Processing ‘Ataulfo’ Mango into Juice Preserves the Bioavailability and Antioxidant Capacity of Its Phenolic Compounds
Abstract
:1. Introduction
2. Materials and Methods
2.1. Chemicals and Solvents
2.2. ‘Ataulfo’ Mangos and Products
2.3. Phenolic Profile of ‘Ataulfo’ Mango Flesh and Juice
2.4. Subjects and Study Design
2.5. Determination of Plasma Phenolic Compounds
2.6. Determination of Urinary Phenolic Compounds
2.7. Antioxidant Capacity
2.8. Statistics
3. Results
3.1. Mango Phenolics
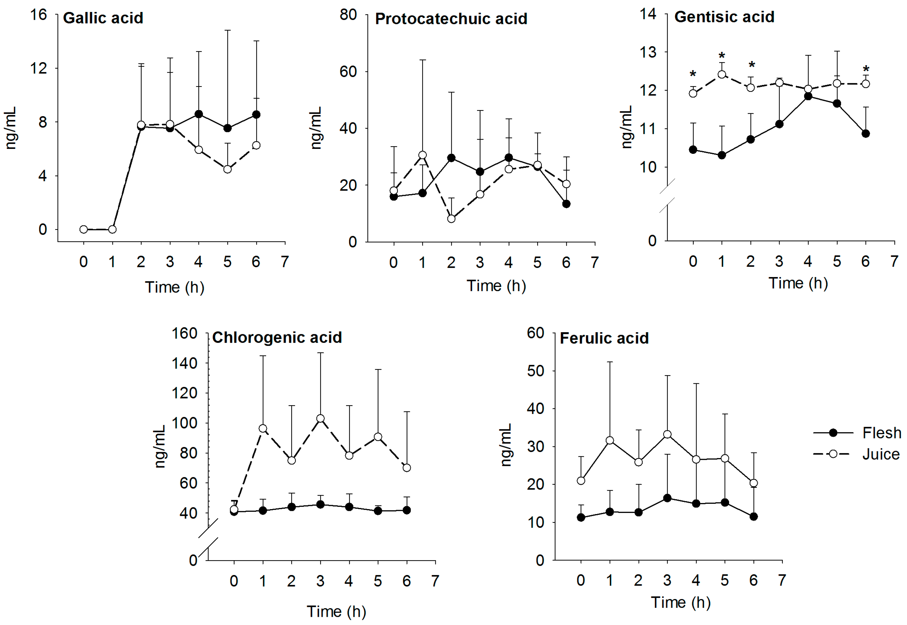
3.2. Plasma and Urine Pharmacokinetic Analyses
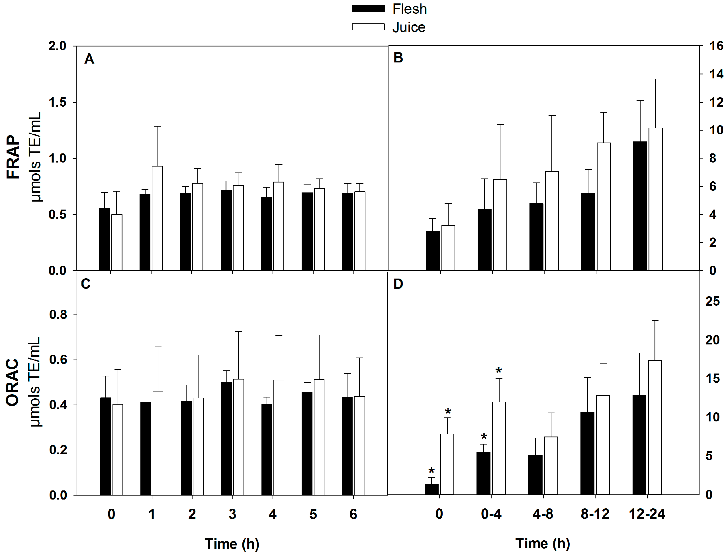
3.3. Antioxidant Capacity
4. Discussion
5. Conclusions
Acknowledgments
Author Contributions
Conflicts of Interest
References
- Kim, H.; Moon, J.Y.; Kim, H.; Lee, D.S.; Cho, M.; Choi, H.K.; Kim, Y.S.; Mosaddik, A.; Cho, S.K. Antioxidant and antiproliferative activities of mango (Mangifera indica L.) flesh and peel. Food Chem. 2010, 121, 429–436. [Google Scholar] [CrossRef]
- Palafox-Carlos, H.; Yahia, E.M.; Gonzalez-Aguilar, G.A. Identification and quantification of major phenolic compounds from mango (Mangifera indica, cv. Ataulfo) fruit by HPLC-DAD-MS/MS-ESI and their individual contribution to the antioxidant activity during ripening. Food Chem. 2012, 135, 105–111. [Google Scholar] [CrossRef]
- Robles-Sánchez, R.; Islas-Osuna, M.; Astiazarán-García, H.; Vázquez-Ortiz, F.; Martín-Belloso, O.; Gorinstein, S.; González-Aguilar, G. Quality Index, Consumer Acceptability, Bioactive Compounds, and Antioxidant Activity of Fresh-Cut “Ataulfo” Mangoes (Mangifera indica L.) as Affected by Low-Temperature Storage. J. Food Sci. 2009, 74, S126–S134. [Google Scholar] [CrossRef] [PubMed]
- Manthey, J.A.; Perkins-Veazie, P. Influences of harvest date and location on the levels of beta-carotene, ascorbic acid, total phenols, the in vitro antioxidant capacity, and phenolic profiles of five commercial varieties of mango (Mangifera indica L.). J. Agric. Food Chem. 2009, 57, 10825–10830. [Google Scholar] [CrossRef] [PubMed]
- Kris-Etherton, P.M.; Hecker, K.D.; Bonanome, A.; Coval, S.M.; Binkoski, A.E.; Hilpert, K.F.; Griel, A.E.; Etherton, T.D. Bioactive compounds in foods: Their role in the prevention of cardiovascular disease and cancer. Am. J. Med. 2002, 113, 71–88. [Google Scholar] [CrossRef]
- Manach, C.; Mazur, A.; Scalbert, A. Polyphenols and prevention of cardiovascular diseases. Curr. Opin. Lipidol. 2005, 16, 77–84. [Google Scholar] [CrossRef] [PubMed]
- Grundy, M.M.L.; Edwards, C.H.; Mackie, A.R.; Gidley, M.J.; Butterworth, P.J.; Ellis, P.R. Re-evaluation of the mechanisms of dietary fibre and implications for macronutrient bioaccessibility, digestion and postprandial metabolism. Br. J. Nutr. 2016, 116, 816–833. [Google Scholar] [CrossRef] [PubMed]
