The Effect of Plant Proteins Derived from Cereals and Legumes on Heme Iron Absorption
Abstract
:1. Introduction
2. Experimental Section
2.1. Ethics
2.2. Heme Fe Labeled with Radioactive Isotopes
2.3. Heme Fe Preparation
2.4. Protein
2.5. Study Design
2.5.1. Study I. Effect of Proteins from Cereals on Heme Fe Absorption
2.5.2. Study II. Effect of Proteins from Legumes on Heme Fe Absorption
2.6. Fe Status
2.7. Fe Absorption
2.8. Statistical Analysis
3. Results
3.1. Baseline Characteristics of Participants
| Subjects | Hb (g/L) | MCV (fL) | FEP (μg/dL) | SFe (μmol/L) | TIBC (μmol/L) | TS (%) | SF (μg/L) |
|---|---|---|---|---|---|---|---|
| 1 | 139 | 86 | 43 | 69 | 310 | 22 | 24 |
| 2 | 135 | 89 | 37 | 60 | 337 | 18 | 8 |
| 3 | 141 | 88 | 57 | 67 | 332 | 20 | 29 |
| 4 | 138 | 93 | 51 | 124 | 267 | 47 | 47 |
| 5 | 121 | 88 | 54 | 52 | 321 | 16 | 9 |
| 6 | 138 | 93 | 69 | 74 | 299 | 25 | 18 |
| 7 | 138 | 86 | 52 | 50 | 335 | 15 | 22 |
| 8 | 140 | 90 | 60 | 89 | 307 | 29 | 24 |
| 9 | 135 | 87 | 51 | 42 | 318 | 13 | 13 |
| 10 | 141 | 89 | 51 | 89 | 313 | 29 | 66 |
| 11 | 126 | 92 | 57 | 58 | 457 | 13 | 8 |
| 12 | 144 | 94 | 63 | 45 | 288 | 16 | 15 |
| 13 | 152 | 95 | 49 | 116 | 294 | 40 | 51 |
| 14 | 155 | 88 | 43 | 30 | 348 | 9 | 23 |
| 15 | 114 | 80 | 83 | 29 | 348 | 8 | 5 |
| mean ± SD | 137 ± 11 | 89 ± 4 | 55 ± 11 | 66 ± 28 | 325 ± 43 | 18 (11–31) a | 19 (9–39) a |
| Cut-off points b | <120 | <80 | >70 | <60 | >450 | <15 | <15 c |
| Subjects | Hb (g/L) | MCV (fL) | FEP (μg/dL) | SFe (μmol/L) | TIBC (μmol/L) | TS (%) | SF (μg/L) |
|---|---|---|---|---|---|---|---|
| 1 | 150 | 95 | 69 | 100 | 339 | 30 | 28 |
| 2 | 131 | 88 | 54 | 35 | 241 | 15 | 41 |
| 3 | 134 | 88 | 57 | 67 | 342 | 20 | 17 |
| 4 | 126 | 92 | 63 | 109 | 283 | 38 | 21 |
| 5 | 140 | 91 | 66 | 72 | 381 | 19 | 9 |
| 6 | 140 | 90 | 66 | 58 | 356 | 16 | 25 |
| 7 | 140 | 83 | 46 | 33 | 260 | 13 | 36 |
| 8 | 141 | 90 | 69 | 69 | 291 | 24 | 32 |
| 9 | 142 | 82 | 49 | 76 | 314 | 24 | 19 |
| 10 | 126 | 89 | 51 | 69 | 283 | 24 | 40 |
| 11 | 133 | 90 | 40 | 68 | 288 | 24 | 56 |
| 12 | 137 | 88 | 51 | 100 | 347 | 29 | 55 |
| 13 | 143 | 92 | 71 | 63 | 300 | 21 | 22 |
| 14 | 136 | 88 | 49 | 111 | 314 | 35 | 21 |
| 15 | 146 | 94 | 49 | 90 | 300 | 30 | 21 |
| mean ± SD a | 138 ± 7 | 89 ± 4 | 57 ± 10 | 75 ± 24 | 309 ± 38 | 23 (17–32) a | 27 (16–43) a |
| Cut-off points b | <120 | <80 | >70 | <60 | >450 | <15 | <15 c |
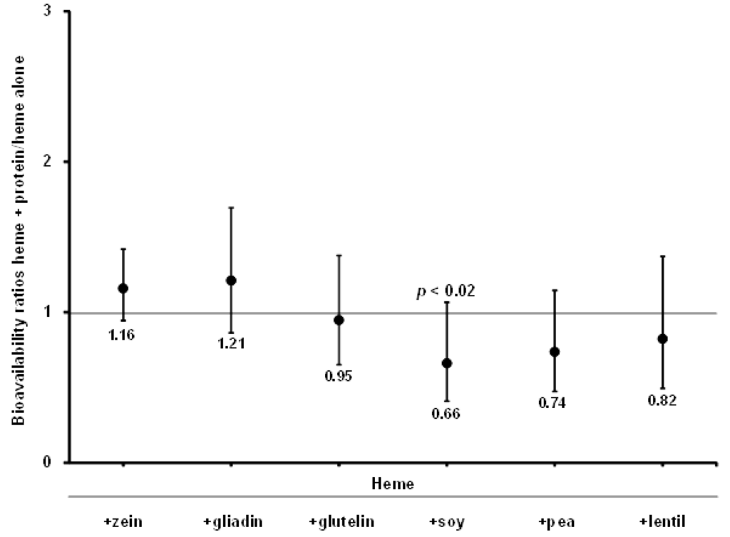
3.2. Heme Fe Absorption Studies
| Subjects | Heme Fe Absorption (%) | Ratios | |||||
|---|---|---|---|---|---|---|---|
| 55Heme (H) | 59Heme + zein (A) | 55Heme + gliadin (B) | 59Heme + glutelin (C) | A/H | B/H | C/H | |
| 1 | 12.2 | 13.2 | 11.4 | 9.3 | 1.08 | 0.93 | 0.77 |
