Comparison of the Effects of Goat Dairy and Cow Dairy Based Breakfasts on Satiety, Appetite Hormones, and Metabolic Profile
Abstract
:1. Introduction
2. Materials and Methods
2.1. Participants
2.2. Study Protocol
2.3. Appetite Profile
2.4. Blood Parameters
2.5. Statistical Analysis
3. Results
3.1. Baseline Characteristics
3.2. Appetite Ratings (VAS)
3.3. Appetite-Related Hormones
3.4. Plasma Metabolites and Insulin
4. Discussion
5. Conclusions
Acknowledgments
Author Contributions
Conflicts of Interest
References
- De la Iglesia, R.; Loria-Kohen, V.; Zulet, M.A.; Martinez, J.A.; Reglero, G.; Ramirez de Molina, A. Dietary strategies implicated in the prevention and treatment of metabolic syndrome. Int. J. Mol. Sci. 2016, 10, 17. [Google Scholar] [CrossRef] [PubMed]
- Grammatikopoulou, M.G.; Papadopoulou, S.K.; Zakas, A.; Mylona, A.; Kapsalis, I. Dietary intake of free-living elderly in northern Greece. J. Nutr. Elder. 2006, 26, 131–146. [Google Scholar] [CrossRef] [PubMed]
- Non Bovine Milk and Milk Products. Edited by Effie Tsakalidou and Konstantino Papadimitriou, 1st ed.; Elsevier: Oxford, UK, 2016. [Google Scholar]
- Selvaggi, M.; Laudadio, V.; Dario, C.; Tufarelli, V. Major proteins in goat milk: An updated overview on genetic variability. Mol. Biol. Rep. 2014, 41, 1035–1048. [Google Scholar] [CrossRef] [PubMed]
- Vita, D.; Passalacqua, G.; Di Pasquale, G.; Caminiti, L.; Crisafulli, G.; Rulli, I.; Pajno, G.B. Ass’s milk in children with atopic dermatitis and cow’s milk allergy: Crossover comparison with goat’s milk. Pediatr. Allergy Immunol. 2007, 18, 594–598. [Google Scholar] [CrossRef] [PubMed]
- Turck, D. Cow’s milk and goat’s milk. World Rev. Nutr. Diet. 2013, 108, 56–62. [Google Scholar] [PubMed]
- Jirillo, F.; Magrone, T. Anti-inflammatory and anti-allergic properties of donkey’s and goat’s milk. Endocr. Metab. Immune Disord. Drug Targets 2014, 14, 27–37. [Google Scholar] [CrossRef] [PubMed]
- Jirillo, F.; Jirillo, E.; Magrone, T. Donkey’s and goat’s milk consumption and benefits to human health with special reference to the inflammatory status. Curr. Pharm. Des. 2010, 16, 859–863. [Google Scholar] [CrossRef] [PubMed]
- Lopez-Aliaga, I.; Alferez, M.J.; Barrionuevo, M.; Nestares, T.; SanzSampelayo, M.R.; Campos, M.S. Study of nutritive utilization of protein and magnesium in rats with resection of the distal small intestine. Beneficial effect of goat milk. J. Dairy Sci. 2003, 86, 2958–2966. [Google Scholar] [CrossRef]
- Drehmer, M.; Pereira, M.A.; Schmidt, M.I.; Del Carmen, B.; Molina, M.; Alvim, S.; Lotufo, P.A.; Duncan, B.B. Associations of dairy intake with glycemia and insulinemia, independent of obesity, in Brazilian adults: The Brazilian longitudinal study of adult health (ELSA-Brasil). Am. J. Clin. Nutr. 2015, 101, 775–782. [Google Scholar] [CrossRef] [PubMed]