- Schumann, K.; Classen, H.G.; Hages, M.; Prinz-Langenohl, R.; Pietrzik, K.; Biesalski, H.K. Bioavailability of oral vitamins, minerals, and trace elements in perspective. Arzneimittelforschung 1997, 47, 369–380. [Google Scholar] [PubMed]
- Parada, J.; Aguilera, J.M. Food microstructure affects the bioavailability of several nutrients. J. Food Sci. 2007, 72, R21–R32. [Google Scholar] [CrossRef] [PubMed]
- Quiros-Sauceda, A.E.; Palafox-Carlos, H.; Sayago-Ayerdi, S.G.; Ayala-Zavala, J.F.; Bello-Perez, L.A.; Alvarez-Parrilla, E.; de la Rosa, L.A.; Gonzalez-Cordova, A.F.; Gonzalez-Aguilar, G.A. Dietary fiber and phenolic compounds as functional ingredients: Interaction and possible effect after ingestion. Food Funct. 2014, 5, 1063–1072. [Google Scholar] [CrossRef] [PubMed]
- Manach, C.; Williamson, G.; Morand, C.; Scalbert, A.; Remesy, C. Bioavailability and bioefficacy of polyphenols in humans. I. Review of 97 bioavailability studies. Am. J. Clin. Nutr. 2005, 81, 230S–242S. [Google Scholar] [PubMed]
- D’Archivio, M.; Filesi, C.; Vari, R.; Scazzocchio, B.; Masella, R. Bioavailability of the polyphenols: Status and controversies. Int. J. Mol. Sci. 2010, 11, 1321–1342. [Google Scholar] [CrossRef] [PubMed]
- Gouado, I.; Schweigert, F.J.; Ejoh, R.A.; Tchouanguep, M.F.; Camp, J.V. Systemic levels of carotenoids from mangoes and papaya consumed in three forms (juice, fresh and dry slice). Eur. J. Clin. Nutr. 2007, 61, 1180–1188. [Google Scholar] [CrossRef] [PubMed]
- Roura, E.; Andres-Lacueva, C.; Estruch, R.; Bilbao, M.L.M.; Izquierdo-Pulido, M.; Lamuela-Raventos, R.M. The effects of milk as a food matrix for polyphenols on the excretion profile of cocoa (-)-epicatechin metabolites in healthy human subjects. Br. J. Nutr. 2008, 100, 846–851. [Google Scholar] [CrossRef] [PubMed]
- Vatai, G. Separation technologies in the processing of fruit juices. In Separation, Extraction and Concentration Processes in the Food, Beverage and Nutraceutical Industries; Rizvi, S.S.H., Ed.; Elsevier: Amsterdam, The Netherlands, 2010; pp. 381–396. [Google Scholar]
- Palafox-Carlos, H.; Yahia, E.; Islas-Osuna, M.A.; Gutierrez-Martinez, P.; Robles-Sanchez, M.; Gonzalez-Aguilar, G.A. Effect of ripeness stage of mango fruit (Mangifera indica L., cv. Ataulfo) on physiological parameters and antioxidant activity. Sci. Hortic. 2012, 135, 7–13. [Google Scholar] [CrossRef]
