Efficacy and Safety of Steamed Ginger Extract for Body Weight and Body Fat Reduction in Overweight Adults: A Randomized, Double-Blind, Placebo-Controlled Clinical Trial
Abstract
1. Introduction
2. Materials and Methods
2.1. Ethics Statement
2.2. Study Design
2.3. Study Participants
2.4. Study Products and Interventions
2.5. Efficacy Outcome Measures
2.6. Safety Outcome Measures
2.7. Statistical Analysis
3. Results
3.1. Participant Characteristics
3.2. Efficacy Outcomes
3.3. Safety Outcomes
4. Discussion
5. Conclusions
Author Contributions
Funding
Institutional Review Board Statement
Informed Consent Statement
Data Availability Statement
Conflicts of Interest
References
- Wen, X.; Zhang, B.; Wu, B.; Xiao, H.; Li, Z.; Li, R.; Xu, X.; Li, T. Signaling pathways in obesity: Mechanisms and therapeutic interventions. Signal Transduct. Target. Ther. 2022, 7, 298. [Google Scholar] [CrossRef] [PubMed]
- Gregg, E.W.; Shaw, J.E. Global Health Effects of Overweight and Obesity. N. Engl. J. Med. 2017, 377, 80–81. [Google Scholar] [CrossRef] [PubMed]
- Boutari, C.; Mantzoros, C.S. A 2022 update on the epidemiology of obesity and a call to action: As its twin COVID-19 pandemic appears to be receding, the obesity and dysmetabolism pandemic continues to rage on. Metabolism 2022, 133, 155217. [Google Scholar] [CrossRef] [PubMed]
- Phelps, N.H.; Singleton, R.K.; Zhou, B.; Heap, R.A.; Mishra, A.; Bennett, J.E.; Paciorek, C.J.; Lhoste, V.P.F.; Carrillo-Larco, R.M.; Stevens, G.A.; et al. Worldwide trends in underweight and obesity from 1990 to 2022: A pooled analysis of 3663 population-representative studies with 222 million children, adolescents, and adults. Lancet 2024, 403, 1027–1050. [Google Scholar] [CrossRef]
- Seidell, J.C.; Halberstadt, J. The global burden of obesity and the challenges of prevention. Ann. Nutr. Metab. 2015, 66, 7–12. [Google Scholar] [CrossRef]
- Kim, D.H.; Yang, B.S. Molecular mechanisms underlying the link of obesity to chronic diseases. Korean J. Obes. 2006, 15, 121–128. [Google Scholar]
- Vuik, S.; Lerouge, A.; Guillemette, Y.; Feigl, A.; Aldea, A. The Economic Burden of Obesity; OECD iLibrary: Paris, France, 2019. [Google Scholar]
- Masood, B.; Moorthy, M. Causes of obesity: A review. Clin. Med. 2023, 23, 284–291. [Google Scholar] [CrossRef]
- Bleich, S.N.; Cutler, D.; Murray, C.; Adams, A. Why Is the Developed World Obese? Annu. Rev. Public Health 2008, 29, 273–295. [Google Scholar] [CrossRef]
- Schwartz, M.W.; Seeley, R.J.; Zeltser, L.M.; Drewnowski, A.; Ravussin, E.; Redman, L.M.; Leibel, R.L. Obesity Pathogenesis: An Endocrine Society Scientific Statement. Endocr. Rev. 2017, 38, 267–296. [Google Scholar] [CrossRef]
- Albuquerque, D.; Nóbrega, C.; Manco, L.; Padez, C. The contribution of genetics and environment to obesity. Br. Med. Bull. 2017, 123, 159–173. [Google Scholar] [CrossRef]
- Swinburn, B.A.; Sacks, G.; Hall, K.D.; McPherson, K.; Finegood, D.T.; Moodie, M.L.; Gortmaker, S.L. The global obesity pandemic: Shaped by global drivers and local environments. Lancet 2011, 378, 804–814. [Google Scholar] [CrossRef]
- Lin, X.; Li, H. Obesity: Epidemiology, Pathophysiology, and Therapeutics. Front. Endocrinol. 2021, 12, 706978. [Google Scholar] [CrossRef]