| 2 | 9.6 | 7.5 | 7.7 | 6.0 | 0.78 | 0.80 | 0.62 |
| 3 | 4.2 | 4.1 | 5.8 | 5.2 | 0.97 | 1.37 | 1.22 |
| 4 | 1.6 | 1.6 | 4.0 | 0.9 | 0.99 | 2.41 | 0.53 |
| 5 | 7.8 | 9.6 | 7.5 | 3.9 | 1.24 | 0.96 | 0.50 |
| 6 | 11.5 | 16.8 | 14.1 | 14.2 | 1.46 | 1.23 | 1.24 |
| 7 | 6.8 | 9.1 | 7.5 | 4.6 | 1.35 | 1.10 | 0.68 |
| 8 | 3.8 | 5.1 | 5.6 | 5.1 | 1.37 | 1.50 | 1.37 |
| 9 | 8.5 | 7.4 | 12.1 | 8.2 | 0.87 | 1.42 | 0.96 |
| 10 | 3.7 | 3.6 | 3.2 | 3.4 | 0.96 | 0.85 | 0.91 |
| 11 | 12.7 | 15.2 | 8.7 | 10.9 | 1.20 | 0.68 | 0.86 |
| 12 | 8.2 | 9.5 | 12.8 | 10.1 | 1.16 | 1.56 | 1.23 |
| 13 | 2.3 | 3.5 | 4.3 | 4.0 | 1.52 | 1.88 | 1.74 |
| 14 | 6.0 | 7.7 | 8.2 | 7.1 | 1.28 | 1.37 | 1.18 |
| 15 | 9.7 | 14.1 | 10.6 | 12.8 | 1.46 | 1.10 | 1.32 |
| Mean a | 6.2 | 7.2 | 7.5 | 5.9 | 1.16 | 1.21 | 0.95 |
| SD a | 3.3–11.6 | 3.7–13.8 | 4.8–11.8 | 2.9–11.8 | 0.94–1.42 | 0.86–1.70 | 0.65–1.38 |
| SS b | N.S | N.S | N.S | ||||
| r c | −0.76 | −0.73 | −0.68 | −0.60 | |||
| Subjects | Heme Iron Absorption (%) | Ratios | |||||
|---|---|---|---|---|---|---|---|
| 55Heme (H) | 59Heme + soy (A) | 55Heme + pea (B) | 59Heme + lentil (C) | A/H | B/H | C/H | |
| 1 | 24.0 | 6.6 | 9.3 | 14.0 | 0.28 | 0.39 | 0.58 |
| 2 | 8.4 | 8.5 | 16.0 | 24.8 | 1.01 | 1.91 | 2.94 |
| 3 | 12.9 | 10.6 | 10.1 | 13.8 | 0.82 | 0.79 | 1.07 |
| 4 | 13.7 | 11.4 | 16.4 | 20.2 | 0.84 | 1.20 | 1.48 |
| 5 | 18.9 | 9.2 | 11.4 | 19.1 | 0.49 | 0.61 | 1.01 |
| 6 | 12.3 | 7.9 | 9.3 | 10.6 | 0.64 | 0.76 | 0.86 |
| 7 | 9.4 | 5.6 | 2.9 | 3.1 | 0.59 | 0.31 | 0.33 |
| 8 | 9.5 | 4.3 | 5.8 | 5.0 | 0.46 | 0.62 | 0.53 |
| 9 | 13.7 | 6.0 | 10.8 | 9.5 | 0.44 | 0.78 | 0.69 |
| 10 | 9.0 | 6.4 | 5.6 | 6.4 | 0.71 | 0.63 | 0.71 |
| 11 | 12.7 | 5.2 | 7.3 | 9.1 | 0.41 | 0.57 | 0.71 |
| 12 | 6.7 | 8.8 | 4.9 | 3.8 | 1.32 | 0.73 | 0.57 |
| 13 | 10.0 | 15.9 | 11.3 | 11.2 | 1.59 | 1.13 | 1.12 |
| 14 | 8.6 | 4.1 | 7.9 | 8.3 | 0.47 | 0.91 | 0.97 |
| 15 | 6.5 | 6.4 | 5.1 | 3.9 | 0.98 | 0.80 | 0.60 |
| Mean a | 11.0 | 7.3 | 8.1 | 9.1 | 0.66 | 0.74 | 0.82 |
| SD a | 7.7–15.8 | 5.0–10.6 | 5.1–13.0 | 4.8–17.2 | 0.41–1.07 | 0.47–1.15 | 0.49–1.37 |
| SS b | p < 0.02 | N.S | N.S | ||||
| r c | −0.44 | −0.29 | −0.42 | −0.41 | |||

4. Discussion
5. Conclusions
Acknowledgments
Author Contributions
Conflicts of Interest
References
- De Benoist, B.; McLean, E.; Egli, I.; Cogswell, M. Worldwide Prevalence of Anaemia 1993–2005 of WHO Global Database of Anaemia; World Health Organization: Geneva, Switzerland, 2008; Available online: http://whqlibdoc.who.int/publications/2008/9789241596657_eng.pdf (accessed on 31 July 2015).
- Aspuru, K.; Villa, C.; Bermejo, F.; Herrero, P.; Lopez, S. Optimal management of iron deficiency anemia due to poor dietary intake. Int. J. Gen. Med. 2011, 4, 741–750. [Google Scholar] [PubMed]