- Santhirasegaram, V.; Razali, Z.; Somasundram, C. Effects of thermal treatment and sonication on quality attributes of Chokanan mango (Mangifera indica L.) juice. Ultrason. Sonochem. 2013, 20, 1276–1282. [Google Scholar] [CrossRef] [PubMed]
- Chen, C.Y.; Milbury, P.E.; Lapsley, K.; Blumberg, J.B. Flavonoids from almond skins are bioavailable and act synergistically with vitamins C and E to enhance hamster and human LDL resistance to oxidation. J. Nutr. 2005, 135, 1366–1373. [Google Scholar] [PubMed]
- Macedo-Ojeda, G.; Vizmanos-Lamotte, B.; Marquez-Sandoval, Y.F.; Rodriguez-Rocha, N.P.; Lopez-Uriarte, P.J.; Fernandez-Ballart, J.D. Validation of a semi-quantitative food frequency questionnaire to assess food groups and nutrient intake. Nutr. Hosp. 2013, 28, 2212–2220. [Google Scholar] [PubMed]
- McKay, D.L.; Chen, C.Y.; Zampariello, C.A.; Blumberg, J.B. Flavonoids and phenolic acids from cranberry juice are bioavailable and bioactive in healthy older adults. Food Chem. 2015, 168, 233–240. [Google Scholar] [CrossRef] [PubMed]
- Prior, R.L.; Hoang, H.; Gu, L.; Wu, X.; Bacchiocca, M.; Howard, L.; Hampsch-Woodill, M.; Huang, D.; Ou, B.; Jacob, R. Assays for hydrophilic and lipophilic antioxidant capacity (oxygen radical absorbance capacity (ORACFL)) of plasma and other biological and food samples. J. Agric. Food Chem. 2003, 51, 3273–3279. [Google Scholar] [CrossRef] [PubMed]
- Torres, P.; Galleguillos, P.; Lissi, E.; Lopez-Alarcon, C. Antioxidant capacity of human blood plasma and human urine: Simultaneous evaluation of the ORAC index and ascorbic acid concentration employing pyrogallol red as probe. Bioorganic Med. Chem. 2008, 16, 9171–9175. [Google Scholar] [CrossRef] [PubMed]
- Benzie, I.F.; Strain, J.J. The ferric reducing ability of plasma (FRAP) as a measure of “antioxidant power”: The FRAP assay. Anal. Biochem. 1996, 239, 70–76. [Google Scholar] [CrossRef] [PubMed]
- Chiou, W.L. Critical evaluation of the potential error in pharmacokinetic studies of using the linear trapezoidal rule method for the calculation of the area under the plasma level-time curve. J. Pharmacokinet. Biopharm. 1978, 6, 539–546. [Google Scholar] [CrossRef] [PubMed]
- Hollman, P.C.H. Evidence for health benefits of plant phenols: Local or systemic effects? J. Sci. Food Agric. 2001, 81, 842–852. [Google Scholar] [CrossRef]
- Burton-Freeman, B.M.; Sandhu, A.K.; Edirisinghe, I. Mangos and their bioactive components: Adding variety to the fruit plate for health. Food Funct. 2017, 8, 3010–3032. [Google Scholar] [CrossRef] [PubMed]
- Olivas-Aguirre, F.J.; Gonzalez-Aguilar, G.A.; Velderrain-Rodriguez, G.R.; Torres-Moreno, H.; Robles-Zepeda, R.E.; Vazquez-Flores, A.A.; de la Rosa, L.A.; Wall-Medrano, A. Radical scavenging and anti-proliferative capacity of three freeze-dried tropical fruits. Int. J. Food Sci. Technol. 2017, 52, 1699–1709. [Google Scholar] [CrossRef]