- Pi-Sunyer, X. The medical risks of obesity. Postgrad. Med. 2009, 121, 21–33. [Google Scholar] [CrossRef] [PubMed]
- Chakhtoura, M.; Haber, R.; Ghezzawi, M.; Rhayem, C.; Tcheroyan, R.; Mantzoros, C.S. Pharmacotherapy of obesity: An update on the available medications and drugs under investigation. EClinicalMedicine 2023, 58, 101882. [Google Scholar] [CrossRef]
- Son, J.W.; Kim, S. Comprehensive review of current and upcoming anti-obesity drugs. Diabetes Metab. J. 2020, 44, 802–818. [Google Scholar] [CrossRef] [PubMed]
- Khera, R.; Murad, M.H.; Chandar, A.K.; Dulai, P.S.; Wang, Z.; Prokop, L.J.; Loomba, R.; Camilleri, M.; Singh, S. Association of pharmacological treatments for obesity with weight loss and adverse events: A systematic review and meta-analysis. Jama 2016, 315, 2424–2434. [Google Scholar] [CrossRef] [PubMed]
- Shaik Mohamed Sayed, U.F.; Moshawih, S.; Goh, H.P.; Kifli, N.; Gupta, G.; Singh, S.K.; Chellappan, D.K.; Dua, K.; Hermansyah, A.; Ser, H.L. Natural products as novel anti-obesity agents: Insights into mechanisms of action and potential for therapeutic management. Front. Pharmacol. 2023, 14, 1182937. [Google Scholar] [CrossRef]
- Patil, B.S.; Patil, J.K.; Chaudhari, H.S.; Patil, B.S. Oxidative Stress, Inflammation, and Obesity: Insights into Mechanism and Therapeutic Targets. Proceedings 2025, 119, 6. [Google Scholar] [CrossRef]
- Connaughton, R.M.; McMorrow, A.M.; McGillicuddy, F.C.; Lithander, F.E.; Roche, H.M. Impact of anti-inflammatory nutrients on obesity-associated metabolic-inflammation from childhood through to adulthood. Proc. Nutr. Soc. 2016, 75, 115–124. [Google Scholar] [CrossRef]
- Jiang, S.; Liu, H.; Li, C. Dietary regulation of oxidative stress in chronic metabolic diseases. Foods 2021, 10, 1854. [Google Scholar] [CrossRef]
- Ayustaningwarno, F.; Anjani, G.; Ayu, A.M.; Fogliano, V. A critical review of Ginger’s (Zingiber officinale) antioxidant, anti-inflammatory, and immunomodulatory activities. Front. Nutr. 2024, 11, 1364836. [Google Scholar] [CrossRef] [PubMed]
- Wang, J.; Ke, W.; Bao, R.; Hu, X.; Chen, F. Beneficial effects of ginger Zingiber officinale Roscoe on obesity and metabolic syndrome: A review. Ann. N. Y. Acad. Sci. 2017, 1398, 83–98. [Google Scholar] [CrossRef] [PubMed]
- Preciado-Ortiz, M.E.; Gembe-Olivarez, G.; Martínez-López, E.; Rivera-Valdés, J.J. Immunometabolic effects of ginger (Zingiber officinale Roscoe) supplementation in obesity: A comprehensive review. Molecules 2025, 30, 2933. [Google Scholar] [CrossRef] [PubMed]
- Bartley, J.P.; Jacobs, A.L. Effects of drying on flavour compounds in Australian-grown ginger (Zingiber officinale). J. Sci. Food Agric. 2000, 80, 209–215. [Google Scholar] [CrossRef]
- Fuhrman, B.; Rosenblat, M.; Hayek, T.; Coleman, R.; Aviram, M. Ginger extract consumption reduces plasma cholesterol, inhibits LDL oxidation and attenuates development of atherosclerosis in atherosclerotic, apolipoprotein E-deficient mice. J. Nutr. 2000, 130, 1124–1131. [Google Scholar] [CrossRef]
- Mishra, R.K.; Kumar, A.; Kumar, A. Pharmacological activity of Zingiber officinale. Int. J. Pharm. Chem. Sci. 2012, 1, 1073–1078. [Google Scholar]
