The Effects of Deoxynivalenol on the Ultrastructure of the Sacculus Rotundus and Vermiform Appendix, as Well as the Intestinal Microbiota of Weaned Rabbits
Abstract
1. Introduction
2. Results
2.1. Effects of DON on Morphology of the SR and VA via Scanning Electron Microscopy (SEM)
2.2. Effects of DON on Morphology of the SR and VA via Transmission Electron Microscopy (TEM)
2.3. Effects of DON on the Intestinal Morphology of Weaning Rabbits
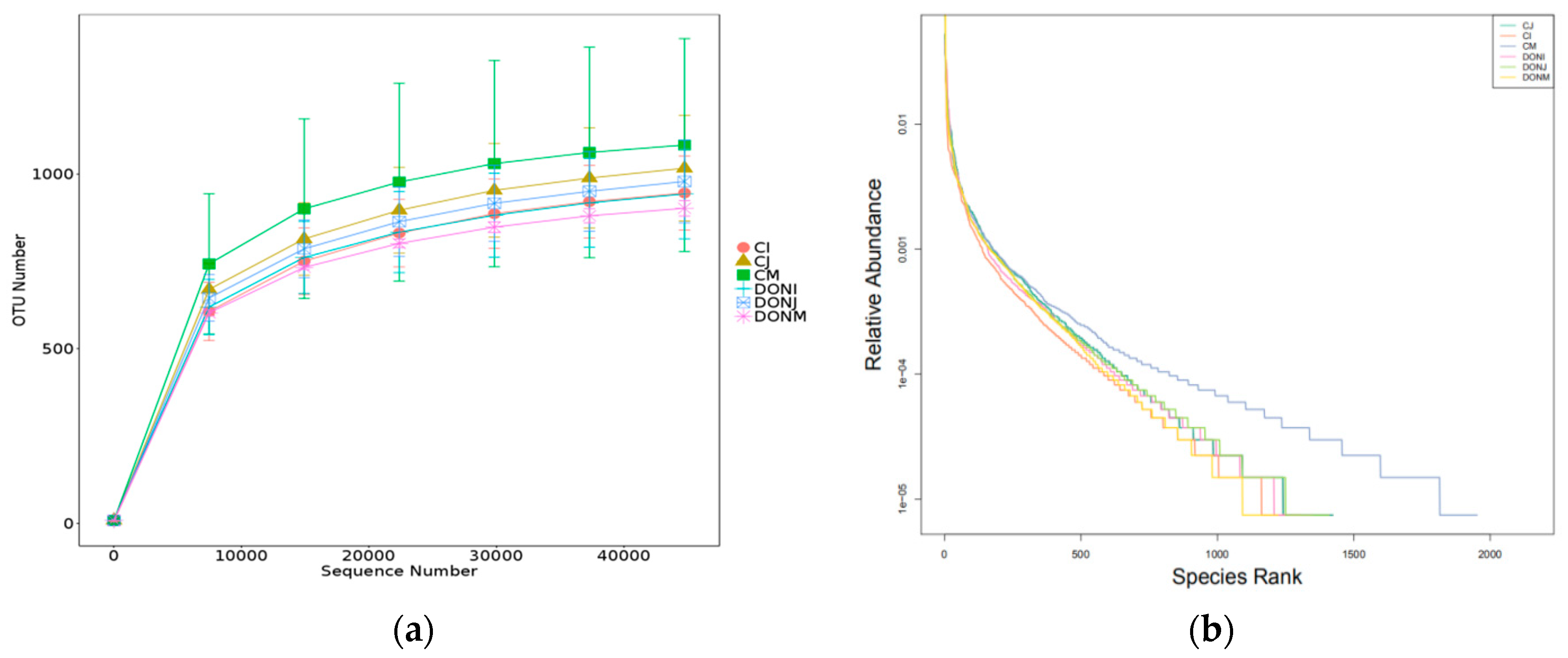
2.4. Analysis of Operational Taxonomic Units (OTUs) and the Alpha Diversity of Samples
2.5. Annotation of Intestinal Bacterial Flora of Weaned Rabbits
2.6. Beta Diversity
3. Discussion
3.1. DON and the Intestinal Barrier
3.2. DON and GALT of Rabbits
3.3. DON, Intestinal Microbiota, and GALT
4. Conclusions
5. Materials and Methods
5.1. Ethics Statement
5.2. Animals and Sampling
5.3. Scanning Electron Microscope
5.4. Transmission Electron Microscopy
5.5. DNA Extraction and 16S rDNA Amplicon Sequencing
5.6. Bioinformatics Analysis
Author Contributions
Funding
Acknowledgments
Conflicts of Interest
References
- Rohweder, D.; Kersten, S.; Valenta, H.; Sondermann, S.; Schollenberger, M.; Drochner, W.; Dänicke, S. Bioavailability of the Fusarium toxin deoxynivalenol (DON) from wheat straw and chaff in pigs. Arch. Anim. Nutr. 2013, 67, 37–47. [Google Scholar] [CrossRef]
- Hathout, A.S.; Aly, S.E. Biological detoxification of mycotoxins: A review. Ann. Microbiol. 2014, 64, 905–919. [Google Scholar] [CrossRef]
- Mézes, M.; Balogh, K. Mycotoxins in rabbit feed: A review. World Rabbit Sci. 2009, 17, 53–62. [Google Scholar]
- Greco, M.V.; Pardo, A.G.; Ludemann, V.; Martino, P.E.; Pose, G.N. Mycoflora and natural incidence of selected mycotoxins in rabbit and Chinchilla feeds. Sci. World J. 2012, 2012, 956056. [Google Scholar] [CrossRef]
- Szabó-Fodor, J.; Kachlek, M.; Cseh, S.; Somoskői, B.; Szabó, A.; Bodnár, Z.B.; Tornyos, G.; Mézes, M.; Balogh, K.; Glávits, R.; et al. Individual and Combined Effects of Subchronic Exposure of Three Fusarium Toxins (Fumonisin B, Deoxynivalenol and Zearalenone) in Rabbit Bucks. J. Clin. Toxicol. 2015, 5, 2–11. [Google Scholar]
- Ghareeb, K.; Awad, W.A.; Bohm, J.; Zebeli, Q. Impacts of the feed contaminant deoxynivalenol on the intestine of monogastric animals: Poultry and swine. J. Appl. Toxicol. 2015, 35, 327–337. [Google Scholar] [CrossRef]
- Lessard, M.; Savard, C.; Deschene, K.; Lauzon, K.; Pinilla, V.; Gagnon, C.A.; Lapointe, J.; Guay, F.; Chorfi, Y. Impact of deoxynivalenol (DON) contaminated feed on intestinal integrity and immune response in swine. Food Chem. Toxicol. 2015, 80, 7–16. [Google Scholar] [CrossRef]
- Liao, Y.; Peng, Z.; Chen, L.; Nüssler, A.K.; Liu, L.; Yang, W. Deoxynivalenol, gut microbiota and immunotoxicity: A potential approach? Food Chem. Toxicol. 2018, 112, 342–354. [Google Scholar] [CrossRef]