- Fairweather-Tait, S. Bioavailability of trace elements. Food Chem. 1992, 43, 213–217. [Google Scholar] [CrossRef]
- Conrad, M.; Umbreit, J. Iron absorption and transport-an update. Am. J. Hematol. 2000, 64, 287–298. [Google Scholar] [CrossRef]
- West, A.; Oates, P. Mechanisms of heme iron absorption: Current questions and controversies. World J. Gastroenterol. 2008, 14, 4101–4110. [Google Scholar] [CrossRef] [PubMed]
- Pizarro, F.; Olivares, M.; Hertrampf, E.; Mazariegos, D.; Arredondo, M. Heme-iron absorption is saturable by heme-iron dose in women. J. Nutr. 2003, 133, 2214–2217. [Google Scholar] [PubMed]
- Shayeghi, M.; Latunde-Dada, G.; Oakhill, J.; Laftah, A.; Takeuchi, K.; Halliday, N.; Khan, Y.; Warley, A.; McCann, F.; Hider, R.; et al. Identification of an intestinal heme transporter. Cell 2005, 122, 789–801. [Google Scholar] [CrossRef] [PubMed]
- Arredondo, M.; Kloosterman, J.; Núñez, S.; Segovia, F.; Candia, V.; Flores, S.; le Blanc, S.; Olivares, M.; Pizarro, F. Heme iron uptake by Caco-2 cells is a saturable, temperature sensitive and modulated by extracellular pH and potassium. Biol. Trace Elem. Res. 2008, 125, 109–119. [Google Scholar] [CrossRef] [PubMed]
- Martinez, C.; Fox, T.; Eagles, J.; Fairweather-Tait, S. Evaluation of iron bioavailability in infant weaning foods fortified with haem concentrate. J. Pediatr. Gastroenterol. Nutr. 1998, 27, 419–424. [Google Scholar] [CrossRef] [PubMed]
- Miret, S.; Simpson, R.; McKie, A. Physiology and molecular biology of dietary iron absorption. Annu. Rev. Nutr. 2003, 23, 283–301. [Google Scholar] [CrossRef] [PubMed]
- Benito, P.; Miller, D. Iron absorption and bioavailability: An updated review. Nutr. Res. 1998, 18, 581–603. [Google Scholar] [CrossRef]
- Layrisse, M.; Martãnez-Torres, C.; Cook, J.; Walker, R.; Finch, C. Iron fortification of food: Its measurement by the extrinsic tag method. Blood 1973, 41, 333–352. [Google Scholar] [PubMed]
- Cook, J.; Monsen, E. Food iron absorption in human subjects. III. Comparison of the effect of animal proteins on nonheme iron absorption. Am. J. Clin. Nutr. 1976, 29, 859–867. [Google Scholar] [PubMed]
- Hallberg, L.; Björn-Rasmussen, E.; Garby, L.; Pleehachinda, R.; Suwanik, R. Iron absorption from South-East Asian diets and the effect of iron fortification. Am. J. Clin. Nutr. 1978, 31, 1403–1408. [Google Scholar] [PubMed]
- Björn-Rasmussen, E.; Hallberg, L. Effect of animal proteins on the absorption of food iron in man. Nutr. Metab. 1979, 23, 192–202. [Google Scholar] [CrossRef] [PubMed]
- Cook, J.; Morck, T.; Lynch, S. The inhibitory effect of soy products on nonheme iron absorption in man. Am. J. Clin. Nutr. 1981, 34, 2622–2629. [Google Scholar] [PubMed]