- Seo, S.H.; Fang, F.; Kang, I. Ginger (Zingiber officinale) attenuates obesity and adipose tissue remodeling in high-fat diet-fed C57BL/6 mice. Int. J. Environ. Res. Public Health 2021, 18, 631. [Google Scholar] [CrossRef]
- Mao, Q.-Q.; Xu, X.-Y.; Cao, S.-Y.; Gan, R.-Y.; Corke, H.; Beta, T.; Li, H.-B. Bioactive compounds and bioactivities of ginger (Zingiber officinale Roscoe). Foods 2019, 8, 185. [Google Scholar] [CrossRef]
- Nishidono, Y.; Tanaka, K. Effect of drying and processing on diterpenes and other chemical constituents of ginger. J. Nat. Med. 2023, 77, 118–127. [Google Scholar] [CrossRef]
- Abdo, M.T.; El-Ahmady, S.H.; Gad, H.A. Quality control and long-term stability study of ginger from different geographical origins using chemometrics. J. Sci. Food Agric. 2021, 101, 3429–3438. [Google Scholar] [CrossRef]
- Tóth, B.; Horváth, A.; Laczkovich, O.J.; Biró, Z.D.; Matuz, M.; Csupor, D. Storage Conditions Influence the Quality of Ginger–A Stability Study Inspired by Clinical Trials. Planta Medica 2024, 90, 736–740. [Google Scholar] [CrossRef]
- Cheng, X.-L.; Liu, Q.; Peng, Y.-B.; Qi, L.-W.; Li, P. Steamed ginger (Zingiber officinale): Changed chemical profile and increased anticancer potential. Food Chem. 2011, 129, 1785–1792. [Google Scholar] [CrossRef]
- Choi, Y.J.; Jung, J.I.; Lim, S.; Kim, C.S.; Park, D.W.; Lee, S.H.; Hur, N.; Bae, J.; Lee, J.K.; Kim, E.J. Steamed Ginger Extract (GGE03) Attenuates Obesity and Improves Metabolic Parameters in Association with AMPK Activation and Lipid Metabolism Regulation in High-Fat Diet-Induced Obese Mice. Int. J. Mol. Sci. 2025, 26, 8950. [Google Scholar] [CrossRef]
- Nam, Y.H.; Hong, B.N.; Rodriguez, I.; Park, M.S.; Jeong, S.Y.; Lee, Y.-G.; Shim, J.H.; Yasmin, T.; Kim, N.W.; Koo, Y.T. Steamed ginger may enhance insulin secretion through KATP channel closure in pancreatic β-cells potentially by increasing 1-dehydro-6-gingerdione content. Nutrients 2020, 12, 324. [Google Scholar] [CrossRef] [PubMed]
- Shin, J.-K.; Park, J.H.; Kim, K.S.; Kang, T.H.; Kim, H.S. Antiulcer Activity of Steamed Ginger Extract against Ethanol/HCl-Induced Gastric Mucosal Injury in Rats. Molecules 2020, 25, 4663. [Google Scholar] [CrossRef] [PubMed]
- Song, M.Y.; Lee, D.Y.; Park, S.Y.; Seo, S.A.; Hwang, J.S.; Heo, S.H.; Kim, E.H. Steamed Ginger Extract Exerts Anti-inflammatory Effects in Helicobacter pylori-infected Gastric Epithelial Cells through Inhibition of NF-κB. J. Cancer Prev. 2021, 26, 289–297. [Google Scholar] [CrossRef] [PubMed]
- Baek, H.-I.; Ha, N.-R.; Kim, C.; Im, T.J.; Kim, Y.Y.; Hwang, S.H.; Bae, J.W. Efficacy and safety of steamed ginger extract for gastric health: A randomized, double-blind, placebo-controlled multi-center clinical trial. Food Funct. 2025, 16, 7316–7329. [Google Scholar] [CrossRef]
- Baek, H.-I.; Shen, L.; Ha, K.-C.; Park, Y.K.; Kim, C.S.; Kwon, J.E.; Park, S.J. Effectiveness and safety of steamed ginger extract on mild osteoarthritis: A randomized, double-blind, placebo-controlled clinical trial. Food Funct. 2024, 15, 9512–9523. [Google Scholar] [CrossRef]
- Park, S.-H.; Jung, S.-J.; Choi, E.-K.; Ha, K.-C.; Baek, H.-I.; Park, Y.-K.; Han, K.-H.; Jeong, S.-Y.; Oh, J.-H.; Cha, Y.-S. The effects of steamed ginger ethanolic extract on weight and body fat loss: A randomized, double-blind, placebo-controlled clinical trial. Food Sci. Biotechnol. 2020, 29, 265–273. [Google Scholar] [CrossRef]