- Sayago-Ayerdi, S.G.; Moreno-Hernandez, C.L.; Montalvo-Gonzalez, E.; Garcia-Magana, M.L.; de Oca, M.M.M.; Torres, J.L.; Perez-Jimenez, J. Mexican ‘Ataulfo’ mango (Mangifera indica L.) as a source of hydrolyzable tannins Analysis by MALDI-TOF/TOF MS. Food Res. Int. 2013, 51, 188–194. [Google Scholar] [CrossRef]
- Masibo, M.; He, Q. Major mango polyphenols and their potential significance to human health. Compr. Rev. Food Sci. Food Saf. 2008, 7, 309–319. [Google Scholar] [CrossRef]
- Schieber, A.; Ullrich, W.; Carle, R. Characterization of polyphenols in mango puree concentrate by HPLC with diode array and mass spectrometric detection. Innov. Food Sci. Emerg. Technol. 2000, 1, 161–166. [Google Scholar] [CrossRef]
- Ramirez, J.E.; Zambrano, R.; Sepulveda, B.; Simirgiotis, M.J. Antioxidant properties and hyphenated HPLC-PDA-MS profiling of Chilean Pica mango fruits (Mangifera indica L. cv. piqueno). Molecules 2013, 19, 438–458. [Google Scholar] [CrossRef] [PubMed]
- Bell, L. Stability testing of nutraceuticals and functional foods. Handb. Nutraceuticals Funct. Foods 2001, 501–516. [Google Scholar]
- Wilson, C.G. The organization of the gut and the oral absorption of drugs: Anatomical, biological and physiological considerations in oral formulation development. In Controlled Release in Oral Drug Delivery; Springer: Berlin, Germany, 2011; pp. 27–48. [Google Scholar]
- Konishi, Y.; Zhao, Z.; Shimizu, M. Phenolic acids are absorbed from the rat stomach with different absorption rates. J. Agric. Food Chem. 2006, 54, 7539–7543. [Google Scholar] [CrossRef] [PubMed]
- Lafay, S.; Gil-Izquierdo, A. Bioavailability of phenolic acids. Phytochem. Rev. 2008, 7, 301–311. [Google Scholar] [CrossRef]
- Shahrzad, S.; Aoyagi, K.; Winter, A.; Koyama, A.; Bitsch, I. Pharmacokinetics of gallic acid and its relative bioavailability from tea in healthy humans. J. Nutr. 2001, 131, 1207–1210. [Google Scholar] [PubMed]
- Pimpao, R.C.; Dew, T.; Figueira, M.E.; McDougall, G.J.; Stewart, D.; Ferreira, R.B.; Santos, C.N.; Williamson, G. Urinary metabolite profiling identifies novel colonic metabolites and conjugates of phenolics in healthy volunteers. Mol. Nutr. Food Res. 2014, 58, 1414–1425. [Google Scholar] [CrossRef] [PubMed]
- Soni, M.; Sharma, K.P.; John, P. Characterization of pyrogallol production from gallic acid by Enterobacter spp. J. Microbiol. Biotechnol. Res. 2012, 2, 327–336. [Google Scholar]