- Barrionuevo, M.; Alferez, M.J.; Lopez, A.I.; Sanz, S.M.; Campos, M.S. Beneficial effect of goat milk on nutritive utilization of iron and copper in malabsorption syndrome. J. Dairy Sci. 2002, 85, 657–664. [Google Scholar] [CrossRef]
- St-Onge, M.P.; Jones, P.J. Physiological effects of medium-chain triglycerides: Potential agents in the prevention of obesity. J. Nutr. 2002, 132, 329–332. [Google Scholar] [PubMed]
- Bellissimo, N.; Akhavan, T. Effect of macronutrient composition on short-term food intake and weight loss. Adv. Nutr. 2015, 6, 302S–308S. [Google Scholar] [CrossRef] [PubMed]
- Lemarié, F.; Beauchamp, E.; Legrand, P.; Rioux, V. Revisiting the metabolism and physiological functions of caprylic acid (C8:0) with special focus on ghrelin octanoylation. Biochimie 2016, 120, 40–48. [Google Scholar] [CrossRef] [PubMed]
- Jurgens, T.M.; Whelan, A.M.; Killian, L.; Doucette, S.; Kirk, S.; Foy, E. Green tea for weight loss and weight maintenance in overweight or obese adults. Cochrane Database Syst. Rev. 2012, 12, CD008650. [Google Scholar] [PubMed]
- Veldhorst, M.A.; Nieuwenhuizen, A.G.; Hochstenbach-Waelen, A.; van Vught, A.J.; Westerterp, K.R.; Engelen, M.P.; Brummer, R.J.; Deutz, N.E.; Westerterp-Plantenga, M.S. Dose-dependent satiating effect of whey relative to casein or soy. Physiol. Behav. 2009, 96, 675–682. [Google Scholar] [CrossRef] [PubMed]
- Veldhorst, M.A.; Smeets, A.; Soenen, S.; Hochstenbach-Waelen, A.; Hursel, R.; Diepvens, K.; Lejeune, M.; Luscombe-Marsh, N.; Westerterp-Plantenga, M. Protein-induced satiety: Effects and mechanisms of different proteins. Physiol. Behav. 2008, 94, 300–307. [Google Scholar] [CrossRef] [PubMed]
- Poppitt, S.D.; McCormack, D.; Buffenstein, R. Short-term effects of macronutrient preloads on appetite and energy intake in lean women. Physiol. Behav. 1998, 64, 279–285. [Google Scholar] [CrossRef]
- Halton, T.L.; Hu, F.B. The effects of high protein diets on thermogenesis, satiety and weight loss: A critical review. J. Am. Coll. Nutr. 2004, 23, 373–385. [Google Scholar] [CrossRef] [PubMed]
- Kaviani, S.; Cooper, J.A. Appetite responses to high-fat meals or diets of varying fatty acid composition: A comprehensive review. Eur. J. Clin. Nutr. 2017, 1–12. [Google Scholar] [CrossRef] [PubMed]
- Onvani, S.; Haghighatdoost, F.; Surkan, P.J.; Azadbakht, L. Dairy products, satiety and food intake: A meta-analysis of clinical trials. Clin. Nutr. 2017, 36, 389–398. [Google Scholar] [CrossRef] [PubMed]
- Dougkas, A.; Reynolds, C.K.; Givens, I.D.; Elwood, P.C.; Minihane, A.M. Associations between dairy consumption and body weight: A review of the evidence and underlying mechanisms. Nutr. Res. Rev. 2011, 24, 72–95. [Google Scholar] [CrossRef] [PubMed]
- Stubbs, R.J.; Hughes, D.A.; Johnstone, A.M.; Rowley, E.; Reid, C.; Elia, M.; Stratton, R.; Delargy, H.; King, N.; Blundell, J.E. The use of visual analogue scales to assess motivation to eat in human subjects: A review of their reliability and validity with an evaluation of new hand-held computerized systems for temporal tracking of appetite ratings. Br. J. Nutr. 2000, 84, 405–415. [Google Scholar] [CrossRef] [PubMed]