- Lee, Y.-G.; Lee, S.R.; Baek, H.J.; Kwon, J.E.; Baek, N.-I.; Kang, T.H.; Kim, H.; Kang, S.C. The effects of body fat reduction through the metabolic control of steam-processed ginger extract in high-fat-diet-fed mice. Int. J. Mol. Sci. 2024, 25, 2982. [Google Scholar] [CrossRef]
- Kim, H.-J.; Kim, B.; Mun, E.-G.; Jeong, S.-Y.; Cha, Y.-S. The antioxidant activity of steamed ginger and its protective effects on obesity induced by high-fat diet in C57BL/6J mice. Nutr. Res. Pract. 2018, 12, 503–511. [Google Scholar] [CrossRef] [PubMed]
- Kim, B.; Kim, H.-J.; Cha, Y.-S. The protective effects of steamed ginger on adipogenesis in 3T3-L1 cells and adiposity in diet-induced obese mice. Nutr. Res. Pract. 2021, 15, 279–293. [Google Scholar] [CrossRef] [PubMed]
- Lee, G.-H.; Peng, C.; Jeong, S.-Y.; Park, S.-A.; Lee, H.-Y.; Hoang, T.-H.; Kim, J.; Chae, H.-J. Ginger extract controls mTOR-SREBP1-ER stress-mitochondria dysfunction through AMPK activation in obesity model. J. Funct. Foods 2021, 87, 104628. [Google Scholar] [CrossRef]
- Aggarwal, B.B. Targeting inflammation-induced obesity and metabolic diseases by curcumin and other nutraceuticals. Annu. Rev. Nutr. 2010, 30, 173–199. [Google Scholar] [CrossRef]
- Shehzad, A.; Ha, T.; Subhan, F.; Lee, Y.S. New mechanisms and the anti-inflammatory role of curcumin in obesity and obesity-related metabolic diseases. Eur. J. Nutr. 2011, 50, 151–161. [Google Scholar] [CrossRef]
- Anand, P.; Kunnumakkara, A.B.; Newman, R.A.; Aggarwal, B.B. Bioavailability of curcumin: Problems and promises. Mol. Pharm. 2007, 4, 807–818. [Google Scholar] [CrossRef]
- Dei Cas, M.; Ghidoni, R. Dietary curcumin: Correlation between bioavailability and health potential. Nutrients 2019, 11, 2147. [Google Scholar] [CrossRef]
- Cho, Y.-G.; Jung, J.-H.; Kang, J.-H.; Kwon, J.S.; Yu, S.P.; Baik, T.G. Effect of a herbal extract powder (YY-312) from Imperata cylindrica Beauvois, Citrus unshiu Markovich, and Evodia officinalis Dode on body fat mass in overweight adults: A 12-week, randomized, double-blind, placebo-controlled, parallel-group clinical trial. BMC Complement. Altern. Med. 2017, 17, 375. [Google Scholar] [CrossRef]
- Rafieipour, N.; Gharbi, N.; Rahimi, H.; Kohansal, A.; Sadeghi-Dehsahraei, H.; Fadaei, M.; Tahmasebi, M.; Momeni, S.A.; Ostovar, N.; Ahmadi, M. Ginger intervention on body weight and body composition in adults: A GRADE-assessed systematic review and dose-response meta-analysis of 27 randomized controlled trials. Nutr. Rev. 2024, 82, 1651–1665. [Google Scholar] [CrossRef]
- Rjabi, S.; Seyedhatami, S.S.; Makhtoomi, M.; Ahmadi, M.R.; Alimohamadi, S.; Aliabadi, E.; Talakesh, S.; Nouri, M.; Zamani, B.; Askarpour, M. Impact of ginger supplementation on obesity indices and Adipokine profiles in adults: A GRADE-based systematic review and dose-response meta-analysis of randomized controlled trials. Complement. Ther. Med. 2025, 94, 103260. [Google Scholar] [CrossRef]
- Magkos, F.; Fraterrigo, G.; Yoshino, J.; Luecking, C.; Kirbach, K.; Kelly, S.C.; de Las Fuentes, L.; He, S.; Okunade, A.L.; Patterson, B.W. Effects of moderate and subsequent progressive weight loss on metabolic function and adipose tissue biology in humans with obesity. Cell Metab. 2016, 23, 591–601. [Google Scholar] [CrossRef] [PubMed]
