the constants that multiply the predictor variables | To be determined by software |
Publisher’s Note: MDPI stays neutral with regard to jurisdictional claims in published maps and institutional affiliations. |
© 2021 by the authors. Licensee MDPI, Basel, Switzerland. This article is an open access article distributed under the terms and conditions of the Creative Commons Attribution (CC BY) license (https://creativecommons.org/licenses/by/4.0/).
Share and Cite
Mateo, E.M.; Gómez, J.V.; Tarazona, A.; García-Esparza, M.Á.; Mateo, F. Comparative Analysis of Machine Learning Methods to Predict Growth of F. sporotrichioides and Production of T-2 and HT-2 Toxins in Treatments with Ethylene-Vinyl Alcohol Films Containing Pure Components of Essential Oils. Toxins 2021, 13, 545. https://doi.org/10.3390/toxins13080545
Mateo EM, Gómez JV, Tarazona A, García-Esparza MÁ, Mateo F. Comparative Analysis of Machine Learning Methods to Predict Growth of F. sporotrichioides and Production of T-2 and HT-2 Toxins in Treatments with Ethylene-Vinyl Alcohol Films Containing Pure Components of Essential Oils. Toxins. 2021; 13(8):545. https://doi.org/10.3390/toxins13080545
Chicago/Turabian StyleMateo, Eva María, José Vicente Gómez, Andrea Tarazona, María Ángeles García-Esparza, and Fernando Mateo. 2021. "Comparative Analysis of Machine Learning Methods to Predict Growth of F. sporotrichioides and Production of T-2 and HT-2 Toxins in Treatments with Ethylene-Vinyl Alcohol Films Containing Pure Components of Essential Oils" Toxins 13, no. 8: 545. https://doi.org/10.3390/toxins13080545
APA StyleMateo, E. M., Gómez, J. V., Tarazona, A., García-Esparza, M. Á., & Mateo, F. (2021). Comparative Analysis of Machine Learning Methods to Predict Growth of F. sporotrichioides and Production of T-2 and HT-2 Toxins in Treatments with Ethylene-Vinyl Alcohol Films Containing Pure Components of Essential Oils. Toxins, 13(8), 545. https://doi.org/10.3390/toxins13080545