- Hallberg, L.; Rossander, L. Effect of soy protein on nonheme iron absorption in man. Am. J. Clin. Nutr. 1982, 36, 514–520. [Google Scholar] [PubMed]
- Hurrell, R.; Juillerat, M.; Reddy, M.; Lynch, S.; Dassenko, S.; Cook, J. Soy protein, phytate, and iron absorption in humans. Am. J. Clin. Nutr. 1992, 56, 573–578. [Google Scholar] [PubMed]
- Bothwell, T.; Clydesdale, F.; Cook, J.; Dallman, P.; Hallberg, L. The Effects of Cereals and Legumes on Iron Availability; Nutrition Foundation: New York, NY, USA, 1982; Available online: http://whqlibdoc.who.int/publications/2008/9789241596657_eng.pdf (accessed on 31 July 2015).
- Lynch, S.; Beard, J.; Dassenko, S.; Cook, J. Iron absorption from legumes in humans. Am. J. Clin. Nutr. 1984, 40, 42–47. [Google Scholar] [PubMed]
- Hurrell, R. Influence of vegetable protein sources on trace element and mineral bioavailability. J. Nutr. 2003, 133, 2973–2977. [Google Scholar]
- Conrad, M.; Cortell, S.; Williams, H.; Foy, A. Polymerization and intraluminal factors in the absorption of hemoglobin-iron. J. Lab. Clin. Med. 1966, 68, 659–668. [Google Scholar] [PubMed]
- Hooda, J.; Shah, A.; Zhang, L. Heme, an essential nutrient from dietary proteins, critically impacts diverse physiological and pathological processes. Nutrients 2014, 6, 1080–1102. [Google Scholar] [CrossRef] [PubMed]
- Layrisse, M.; Martínez-Torres, C. Model for measuring dietary absorption of heme iron: Test with a complete meal. Am. J. Clin. Nutr. 1972, 25, 401–411. [Google Scholar] [PubMed]
- Garcia, M.; Martinez-Torres, C.; Leets, I.; Tropper, E.; Ramirez, J.; Layrisse, M. Heat treatment on heme iron and iron-containing proteins in meat: Iron absorption in humans from diets containing cooked meat fractions. J. Nutr. Biochem. 1996, 7, 49–54. [Google Scholar] [CrossRef]
- Layrisse, M.; Martínez-Torres, C.; Leets, I.; Taylor, P.; Ramírez, J. Effect of histidine, cysteine, glutathione or beef on iron absorption in humans. J. Nutr. 1984, 114, 217–223. [Google Scholar] [PubMed]
- Cediel, G.; Olivares, M.; Gaitán, D.; Flores, S.; Brito, A.; Pizarro, F. Effect of trypsin and mucin on heme iron bioavailability in humans. Biol. Trace Elem. Res. 2012, 150, 37–41. [Google Scholar] [CrossRef] [PubMed]
- Lynch, S.; Dassenko, S.; Morck, T.; Beard, J.; Cook, J. Soy protein products and heme iron absorption in humans. Am. J. Clin. Nutr. 1985, 41, 13–20. [Google Scholar] [PubMed]
- International Nutritional Anemia Consultative Group. Iron Absorption from Cereals and Legumes. A Report of the International Nutritional Anemia Consultative Group; The Nutrition Foundation: New York, NY, USA, 1982; pp. 1–44. [Google Scholar]