- Rothberg, A.E.; McEwen, L.N.; Kraftson, A.T.; Ajluni, N.; Fowler, C.E.; Nay, C.K.; Miller, N.M.; Burant, C.F.; Herman, W.H. Impact of weight loss on waist circumference and the components of the metabolic syndrome. BMJ Open Diabetes Res. Care 2017, 5, e000341. [Google Scholar] [CrossRef] [PubMed]
- Zhang, X.; Wang, Y.; Li, Y.; Gui, J.; Mei, Y.; Yang, X.; Liu, H.; Guo, L.-L.; Li, J.; Lei, Y. Four-years change of BMI and waist circumference are associated with metabolic syndrome in middle-aged and elderly Chinese. Sci. Rep. 2024, 14, 10220. [Google Scholar] [CrossRef] [PubMed]
- Ebrahimzadeh Attari, V.; Ostadrahimi, A.; Asghari Jafarabadi, M.; Mehralizadeh, S.; Mahluji, S. Changes of serum adipocytokines and body weight following Zingiber officinale supplementation in obese women: A RCT. Eur. J. Nutr. 2016, 55, 2129–2136. [Google Scholar] [CrossRef]
- Maharlouei, N.; Tabrizi, R.; Lankarani, K.B.; Rezaianzadeh, A.; Akbari, M.; Kolahdooz, F.; Rahimi, M.; Keneshlou, F.; Asemi, Z. The effects of ginger intake on weight loss and metabolic profiles among overweight and obese subjects: A systematic review and meta-analysis of randomized controlled trials. Crit. Rev. Food Sci. Nutr. 2019, 59, 1753–1766. [Google Scholar] [CrossRef]
- Ormazabal, V.; Nair, S.; Elfeky, O.; Aguayo, C.; Salomon, C.; Zuñiga, F.A. Association between insulin resistance and the development of cardiovascular disease. Cardiovasc. Diabetol. 2018, 17, 122. [Google Scholar] [CrossRef]
- Wing, R.R.; Lang, W.; Wadden, T.A.; Safford, M.; Knowler, W.C.; Bertoni, A.G.; Hill, J.O.; Brancati, F.L.; Peters, A.; Wagenknecht, L. Benefits of modest weight loss in improving cardiovascular risk factors in overweight and obese individuals with type 2 diabetes. Diabetes Care 2011, 34, 1481–1486. [Google Scholar] [CrossRef]
- Lavie, C.J.; Milani, R.V.; Ventura, H.O. Obesity and cardiovascular disease: Risk factor, paradox, and impact of weight loss. J. Am. Coll. Cardiol. 2009, 53, 1925–1932. [Google Scholar] [CrossRef]
- Ross, R.; Neeland, I.J.; Yamashita, S.; Shai, I.; Seidell, J.; Magni, P.; Santos, R.D.; Arsenault, B.; Cuevas, A.; Hu, F.B. Waist circumference as a vital sign in clinical practice: A Consensus Statement from the IAS and ICCR Working Group on Visceral Obesity. Nat. Rev. Endocrinol. 2020, 16, 177–189. [Google Scholar] [CrossRef]
- Després, J.-P. Body fat distribution and risk of cardiovascular disease: An update. Circulation 2012, 126, 1301–1313. [Google Scholar] [CrossRef]
- Kuk, J.L.; Katzmarzyk, P.T.; Nichaman, M.Z.; Church, T.S.; Blair, S.N.; Ross, R. Visceral fat is an independent predictor of all-cause mortality in men. Obesity 2006, 14, 336–341. [Google Scholar] [CrossRef]
- Bazzocchi, A.; Ponti, F.; Albisinni, U.; Battista, G.; Guglielmi, G. DXA: Technical aspects and application. Eur. J. Radiol. 2016, 85, 1481–1492. [Google Scholar] [CrossRef]
- Lee, S.Y.; Ahn, S.; Kim, Y.J.; Ji, M.J.; Kim, K.M.; Choi, S.H.; Jang, H.C.; Lim, S. Comparison between dual-energy X-ray absorptiometry and bioelectrical impedance analyses for accuracy in measuring whole body muscle mass and appendicular skeletal muscle mass. Nutrients 2018, 10, 738. [Google Scholar] [CrossRef] [PubMed]