- Robert, H.; Payros, D.; Pinton, P.; Théodorou, V.; Mercier-Bonin, M.; Oswald, I.P. Impact of mycotoxins on the intestine: Are mucus and microbiota new targets? J. Toxicol. Environ. Health Part B 2017, 20, 249–275. [Google Scholar] [CrossRef]
- Arrazuria, R.; Pérez, V.; Molina, E.; Juste, R.A.; Khafipour, E.; Elguezabal, N. Diet induced changes in the microbiota and cell composition of rabbit gut associated lymphoid tissue (GALT). Sci. Rep. 2018, 8, 14103. [Google Scholar] [CrossRef]
- Haley, P.J. Species differences in the structure and function of the immune system. Toxicolology 2003, 188, 49–71. [Google Scholar] [CrossRef]
- Butler, J.E.; Šinkora, M. The enigma of the lower gut-associated lymphoid tissue (GALT). J. Leukoc. Biol. 2013, 94, 259–270. [Google Scholar] [CrossRef]
- Smith, H.; Parker, W.; Kotzé, S.H.; Laurin, M. Multiple independent appearances of the cecal appendix in mammalian evolution and an investigation of related ecological and anatomical factors. Comptes Rendus Palevol 2013, 12, 339–354. [Google Scholar] [CrossRef]
- Davies, R.R.; Davies, J.A.E.R. Rabbit gastrointestinal physiology. Vet. Clin. Exot. Anim. 2003, 6, 139–153. [Google Scholar] [CrossRef]
- Beyaz, F.; Liman, N.; Ergün, E.; Ergün, L.; Özbek, M. Intestinal macrophages in Peyer’s patches, sacculus rotundus and appendix of Angora rabbit. Cell Tissue Res. 2017, 370, 285–295. [Google Scholar] [CrossRef]
- Haines, R.A.; Urbiztondo, R.A.; Haynes, R.A.H.; Simpson, E.; Niewiesk, S.; Lairmore, M.D. Characterization of New Zealand White Rabbit Gut-Associated Lymphoid Tissues and use as Viral Oncology Animal Model. ILAR J. 2016, 57, 34–43. [Google Scholar] [CrossRef]
- Li, J.; Butcher, J.; Mack, D.; Stintzi, A. Functional Impacts of the Intestinal Microbiome in the Pathogenesis of Inflammatory Bowel Disease. Inflamm. Bowel Dis. 2015, 21, 139–153. [Google Scholar] [CrossRef]
- Zhu, Y.L.; Wang, C.Y.; Wang, X.P.; Li, B.; Sun, L.Z.; Li, F. Effects of dietary fiber and starch levels on the non-specific immune response of growing rabbits. Livest. Sci. 2013, 155, 285–293. [Google Scholar] [CrossRef]
- Benato, L.; Hastie, P.; O’Shaughnessy, P.; Murray, J.M.D.; Meredith, A.L. Effects of probiotic Enterococcus faecium and Saccharomyces cerevisiae on the faecal microflora of pet rabbits. J. Small Anim. Pract. 2014, 55, 442–446. [Google Scholar] [CrossRef]
- Chung, H.; Pamp, S.J.; Hill, J.A.; Surana, N.K.; Edelman, S.M.; Troy, E.B.; Reading, N.C.; Villablanca, E.J.; Wang, S.; Mora, J.R.; et al. Gut Immune Maturation Depends on Colonization with a Host-Specific Microbiota. Cell 2012, 149, 1578–1593. [Google Scholar] [CrossRef]
- Hanson, N.B.; Lanning, D.K. Microbial induction of B and T cell areas in rabbit appendix. Dev. Comp. Immunol. 2008, 32, 980–991. [Google Scholar] [CrossRef][Green Version]