- Villarroel, P.; Flores, S.; Pizarro, F.; de Romaña, D.; Arredondo, M. Effect of dietary protein on heme iron uptake by Caco-2 cells. Eur. J. Nutr. 2011, 50, 637–643. [Google Scholar] [CrossRef] [PubMed]
- Valenzuela, C.; de Romaña, D.; Olivares, M.; Morales, M.; Pizarro, F. Total iron and heme iron content and their distribution in beef meat and viscera. Biol. Trace Elem. Res. 2009, 132, 103–111. [Google Scholar] [CrossRef] [PubMed]
- Hubrecht, R.; Kirkwood, J. The UFAW Handbook on the Care and Management of Laboratory and Other Research Animals, 8th ed.; Wiley-Blackwell: Chichester, UK, 2010; Available online: https://books.google.cl/books?hl=es&lr=&id=Wjr9u1AAht4C&oi=fnd&pg=PR5&dq=the+ufaw+handbook+on+the+care+and+management+of+laboratory (accessed on 4 July 2015).
- Labbe, R.; Nishida, G. A new method of hemin isolation. Biochim. Biophys. Acta 1957, 26, 437. [Google Scholar] [CrossRef]
- Swanson, B. Pea and lentil protein extraction and functionality. J. Am. Oil Chem. Soc. 1990, 67, 276–280. [Google Scholar] [CrossRef]
- Shih, F.; Daigle, K. Preparation and characterization of rice protein isolates. J. Am. Oil Chem. Soc. 2000, 77, 885–889. [Google Scholar] [CrossRef]
- Conradie, J.; Mbhele, B. Quantitation of serum ferritin by enzyme-linked immunosorbent assay (ELISA). S. Afr. Med. J. 1980, 57, 282–287. [Google Scholar] [PubMed]
- Yip, R.; Parvanta, I.; Cogswell, M.; McDonnell, S.; Bowman, B.; Grummer-Strawn, L.; Trowbridge, F. Recommendations to prevent and control iron deficiency in the United States. Morb. Mortal. Wkly. Rep. Recomm. Rep. 1998, 47, 1–36. [Google Scholar]
- World Health Organization/Centers for Disease Control and Prevention. Assessing the Iron Status of Populations: Report of a Joint World Health Organization/Centers for Disease Control and Prevention Technical Consultation on the Assessment of Iron Status at the Population Level; World Health Organization: Geneva, Switzerland, 2005; Available online: http://whqlibdoc.who.int/publications/2004/9241593156_eng.pdf (accessed on 28 August 2015).
- Eakins, J.; Brown, D. An improved method for the simultaneous determination of iron-55 and iron-59 in blood by liquid scintillation counting. Int. J. Appl. Radiat. Isot. 1966, 17, 391–397. [Google Scholar] [CrossRef]
- Mujica-Coopman, M.; Brito, A.; de Romaña, D.; Pizarro, F.; Olivares, M. Body mass index, iron absorption and iron status in childbearing age women. J. Trace Elem. Med. Biol. 2015, 30, 215–219. [Google Scholar] [CrossRef] [PubMed]
- Bothwell, T.; Charlton, R.; Cook, J.; Finch, C. Iron Metabolism in Man; Blackwell Scientific Publications: Oxford, UK, 1979; p. 576. Available online: http://catalogue.nla.gov.au/Record/1451228 (accessed on 4 July 2015).