- Willoughby, D.; Hewlings, S.; Kalman, D. Body composition changes in weight loss: Strategies and supplementation for maintaining lean body mass, a brief review. Nutrients 2018, 10, 1876. [Google Scholar] [CrossRef] [PubMed]
- Johannsen, D.L.; Knuth, N.D.; Huizenga, R.; Rood, J.C.; Ravussin, E.; Hall, K.D. Metabolic slowing with massive weight loss despite preservation of fat-free mass. J. Clin. Endocrinol. Metab. 2012, 97, 2489–2496. [Google Scholar] [CrossRef] [PubMed]
- Grundy, S.M.; Brewer, H.B., Jr.; Cleeman, J.I.; Smith, S.C., Jr.; Lenfant, C. Definition of metabolic syndrome: Report of the National Heart, Lung, and Blood Institute/American Heart Association conference on scientific issues related to definition. Circulation 2004, 109, 433–438. [Google Scholar] [CrossRef]
- O’Hara, M.; Kiefer, D.; Farrell, K.; Kemper, K. A review of 12 commonly used medicinal herbs. Arch. Fam. Med. 1998, 7, 523. [Google Scholar] [CrossRef]
- Okonta, J.; Uboh, M.; Obonga, W. Herb-drug interaction: A case study of effect of ginger on the pharmacokinetic of metronidazole in rabbit. Indian J. Pharm. Sci. 2008, 70, 230. [Google Scholar] [CrossRef]
- Weidner, M.S.; Sigwart, K. The safety of a ginger extract in the rat. J. Ethnopharmacol. 2000, 73, 513–520. [Google Scholar] [CrossRef]
- Wang, T.; Huang, T.; Zheng, Y.; Rood, J.; Bray, G.A.; Sacks, F.M.; Qi, L. Genetic variation of fasting glucose and changes in glycemia in response to 2-year weight-loss diet intervention: The POUNDS LOST trial. Int. J. Obes. 2016, 40, 1164–1169. [Google Scholar] [CrossRef]
- Metcalfe, R.S.; Gurd, B.J.; Vollaard, N.B. Exploring interindividual differences in fasting and postprandial insulin sensitivity adaptations in response to sprint interval exercise training. Eur. J. Sport Sci. 2023, 23, 1950–1960. [Google Scholar] [CrossRef]
- Utzschneider, K.M.; Johnson, T.N.; Breymeyer, K.L.; Bettcher, L.; Raftery, D.; Newton, K.M.; Neuhouser, M.L. Small changes in glucose variability induced by low and high glycemic index diets are not associated with changes in β-cell function in adults with pre-diabetes. J. Diabetes Its Complicat. 2020, 34, 107586. [Google Scholar] [CrossRef]



| Characteristics | GGE03 Group (n = 36) | Placebo Group (n = 37) | p-Value 1 (Between Group) |
|---|---|---|---|
| Sex (M/F) | 33/3 | 34/3 | 0.972 2 |
| Age (years) | 36.39 ± 5.44 | 35.86 ± 7.33 | 0.729 |
| Height (cm) | 168.01 ± 7.91 | 167.31 ± 6.82 | 0.494 3 |
| Weight (kg) | 75.00 ± 7.14 | 76.09 ± 7.57 | 0.530 |
| BMI (kg/m2) | 26.56 ± 1.31 | 27.14 ± 1.63 | 0.174 3 |
| Body fat percentage (%) | 32.16 ± 6.99 | 32.38 ± 7.13 | 0.912 3 |
| Body fat mass (lbs) | 52.74 ± 15.52 | 52.39 ± 14.28 | 0.919 |
| Married (n, %) | 33 (91.67) | 37 (100.00) | 0.073 2 |
| Current drinkers (n, %) | 0 (0.00) | 0 (0.00) | 0.907 2 |
| Current smokers (n, %) | 1 (2.78) | 0 (0.00) | 0.319 2 |
| GGE03 Group (n = 36) | Placebo Group (n = 37) | p-Value 3 (Between Group) | |||||||
|---|---|---|---|---|---|---|---|---|---|
| Baseline | 12 Week | Change Value | p-Value 1 (Within Group) | Baseline | 12 Week | Change Value | p-Value 1 (Within Group) | ||
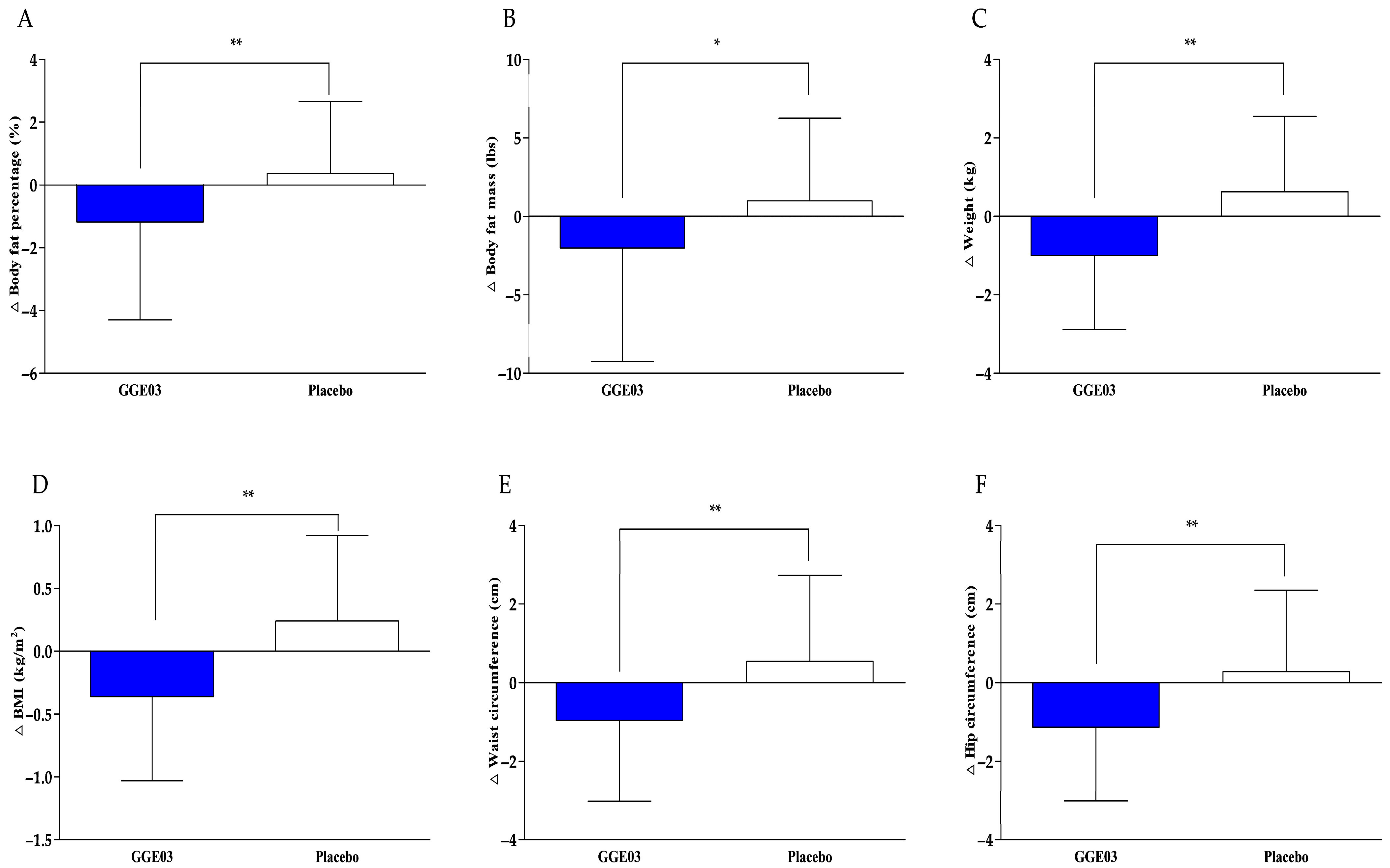