- Zhai, S.-K.; Lanning, D.K. Diversification of the primary antibody repertoire begins during early follicle development in the rabbit appendix. Mol. Immunol. 2013, 54, 140–147. [Google Scholar] [CrossRef]
- Mage, R.G.; Lanning, D.; Knight, K.L. B cell and antibody repertoire development in rabbits: The requirement of gut-associated lymphoid tissues. Dev. Comp. Immunol. 2006, 30, 137–153. [Google Scholar] [CrossRef]
- Chen, Y.; Kistler, H.C.; Ma, Z. Fusarium graminearum Trichothecene Mycotoxins: Biosynthesis, Regulation, and Management. Annu. Rev. Phytopathol. 2019, 57, 15–39. [Google Scholar] [CrossRef]
- Akbari, P.; Braber, S.; Gremmels, H.; Koelink, P.J.; Verheijden, K.A.T.; Garssen, J.; Fink-Gremmels, J. Deoxynivalenol: A trigger for intestinal integrity breakdown. FASEB J. 2014, 28, 2414–2429. [Google Scholar] [CrossRef]
- Akbari, P.; Braber, S.; Varasteh, S.; Alizadeh, A.; Garssen, J.; Fink-Gremmels, J. The intestinal barrier as an emerging target in the toxicological assessment of mycotoxins. Arch. Toxicol. 2016, 91, 1007–1029. [Google Scholar] [CrossRef]
- Pierron, A.; Alassane-Kpembi, I.; Oswald, I.P. Impact of two mycotoxins deoxynivalenol and fumonisin on pig intestinal health. Porc. Health Manag. 2016, 2, 1–8. [Google Scholar] [CrossRef]
- Pinton, P.; Tsybulskyy, D.; Lucioli, J.; Laffitte, J.; Callu, P.; Lyazhri, F.; Grosjean, F.; Bracarense, A.P.; Kolf-Clauw, M.; Oswald, I.P. Toxicity of Deoxynivalenol and its Acetylated Derivatives on the Intestine: Differential Effects on Morphology, Barrier Function, Tight Junction Proteins, and Mitogen-Activated Protein Kinases. Toxicol. Sci. 2012, 130, 180–190. [Google Scholar] [CrossRef]
- Yang, W.; Huang, L.; Wang, P.; Wu, Z.; Li, F.; Wang, C. The Effect of Low and High Dose Deoxynivalenol on Intestinal Morphology, Distribution, and Expression of Inflammatory Cytokines of Weaning Rabbits. Toxins 2019, 11, 473. [Google Scholar] [CrossRef]
- Fekete, S. Recent findings and future perspectives of digestive physiology in rabbits: A review. Acta Vet. Hung. 1989, 37, 265–279. [Google Scholar]
- Li, F.; Wang, J.; Huang, L.; Chen, H.; Wang, C. Effects of Adding Clostridium sp. WJ06 on Intestinal Morphology and Microbial Diversity of Growing Pigs Fed with Natural Deoxynivalenol Contaminated Wheat. Toxins 2017, 9, 383. [Google Scholar] [CrossRef] [PubMed]
- Maresca, M. From the Gut to the Brain: Journey and Pathophysiological Effects of the Food-Associated Trichothecene Mycotoxin Deoxynivalenol. Toxins 2013, 5, 784–820. [Google Scholar] [CrossRef] [PubMed]
- Sinha, R.K.; Alexander, C.; Mage, R.G. Regulated expression of peripheral node addressin-positive high endothelial venules controls seeding of B lymphocytes into developing neonatal rabbit appendix. Vet. Immunol. Immunopathol. 2006, 110, 97–108. [Google Scholar] [CrossRef]