- Maersk, M.; Belza, A.; Holst, J.J.; Fenger-Grin, M.; Pedersen, S.B.; Astrup, A.; Richelsen, B. Satiety scores and satiety hormone response after sucrose-sweetened soft drink compared with isocaloric semi-skimmed milk and with non-caloric soft drink: A controlled trial. Eur. J. Clin. Nutr. 2012, 66, 523–529. [Google Scholar] [CrossRef] [PubMed]
- Fritz, C.O.; Morris, P.E.; Richler, J.J. Effect size estimates: Current use, calculations, and interpretation. J. Exp. Psychol. Gen. 2012, 141, 2–18. [Google Scholar] [CrossRef] [PubMed]
- Potier, M.; Fromentin, G.; Lesdema, A.; Benamouzig, R.; Tomé, D.; Marsset-Baglieri, A. The satiety effect of disguised liquid preloads administered acutely and differing only in their nutrient content tended to be weaker for lipids but did not differ between proteins and carbohydrates in human subjects. Br. J. Nutr. 2010, 104, 1406–1414. [Google Scholar] [CrossRef] [PubMed]
- Mayer, J. Glucostatic mechanism of regulation of food intake. Obes. Res. 1996, 4, 493–496. [Google Scholar] [CrossRef] [PubMed]
- Papathanasopoulos, A.; Camilleri, M. Dietary fiber supplements: Effects in obesity and metabolic syndrome and relationship to gastrointestinal functions. Gastroenterology 2010, 138, 65–72. [Google Scholar] [CrossRef] [PubMed]
- Poppitt, S.; Strik, C.; MacGibbon, A.; McArdle, B.; Budgett, S.; McGill, A.T. Fatty acid chain length, postprandial satiety and food intake in lean men. Physiol. Behav. 2010, 101, 161–167. [Google Scholar] [CrossRef] [PubMed]
- Bonnema, A.L.; Altschwager, D.K.; Thomas, W.; Slavin, J.L. The effects of thecombination of egg and fiber on appetite, glycemic response and food intake innormal weight adults—A randomized, controlled, crossover trial. Int. J. Food Sci. Nutr. 2016, 67, 723–731. [Google Scholar] [CrossRef] [PubMed]
- Korczak, R.; Lindeman, K.; Thomas, W.; Slavin, J.L. Bran fibers and satiety in women who do not exhibit restrained eating. Appetite 2014, 80, 257–263. [Google Scholar] [CrossRef] [PubMed]
- Veldhorst, M.A.; Nieuwenhuizen, A.G.; Hochstenbach-Waelen, A.; Westerterp, K.R.; Engelen, M.P.; Brummer, R.J.; Deutz, N.E.; Westerterp-Plantenga, M.S. Comparison of the effects of a high- and normal-casein breakfast on satiety, ‘satiety’ hormones, plasma aminoacids and subsequent energy intake. Br. J. Nutr. 2009, 101, 295–303. [Google Scholar] [CrossRef] [PubMed]
- Veldhorst, M.A.; Nieuwenhuizen, A.G.; Hochstenbach-Waelen, A.; Westerterp, K.R.; Engelen, M.P.; Brummer, R.J.; Deutz, N.E.; Westerterp-Plantenga, M.S. Effects of high and normal soyprotein breakfasts on satiety and subsequent energy intake, including aminoacid and ‘satiety’ hormone responses. Eur. J. Nutr. 2009, 48, 92–100. [Google Scholar] [CrossRef] [PubMed]