| Body fat percentage (%) | 32.16 ± 6.99 | 30.98 ± 7.59 | −1.18 ± 3.12 | 0.028 2 | 32.38 ± 7.13 | 32.75 ± 7.21 | 0.37 ± 2.29 | 0.090 2 | 0.009 ** |
| Body fat mass (lbs) | 52.74 ± 15.52 | 50.74 ± 16.86 | −2.01 ± 7.25 | 0.070 2 | 52.39 ± 14.28 | 53.36 ± 15.19 | 0.98 ± 5.28 | 0.267 | 0.034 * |
| Lean body mass (lbs) | 102.78 ± 12.27 | 105.56 ± 18.52 | 2.78 ± 16.39 | 0.900 2 | 101.87 ± 15.72 | 101.07 ± 15.16 | −0.80 ± 4.43 | 0.280 | 0.566 |
| GGE03 Group (n = 36) | Placebo Group (n = 37) | p-Value 3 (Between Group) | |||||||
|---|---|---|---|---|---|---|---|---|---|
| Baseline | 12 Week | Change Value | p-Value 1 (Within Group) | Baseline | 12 Week | Change Value | p-Value 1 (Within Group) | ||
| Weight (kg) | 75.00 ± 7.14 | 73.99 ± 7.26 | −1.00 ± 1.88 | 0.007 2 | 76.09 ± 7.57 | 76.71 ± 7.59 | 0.63 ± 1.92 | 0.090 2 | 0.001 ** |
| BMI (kg/m2) | 26.56 ± 1.31 | 26.19 ± 1.47 | −0.36 ± 0.67 | 0.006 2 | 27.14 ± 1.63 | 27.38 ± 1.81 | 0.24 ± 0.68 | 0.046 2 | 0.001 ** |
| Waist circumference (cm) | 82.19 ± 8.97 | 81.23 ± 8.38 | −0.96 ± 2.06 | 0.008 | 81.73 ± 12.98 | 82.28 ± 12.86 | 0.55 ± 2.18 | 0.038 2 | 0.001 ** |
| Hip circumference (cm) | 81.22 ± 8.77 | 80.09 ± 7.87 | −1.13 ± 1.88 | 0.001 | 82.03 ± 12.41 | 82.30 ± 12.67 | 0.28 ± 2.07 | 0.172 2 | 0.001 ** |
| WHR | 1.01 ± 0.04 | 1.01 ± 0.04 | 0.00 ± 0.02 | 0.396 2 | 1.00 ± 0.04 | 1.00 ± 0.03 | 0.00 ± 0.02 | 0.189 2 | 0.856 |
| GGE03 Group (n = 36) | Placebo Group (n = 37) | p-Value 3 (Between Group) | |||||||
|---|---|---|---|---|---|---|---|---|---|
| Baseline | 12 Week | Change Value | p-Value 1 (Within Group) | Baseline | 12 Week | Change Value | p-Value 1 (Within Group) | ||
| Total cholesterol (mg/dL) | 172.22 ± 24.85 | 169.28 ± 33.60 | −2.94 ± 26.18 | 0.050 2 | 175.08 ± 34.35 | 187.70 ± 36.04 | 12.62 ± 36.35 | 0.042 | 0.007 ** |
| Triglyceride (mg/dL) | 228.19 ± 146.81 | 216.47 ± 152.32 | −11.72 ± 66.14 | 0.007 2 | 223.49 ± 128.89 | 229.30 ± 147.43 | 5.81 ± 119.36 | 0.934 2 | 0.043 * |
| LDL-cholesterol (mg/dL) | 108.22 ± 23.01 | 108.36 ± 28.22 | 0.14 ± 22.37 | 0.330 2 | 111.14 ± 29.92 | 121.57 ± 29.03 | 10.43 ± 30.20 | 0.043 | 0.055 |
| HDL-cholesterol (mg/dL) | 35.22 ± 6.35 | 36.72 ± 6.84 | 1.50 ± 5.46 | 0.109 | 35.32 ± 11.27 | 35.38 ± 7.33 | 0.05 ± 8.27 | 0.880 2 | 0.397 |
| Adiponectin (mg/dL) | 6.32 ± 1.78 | 9.11 ± 7.78 | 2.79 ± 7.78 | 0.034 2 | 6.36 ± 1.94 | 8.82 ± 11.05 | 2.46 ± 10.62 | 0.061 2 | 0.712 |
| GGE03 Group (n = 36) | Placebo Group (n = 37) | p-Value 3 (Between Group) | ||||||||
|---|---|---|---|---|---|---|---|---|---|---|
| Baseline | 12 Week | Change Value | p-Value 1 (Within Group) | Baseline | 12 Week | Change Value | p-Value 1 (Within Group) | |||
| CBC | Hemoglobin (g/dL) | 14.07 ± 1.87 | 13.73 ± 2.04 | −0.18 ± 2.65 | 0.675 | 13.74 ± 1.83 | 13.53 ± 2.01 | −0.23 ± 2.23 | 0.515 | 0.929 |
| Hematocrit (%) | 43.95 ± 4.76 | 43.28 ± 5.55 | −0.22 ± 6.98 | 0.852 | 42.95 ± 4.53 | 42.82 ± 5.60 | −0.18 ± 5.78 | 0.538 2 | 1.000 4 | |
| WBC (109/L) | 6.95 ± 1.61 | 7.18 ± 3.32 | 0.38 ± 3.17 | 0.892 2 | 6.89 ± 1.67 | 7.54 ± 2.05 | 0.71 ± 2.67 | 0.107 | 0.311 4 | |
| RBC (1012/L) | 5.20 ± 0.64 | 5.13 ± 0.59 | −0.03 ± 0.79 | 0.798 | 5.11 ± 0.52 | 5.05 ± 0.67 | −0.07 ± 0.79 | 0.977 2 | 0.884 4 | |
| Platelet (109/L) | 286.98 ± 65.57 | 319.84 ± 122.48 | 30.51 ± 139.80 | 0.365 2 | 318.07 ± 74.60 | 317.38 ± 79.68 | 2.46 ± 102.09 | 0.881 | 0.473 4 | |