- Pizarro, F.; Olivares, M.; Valenzuela, C.; Brito, A.; Weinborn, V.; Flores, S.; Arredondo, M. The effect of proteins from animal source foods on heme iron bioavailability in human. Food Chem. 2016, 196, 733–738. [Google Scholar] [CrossRef]
- Lecomte, N.; Zayas, J.; Kastner, C. Soya proteins functional and sensory characteristics improved in cornminuted bleats. J. Food Sci. 1993, 58, 464–466. [Google Scholar] [CrossRef]
- Rentfrow, G.; Brewer, M.; Weingartner, K.; Mckeith, F. Sensory characteristics of beef and pork processed meats containing nonsolvent extracted texturized soy protein. J. Muscle Foods 2004, 15, 225–234. [Google Scholar] [CrossRef]
- Gibson, R.; Hotz, C. Dietary diversification/modification strategies to enhance micronutrient content and bioavailability of diets in developing countries. Br. J. Nutr. 2001, 85, 159–166. [Google Scholar] [CrossRef]
- Petry, N.; Egli, I.; Zeder, C.; Walczyk, T.; Hurrell, R. Polyphenols and phytic acid contribute to the low iron bioavailability from common beans in young women. J. Nutr. 2010, 140, 1977–1982. [Google Scholar] [CrossRef] [PubMed]
- Sandberg, A. Bioavailability of minerals in legumes. Br. J. Nutr. 2002, 88, 281–285. [Google Scholar] [CrossRef] [PubMed]
- Stoltzfus, R. Defining iron-deficiency anemia in public health terms: A time for reflection. J. Nutr. 2001, 131, 565–567. [Google Scholar]
- Turhan, S.; Altunkaynak, T.; Yazici, F. A note on the total and heme iron contents of ready-to-eat doner kebabs. Meat Sci. 2004, 67, 191–194. [Google Scholar] [CrossRef] [PubMed]
- Frykman, E.; Bystrom, M.; Jansson, U.; Edberg, A.; Hansen, T. Side effects of iron supplements in blood donors: Superior tolerance of heme iron. J. Lab. Clin. Med. 1994, 123, 561–564. [Google Scholar] [PubMed]
- Hoppe, M.; Brün, B.; Larsson, M.; Moraeus, L.; Hulthén, L. Heme iron-based dietary intervention for improvement of iron status in young women. Nutrition 2013, 29, 89–95. [Google Scholar] [CrossRef] [PubMed]
- Walter, T.; Hertrampf, E.; Pizarro, F.; Olivares, M.; Llaguno, S.; Letelier, A.; Vega, V.; Stekel, A. Effect of bovine-hemoglobin-fortified cookies on iron status of schoolchildren: A nationwide program in Chile. Am. J. Clin. Nutr. 1993, 57, 190–194. [Google Scholar] [PubMed]
© 2015 by the authors; licensee MDPI, Basel, Switzerland. This article is an open access article distributed under the terms and conditions of the Creative Commons by Attribution (CC-BY) license (http://creativecommons.org/licenses/by/4.0/).
Share and Cite
Weinborn, V.; Pizarro, F.; Olivares, M.; Brito, A.; Arredondo, M.; Flores, S.; Valenzuela, C. The Effect of Plant Proteins Derived from Cereals and Legumes on Heme Iron Absorption. Nutrients 2015, 7, 8977-8986. https://doi.org/10.3390/nu7115446
Weinborn V, Pizarro F, Olivares M, Brito A, Arredondo M, Flores S, Valenzuela C. The Effect of Plant Proteins Derived from Cereals and Legumes on Heme Iron Absorption. Nutrients. 2015; 7(11):8977-8986. https://doi.org/10.3390/nu7115446
Chicago/Turabian StyleWeinborn, Valerie, Fernando Pizarro, Manuel Olivares, Alex Brito, Miguel Arredondo, Sebastián Flores, and Carolina Valenzuela. 2015. "The Effect of Plant Proteins Derived from Cereals and Legumes on Heme Iron Absorption" Nutrients 7, no. 11: 8977-8986. https://doi.org/10.3390/nu7115446
APA StyleWeinborn, V., Pizarro, F., Olivares, M., Brito, A., Arredondo, M., Flores, S., & Valenzuela, C. (2015). The Effect of Plant Proteins Derived from Cereals and Legumes on Heme Iron Absorption. Nutrients, 7(11), 8977-8986. https://doi.org/10.3390/nu7115446