- Hall, W.L.; Millward, D.J.; Long, S.J.; Morgan, L.M. Casein and whey exert different effects on plasma amino acid profiles, gastrointestinal hormone secretion and appetite. Br. J. Nutr. 2003, 89, 239–248. [Google Scholar] [CrossRef] [PubMed]
- Pal, S.; Radavelli-Bagatini, S.; Hagger, M.; Ellis, V. Comparative effects of whey and casein proteins on satiety in overweight and obese individuals: A randomized controlled trial. Eur. J. Clin. Nutr. 2014, 68, 980–986. [Google Scholar] [CrossRef] [PubMed]
- Spadaro, P.A.; Naug, H.L.; Toit, E.F.; Donner, D.; Colson, N.J. A refined high carbohydrate diet is associated with changes in the serotonin pathway and visceral obesity. Genet. Res. (Camb.) 2015, 97, e23. [Google Scholar] [CrossRef] [PubMed]
- Flint, A.; Gregersen, N.T.; Gluud, L.L.; Miller, B.K.; Raben, A.; Tetens, I.; Verdich, C.; Astrup, A. Associations between postprandial insulin and blood glucose responses, appetite sensations and energy intake in normal weight and overweight individuals: A meta-analysis of test meal studies. Br. J. Nutr. 2007, 98, 17–25. [Google Scholar] [CrossRef] [PubMed]
- Ludwig, D.S. Dietary glycemic index and obesity. J. Nutr. 2000, 130, 280S–283S. [Google Scholar] [PubMed]
- Anderson, G.H.; Soeandy, C.D.; Smith, C.E. White vegetables: Glycemia and satiety. Adv. Nutr. 2013, 4, 356S–367S. [Google Scholar] [CrossRef] [PubMed]
- Bendtsen, L.Q.; Lorenzen, J.K.; Bendsen, N.T.; Rasmussen, C.; Astrup, A. Effect of dairy proteins on appetite, energy expenditure, body weight, and composition: A review of the evidence from controlled clinical trials. Adv. Nutr. 2013, 4, 418–438. [Google Scholar] [CrossRef] [PubMed]
- Pal, S.; Ellis, V. The acute effects of four protein meals on insulin, glucose, appetite and energy intake in lean men. Br. J. Nutr. 2010, 104, 1241–1248. [Google Scholar] [CrossRef] [PubMed]
- Akhavan, T.; Luhovyy, B.L.; Brown, P.H.; Cho, C.E.; Anderson, G.H. Effect of premeal consumption of whey protein and its hydrolysate on food intake and postmealglycemia and insulin responses in young adults. Am. J. Clin. Nutr. 2010, 91, 966–975. [Google Scholar] [CrossRef] [PubMed]
- Lang, V.; Bellisle, F.; Alamowitch, C.; Craplet, C.; Bornet, F.R.; Slama, G.; Guy-Grand, B. Varying the protein source in mixed meal modifies glucose, insulin and glucagon kinetics in healthy men, has weak effects on subjective satiety and fails to affect food intake. Eur. J. Clin. Nutr. 1999, 53, 959–965. [Google Scholar] [CrossRef] [PubMed]
- Cansell, C.; Luquet, S. Triglyceride sensing in the reward circuitry: A new insight in feeding behaviour regulation. Biochimie 2016, 120, 75–80. [Google Scholar] [CrossRef] [PubMed]
- Karatayev, O.; Gaysinskaya, V.; Chang, G.Q.; Leibowitz, S.F. Circulating triglycerides after a high-fat meal: Predictor of increased caloric intake, orexigenic peptide expression, and dietary obesity. Brain Res. 2009, 1298, 111–122. [Google Scholar] [CrossRef] [PubMed]
- Berland, C.; Cansell, C.; Hnasko, T.S.; Magnan, C.; Luquet, S. Dietary triglycerides as signaling molecules that influence reward and motivation. Curr. Opin. Behav. Sci. 2016, 9, 126–135. [Google Scholar] [CrossRef] [PubMed]