- Tian, Q.G.; Giusti, M.M.; Stoner, G.D.; Schwartz, S.J. Urinary excretion of black raspberry (Rubus occidentalis) anthocyanins and their metabolites. J. Agric. Food Chem. 2006, 54, 1467–1472. [Google Scholar] [CrossRef] [PubMed]
- Stalmach, A.; Edwards, C.A.; Wightman, J.D.; Crozier, A. Colonic catabolism of dietary phenolic and polyphenolic compounds from Concord grape juice. Food Funct. 2013, 4, 52–62. [Google Scholar] [CrossRef] [PubMed]
- Barnes, R.C.; Krenek, K.A.; Meibohm, B.; Mertens-Talcott, S.U.; Talcott, S.T. Urinary metabolites from mango (Mangifera indica L. cv. Keitt) galloyl derivatives and in vitro hydrolysis of gallotannins in physiological conditions. Mol. Nutr. Food Res. 2016, 60, 542–550. [Google Scholar] [CrossRef] [PubMed]
- Palafox-Carlos, H.; Ayala-Zavala, J.F.; Gonzalez-Aguilar, G.A. The role of dietary fiber in the bioaccessibility and bioavailability of fruit and vegetable antioxidants. J. Food Sci. 2011, 76, R6–R15. [Google Scholar] [CrossRef] [PubMed]
- González-Aguilar, G.A.; Blancas-Benítez, F.J.; Sáyago-Ayerdi, S.G. Polyphenols associated with dietary fibers in plant foods: Molecular interactions and bioaccessibility. Curr. Opin. Food Sci. 2017, 13, 84–88. [Google Scholar] [CrossRef]
- Ornelas-Paz, J.D.J.; Failla, M.L.; Yahia, E.M.; Gardea-Bejar, A. Impact of the stage of ripening and dietary fat on in vitro bioaccessibility of beta-carotene in ‘Ataulfo’ mango. J. Agric. Food Chem. 2008, 56, 1511–1516. [Google Scholar] [CrossRef] [PubMed]
- Quirós-Sauceda, A.E.; Ayala-Zavala, J.F.; Sáyago-Ayerdi, S.G.; Vélez-de La Rocha, R.; Sañudo-Barajas, A.; González-Aguilar, G.A. Added dietary fiber reduces the antioxidant capacity of phenolic compounds extracted from tropical fruit. J. Appl. Bot. Food Q. 2014, 87, 227–233. [Google Scholar]
- Quintero-Florez, A.; Sanchez-Ortiz, A.; Martinez, J.J.G.; Marquez, A.J.; Maza, G.B. Interaction between extra virgin olive oil phenolic compounds and mucin. Eur. J. Lipid Sci. Technol. 2015, 117, 1569–1577. [Google Scholar] [CrossRef]
- Seymour, E.M.; Warber, S.M.; Kirakosyan, A.; Noon, K.R.; Gillespie, B.; Uhley, V.E.; Wunder, J.; Urcuyo, D.E.; Kaufman, P.B.; Bolling, S.F. Anthocyanin pharmacokinetics and dose-dependent plasma antioxidant pharmacodynamics following whole tart cherry intake in healthy humans. J. Funct. Foods 2014, 11, 509–516. [Google Scholar] [CrossRef]





| No. | Phenolic Compound | Mango Flesh | Mango Juice |
|---|---|---|---|
| (mg/500 g of Fresh Weight) | (mg/721 g of Fresh Weight) | ||
| 1 | p-coumaric acid | 19.36 ± 2.46 | 16.63 ± 1.24 |
| 2 | gallic acid | 16.52 ± 0.95 | 15.90 ± 0.34 |
| 3 | chlorogenic acid | 17.96 ± 0.50 | 7.32 ± 0.53 |
| 4 | ferulic acid | 1.94 ± 0.28 | 1.59 ± 0.02 |
| 5 | vanillic acid | 1.07 ± 0.06 | 0.87 ± 0.02 |