- Skaggs, H.; Chellman, G.; Collinge, M.; Enright, B.; Fuller, C.; Krayer, J.; Sivaraman, L.; Weinbauer, G. Comparison of immune system development in nonclinical species and humans: Closing information gaps for immunotoxicity testing and human translatability. Reprod. Toxicol. 2019, 89, 178–188. [Google Scholar] [CrossRef]
- Jepson, M.A.; Simmons, N.L.; Hirst, G.L.; Hirst, B.H. Identification of M cells and their distribution in rabbit intestinal Peyer’s patches and appendix. Cell Tissue Res. 1993, 273, 127–136. [Google Scholar] [CrossRef]
- Clark, M.A.; Jepson, M.A. Intestinal M cells and their role in bacterial infection. Int. J. Med. Microbiol. 2003, 293, 17–39. [Google Scholar] [CrossRef]
- Cano, P.M.; Seeboth, J.; Meurens, F.; Cognié, J.; Abrami, R.; Oswald, I.P.; Guzylack-Piriou, L. Deoxynivalenol as a New Factor in the Persistence of Intestinal Inflammatory Diseases: An Emerging Hypothesis through Possible Modulation of Th17-Mediated Response. PLoS ONE 2013, 8, e53647. [Google Scholar] [CrossRef]
- Maresca, M.; Fantini, J. Some food-associated mycotoxins as potential risk factors in humans predisposed to chronic intestinal inflammatory diseases. Toxicon 2010, 56, 282–294. [Google Scholar] [CrossRef]
- Zhu, Y.; Wang, C.; Li, F. Impact of dietary fiber/starch ratio in shaping caecal microbiota in rabbits. Can. J. Microbiol. 2015, 61, 771–784. [Google Scholar] [CrossRef]
- Wang, C.; Zhu, Y.; Li, F.; Huang, L. The Effect of Lactobacillus isolates on growth performance, immune response, intestinal bacterial community composition of growing Rex Rabbits. J. Anim. Physiol. Anim. Nutr. 2017, 101, 1–13. [Google Scholar] [CrossRef]
- Peng, Z.; Chen, L.; Xiao, J.; Zhou, X.; Nüssler, A.K.; Liu, L.; Liu, J.; Yang, W. Review of mechanisms of deoxynivalenol-induced anorexia: The role of gut microbiota. J. Appl. Toxicol. 2017, 37, 1021–1029. [Google Scholar] [CrossRef] [PubMed]
- Fortun-Lamothe, L.; Boullier, S. A review on the interactions between gut microflora and digestive mucosal immunity. Possible ways to improve the health of rabbits. Livest. Sci. 2007, 107, 1–18. [Google Scholar] [CrossRef]
- Bryla, M.; Waskiewicz, A.; Ksieniewicz-Wozniak, E.; Szymczyk, K.; Jedrzejczak, R. Modified Fusarium Mycotoxins in Cereals and Their Products-Metabolism, Occurrence, and Toxicity: An Updated Review. Molecules 2018, 23, 963. [Google Scholar] [CrossRef] [PubMed]
- Caporaso, J.G.; Lauber, C.L.; Walters, W.A.; Berg-Lyons, D.; Lozupone, C.A.; Turnbaugh, P.J.; Fierer, N.; Knight, R. Global patterns of 16S rRNA diversity at a depth of millions of sequences per sample. Proc. Natl. Acad. Sci. USA 2010, 108, 4516–4522. [Google Scholar] [CrossRef] [PubMed]