- Clemente, G.; Mancini, M.; Nazzaro, F.; Lasorella, G.; Rivieccio, A.; Palumbo, A.M.; Rivellese, A.A.; Ferrara, L.; Giacco, R. Effects of different dairy products on postprandial lipemia. Nutr. Metab. Cardiovasc. Dis. 2003, 13, 377–383. [Google Scholar] [CrossRef]
- Mortensen, L.S.; Holmer-Jensen, J.; Hartvigsen, M.L.; Jensen, V.K.; Astrup, A.; de Vrese, M.; Holst, J.J.; Thomsen, C.; Hermansen, K. Effects of different fractions of whey protein on postprandial lipid and hormone responses in type 2 diabetes. Eur. J. Clin. Nutr. 2012, 66, 799–805. [Google Scholar] [CrossRef] [PubMed]
- Chilliard, Y.; Ferlay, A.; Rouel, J.; Lamberet, G. A review of nutritional and physiological factors affecting goat milk lipid synthesis and lipolysis. J. Dairy Sci. 2003, 86, 1751–1770. [Google Scholar] [CrossRef]
- Casas-Agustench, P.; López-Uriarte, P.; Bulló, M.; Ros, E.; Gómez-Flores, A.; Salas-Salvadó, J. Acute effects of three high-fat meals with different fat saturations on energy expenditure, substrate oxidation and satiety. Clin. Nutr. 2009, 28, 39–45. [Google Scholar] [CrossRef] [PubMed]
- Dougkas, A.; Minihane, A.M.; Givens, D.I.; Reynolds, C.K.; Yaqoob, P. Differential effects of dairy snacks on appetite, but not overall energy intake. Br. J. Nutr. 2012, 108, 2275–2285. [Google Scholar] [CrossRef] [PubMed]
) and C-Breakfast (
) at the different time points. The effects of time, breakfast and interactions were calculated by repeated measures ANOVA, except for CSI index that were calculated by repeated measures ANCOVA adjusted by Sex and BMI. # Statistically different means compared to baseline (0′) after G-Breakfast. † Statistically different compared to baseline (0′) after C-Breakfast.
) and C-Breakfast (
) at the different time points. The effects of time, breakfast and interactions were calculated by repeated measures ANOVA, except for CSI index that were calculated by repeated measures ANCOVA adjusted by Sex and BMI. # Statistically different means compared to baseline (0′) after G-Breakfast. † Statistically different compared to baseline (0′) after C-Breakfast.
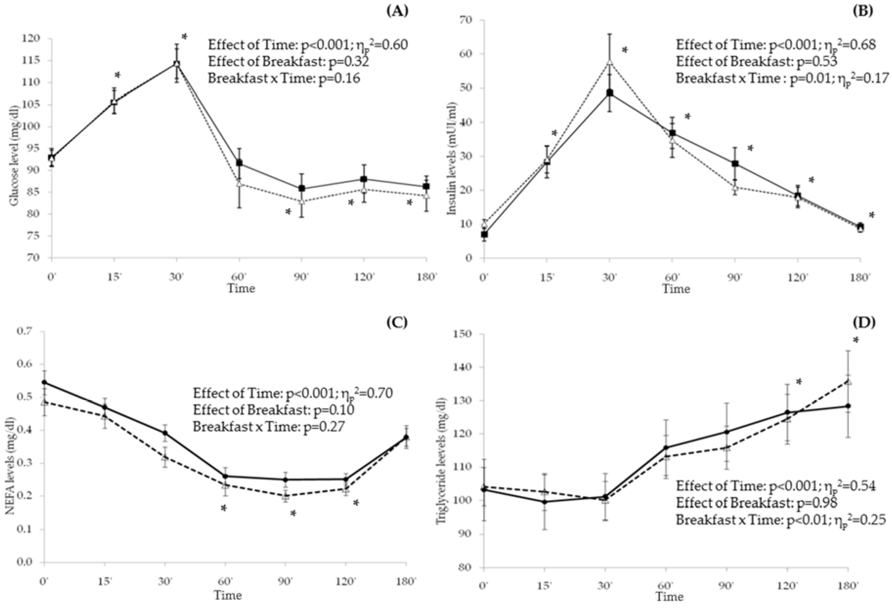
) and C-Breakfast (
) at the different time points. The effects of time, breakfast and interactions were evaluated by repeated measures ANOVA. * Statistically different means versus baseline (0′) after G-Breakfast and C-Breakfast.
) and C-Breakfast (
) at the different time points. The effects of time, breakfast and interactions were evaluated by repeated measures ANOVA. * Statistically different means versus baseline (0′) after G-Breakfast and C-Breakfast.
) and C-Breakfast (
) at the different time points. The effects of time, breakfast and interactions were evaluated by repeated measures ANOVA. * Statistically different means versus baseline (0′) after G-Breakfast and C-Breakfast.