| 6 | protocatechuic acid | 0.41 ± 0.02 | 0.53 ± 0.03 |
| 7 | gentisic acid | 0.24 ± 0.01 | 0.18 ± 0.03 |
| 8 | sinapic acid | 0.06 ± 0.00 | 0.06 ± 0.00 |
| 9 | caffeic acid | 0.03 ± 0.00 | 0.03 ± 0.00 |
| Total | 47.60 ± 3.72 | 43.24 ± 0.28 |
| Phenolic Compound | Flesh | Juice | ||||||
|---|---|---|---|---|---|---|---|---|
| Cmax (ng/mL) | Tmax (h) | AUC (ng h/mL) | AUC/Dose ((ng h/mL)/mg) | Cmax (ng/mL) | Tmax (h) | AUC (ng h/mL) | AUC/Dose ((ng h/mL)/mg) | |
| Chlorogenic acid | 49.7 ± 7.3 * | 3.5 ± 1.4 | 208.7 ± 24.5 * | 11.5 ± 1.78 * | 109.7 ± 0.26 * | 2.5 ± 1.8 | 366.9 ± 130.7 * | 50.12 ± 15.5 * |
| Protocatechuic acid | 30.8 ± 13.3 | 3.5 ± 2.0 | 141.4 ± 73.9 | 344.8 ± 138.3 | 34.5 ± 18.0 | 3.7 ± 1.7 | 108.6 ± 5.4 | 204.90 ± 9.9 |
| Ferulic acid | 16.5 ± 3.9 * | 2.8 ± 2.1 | 60.2 ± 22.7 * | 31.0 ± 9.63 * | 32.7 ± 10.9 * | 2.3 ± 1.5 | 133.4 ± 47.7 * | 83.8 ± 30.2 * |
| Gentisic acid | 11.8 ± 2.1 | 4.0 ± 1.4 | 53.1 ± 8.3 | 221.2 ± 34.0 | 12.2 ± 0.2 | 2.8 ± 1.9 | 50.9 ± 11.0 | 282.7 ± 59.1 |
| Gallic acid | 8.7 ± 1.7 | 4.4 ± 1.1 | 36.9 ± 24.3 | 2.2 ± 0.91 | 7.9 ± 4.7 | 3.5 ± 1.0 | 38.5 ± 14.5 | 2.4 ± 0.94 |
© 2017 by the authors. Licensee MDPI, Basel, Switzerland. This article is an open access article distributed under the terms and conditions of the Creative Commons Attribution (CC BY) license (http://creativecommons.org/licenses/by/4.0/).
Share and Cite
Quirós-Sauceda, A.E.; Chen, C.-Y.O.; Blumberg, J.B.; Astiazaran-Garcia, H.; Wall-Medrano, A.; González-Aguilar, G.A. Processing ‘Ataulfo’ Mango into Juice Preserves the Bioavailability and Antioxidant Capacity of Its Phenolic Compounds. Nutrients 2017, 9, 1082. https://doi.org/10.3390/nu9101082
Quirós-Sauceda AE, Chen C-YO, Blumberg JB, Astiazaran-Garcia H, Wall-Medrano A, González-Aguilar GA. Processing ‘Ataulfo’ Mango into Juice Preserves the Bioavailability and Antioxidant Capacity of Its Phenolic Compounds. Nutrients. 2017; 9(10):1082. https://doi.org/10.3390/nu9101082
Chicago/Turabian StyleQuirós-Sauceda, Ana Elena, C.-Y. Oliver Chen, Jeffrey B. Blumberg, Humberto Astiazaran-Garcia, Abraham Wall-Medrano, and Gustavo A. González-Aguilar. 2017. "Processing ‘Ataulfo’ Mango into Juice Preserves the Bioavailability and Antioxidant Capacity of Its Phenolic Compounds" Nutrients 9, no. 10: 1082. https://doi.org/10.3390/nu9101082
APA StyleQuirós-Sauceda, A. E., Chen, C.-Y. O., Blumberg, J. B., Astiazaran-Garcia, H., Wall-Medrano, A., & González-Aguilar, G. A. (2017). Processing ‘Ataulfo’ Mango into Juice Preserves the Bioavailability and Antioxidant Capacity of Its Phenolic Compounds. Nutrients, 9(10), 1082. https://doi.org/10.3390/nu9101082