- Edgar, R.C. MUSCLE: Multiple sequence alignment with high accuracy and high throughput. Nucleic Acids Res. 2004, 32, 1792–1797. [Google Scholar] [CrossRef]







| Sample Name | Raw PE | Qualified | AvgLen (nt) | Effective (%) | ACE | Shannon Ave | Chao Ave | Simpson | Observed Species | PD-Whole-Tree |
|---|---|---|---|---|---|---|---|---|---|---|
| C-I | 81,336 | 72,142 | 372 | 85.00 | 1022 | 6.03 | 1003 | 0.86 | 945 | 62.5 |
| DON-I | 92,115 | 82,606 | 372 | 86.77 | 1025 | 7.01 | 1023 | 0.97 | 943 | 61.5 |
| C-M | 90,527 | 80,535 | 372 | 84.03 | 1141 | 7.74 | 1125 | 0.99 | 1083 | 71.7 |
| DON-M | 91,563 | 81,786 | 372 | 84.26 | 972 | 6.94 | 955 | 0.96 | 902 | 57.8 |
| C-J | 89,780 | 79,680 | 372 | 83.59 | 1110 | 7.52 | 1097 | 0.98 | 1016 | 65.5 |
| DON-J | 87,995 | 78,616 | 372 | 84.55 | 1061 | 7.14 | 1045 | 0.97 | 978 | 65.5 |
| Component (%) | Nutrition Level (Calculated) | ||
|---|---|---|---|
| Corn-germ powder | 19 | Digestible energy (MJ/kg) | 10.06 |
| Bean pulp | 17 | Total Phosphorus | 0.55 |
| Corn | 14 | Calcium | 0.72 |
| Wheatbran | 13 | Crude fat | 3.34 |
| Rice husk | 10 | Crude ash | 10.45 |
| Alfalfa | 10 | Crude fiber | 18.78 |
| Soybean straw powder | 7 | Crude protein | 20.51 |
| Malt Sprout | 5 | Dry matter | 88.64 |
| Sweet wormwood | 3.5 | ||
| Premix compound 2 | 1.5 | ||
| Total | 100 | ||
| Mycotoxin Content (μg/kg) | |||
| Aflatoxin B1 (AFB1) | 7.08 | ||
| Zearalenone (ZEA) | 257.76 | ||
| Deoxynivalenol (DON) | 23.18 | ||
© 2020 by the authors. Licensee MDPI, Basel, Switzerland. This article is an open access article distributed under the terms and conditions of the Creative Commons Attribution (CC BY) license (http://creativecommons.org/licenses/by/4.0/).
Share and Cite
Wang, C.; Huang, L.; Wang, P.; Liu, Q.; Wang, J. The Effects of Deoxynivalenol on the Ultrastructure of the Sacculus Rotundus and Vermiform Appendix, as Well as the Intestinal Microbiota of Weaned Rabbits. Toxins 2020, 12, 569. https://doi.org/10.3390/toxins12090569
Wang C, Huang L, Wang P, Liu Q, Wang J. The Effects of Deoxynivalenol on the Ultrastructure of the Sacculus Rotundus and Vermiform Appendix, as Well as the Intestinal Microbiota of Weaned Rabbits. Toxins. 2020; 12(9):569. https://doi.org/10.3390/toxins12090569
Chicago/Turabian StyleWang, Chunyang, Libo Huang, Pengwei Wang, Quancheng Liu, and Jinquan Wang. 2020. "The Effects of Deoxynivalenol on the Ultrastructure of the Sacculus Rotundus and Vermiform Appendix, as Well as the Intestinal Microbiota of Weaned Rabbits" Toxins 12, no. 9: 569. https://doi.org/10.3390/toxins12090569
APA StyleWang, C., Huang, L., Wang, P., Liu, Q., & Wang, J. (2020). The Effects of Deoxynivalenol on the Ultrastructure of the Sacculus Rotundus and Vermiform Appendix, as Well as the Intestinal Microbiota of Weaned Rabbits. Toxins, 12(9), 569. https://doi.org/10.3390/toxins12090569