) and C-Breakfast (
) at the different time points. The effects of time, breakfast and interactions were evaluated by repeated measures ANOVA. * Statistically different means versus baseline (0′) after G-Breakfast and C-Breakfast.
| Cheese (40 g) | Milk (200 g) | Breakfast | ||||
|---|---|---|---|---|---|---|
| Goat | Cow | Goat | Cow | Goat | Cow | |
| Energy (kcal) | 133.2 | 150.4 | 90.0 | 86.8 | 332.00 | 346.00 |
| Total protein (g) | 8.14 | 11.6 | 6.60 | 6.0 | 17.26 | 20.72 |
| Total fat (g) | 11.08 | 11.48 | 3.20 | 3.2 | 14.68 | 15.08 |
| Total carbohydrates (g) | 0.20 | 0.20 | 9.00 | 8.8 | 32.40 | 32.2 |
| Dietary fiber (g) | - | - | - | - | 0.88 | 0.88 |
| G-Breakfast | C-Breakfast | |
|---|---|---|
| Glucose (mg/dL) | 77.36 ± 16.02 | 80.88 ± 12.73 |
| Insulin (mU/mL) | 9.02 ± 6.04 | 11.69 ± 7.19 |
| Cholesterol (mg/dL) | 175.27 ± 28.34 | 172.12 ± 25.56 |
| HDL-Cholesterol (mg/dL) | 62.42 ± 17.60 | 61.88 ± 17.60 |
| Triglycerides (mg/dL) | 90.88 ± 58.22 | 91.27 ± 29.79 |
| Free fatty acids (mg/dL) | 0.54 ± 0.21 | 0.49 ± 0.24 |
© 2017 by the authors. Licensee MDPI, Basel, Switzerland. This article is an open access article distributed under the terms and conditions of the Creative Commons Attribution (CC BY) license (http://creativecommons.org/licenses/by/4.0/).
Share and Cite
Rubio-Martín, E.; García-Escobar, E.; Ruiz de Adana, M.-S.; Lima-Rubio, F.; Peláez, L.; Caracuel, A.-M.; Bermúdez-Silva, F.-J.; Soriguer, F.; Rojo-Martínez, G.; Olveira, G. Comparison of the Effects of Goat Dairy and Cow Dairy Based Breakfasts on Satiety, Appetite Hormones, and Metabolic Profile. Nutrients 2017, 9, 877. https://doi.org/10.3390/nu9080877
Rubio-Martín E, García-Escobar E, Ruiz de Adana M-S, Lima-Rubio F, Peláez L, Caracuel A-M, Bermúdez-Silva F-J, Soriguer F, Rojo-Martínez G, Olveira G. Comparison of the Effects of Goat Dairy and Cow Dairy Based Breakfasts on Satiety, Appetite Hormones, and Metabolic Profile. Nutrients. 2017; 9(8):877. https://doi.org/10.3390/nu9080877
Chicago/Turabian StyleRubio-Martín, Elehazara, Eva García-Escobar, Maria-Soledad Ruiz de Adana, Fuensanta Lima-Rubio, Laura Peláez, Angel-María Caracuel, Francisco-Javier Bermúdez-Silva, Federico Soriguer, Gemma Rojo-Martínez, and Gabriel Olveira. 2017. "Comparison of the Effects of Goat Dairy and Cow Dairy Based Breakfasts on Satiety, Appetite Hormones, and Metabolic Profile" Nutrients 9, no. 8: 877. https://doi.org/10.3390/nu9080877
APA StyleRubio-Martín, E., García-Escobar, E., Ruiz de Adana, M.-S., Lima-Rubio, F., Peláez, L., Caracuel, A.-M., Bermúdez-Silva, F.-J., Soriguer, F., Rojo-Martínez, G., & Olveira, G. (2017). Comparison of the Effects of Goat Dairy and Cow Dairy Based Breakfasts on Satiety, Appetite Hormones, and Metabolic Profile. Nutrients, 9(8), 877. https://doi.org/10.3390/nu9080877