| Biochemistry | AST (IU/L) | 33.95 ± 16.65 | 33.38 ± 20.06 | −0.76 ± 23.62 | 0.712 2 | 29.57 ± 8.36 | 29.33 ± 16.26 | −0.33 ± 18.46 | 0.105 2 | 0.328 4 |
| ALT (IU/L) | 39.35 ± 21.81 | 35.16 ± 13.355 | −3.97 ± 22.11 | 0.282 | 33.08 ± 16.76 | 26.15 ± 13.10 | −7.08 ± 19.91 | 0.032 | 0.523 | |
| ALP (IU/L) | 99.33 ± 22.63 | 100.65 ± 33.40 | 0.11 ± 42.75 | 0.988 | 96.15 ± 21.13 | 92.13 ± 26.10 | −4.13 ± 28.80 | 0.382 | 0.617 | |
| GGT (U/L) | 39.58 ± 24.39 | 47.30 ± 64.89 | 7.62 ± 65.57 | 0.759 2 | 34.73 ± 23.23 | 32.08 ± 24.39 | −3.15 ± 37.15 | 0.497 2 | 0.473 4 | |
| Albumin (g/dL) | 4.50 ± 0.22 | 4.46 ± 0.42 | −0.03 ± 0.42 | 0.696 | 4.47 ± 0.52 | 4.39 ± 0.41 | −0.08 ± 0.55 | 0.052 2 | 0.374 4 | |
| Total protein (g/dL) | 7.34 ± 0.41 | 7.47 ± 0.51 | 0.14 ± 0.66 | 0.192 | 7.38 ± 0.38 | 7.39 ± 0.48 | 0.00 ± 0.53 | 0.960 | 0.285 | |
| Total bilirubin (mg/dL) | 0.66 ± 0.24 | 0.60 ± 0.27 | −0.05 ± 0.36 | 0.449 | 0.57 ± 0.27 | 0.53 ± 0.25 | −0.02 ± 0.36 | 0.682 | 0.794 | |
| Glucose (mg/dL) | 97.08 ± 13.65 | 115.95 ± 46.92 | 18.62 ± 45.20 | 0.034 2 | 94.95 ± 13.61 | 105.79 ± 38.56 | 7.87 ± 43.05 | 0.783 2 | 0.192 4 | |
| BUN (mg/dL) | 9.22 ± 2.74 | 12.46 ± 11.33 | 3.52 ± 11.41 | 0.044 2 | 8.94 ± 2.29 | 12.74 ± 7.31 | 3.81 ± 7.24 | <0.001 2 | 0.196 4 | |
| Creatinine (mg/dL) | 0.91 ± 0.15 | 1.04 ± 0.73 | 0.15 ± 0.73 | 0.993 2 | 0.90 ± 0.14 | 0.89 ± 0.50 | −0.01 ± 0.45 | 0.033 2 | 0.177 4 | |
| Uric Acid (mg/dL) | 6.17 ± 1.36 | 5.76 ± 1.68 | −0.32 ± 1.89 | 0.097 2 | 6.34 ± 1.39 | 5.13 ± 1.53 | −1.24 ± 1.90 | 0.001 2 | 0.201 4 | |
| Urinalysis | pH | 5.83 ± 0.72 | 5.96 ± 0.64 | 0.08 ± 0.92 | 0.594 | 5.95 ± 0.74 | 5.88 ± 0.57 | −0.03 ± 0.92 | 0.717 2 | 0.475 4 |
| Specific gravity | 1.01 ± 0.01 | 1.01 ± 0.01 | 0.00 ± 0.01 | 0.369 | 1.01 ± 0.01 | 1.02 ± 0.01 | 0.00 ± 0.01 | 0.009 | 0.315 | |
| Vital signs | Systolic blood pressure (mmHg) | 116.22 ± 3.99 | 117.81 ± 4.53 | 1.78 ± 6.21 | 0.089 | 115.08 ± 5.75 | 117.21 ± 3.87 | 2.10 ± 6.45 | 0.056 2 | 0.830 4 |
| Diastolic blood pressure (mmHg) | 71.50 ± 5.87 | 74.65 ± 5.98 | 3.14 ± 9.42 | 0.050 | 72.65 ± 5.68 | 74.26 ± 4.59 | 1.74 ± 7.11 | 0.174 2 | 0.338 4 | |
| Pulse (beats/min) | 83.62 ± 7.60 | 80.62 ± 8.27 | −3.19 ± 11.70 | 0.106 | 82.75 ± 7.37 | 83.28 ± 7.29 | 0.72 ± 10.76 | 0.679 | 0.135 | |
Disclaimer/Publisher’s Note: The statements, opinions and data contained in all publications are solely those of the individual author(s) and contributor(s) and not of MDPI and/or the editor(s). MDPI and/or the editor(s) disclaim responsibility for any injury to people or property resulting from any ideas, methods, instructions or products referred to in the content. |
© 2026 by the authors. Licensee MDPI, Basel, Switzerland. This article is an open access article distributed under the terms and conditions of the Creative Commons Attribution (CC BY) license.
Share and Cite
Kwon, J.E.; Lee, Y.-G.; Kim, I.; Bae, J.; Kang, S.-C.; Baek, H.-I. Efficacy and Safety of Steamed Ginger Extract for Body Weight and Body Fat Reduction in Overweight Adults: A Randomized, Double-Blind, Placebo-Controlled Clinical Trial. Nutrients 2026, 18, 366. https://doi.org/10.3390/nu18020366
Kwon JE, Lee Y-G, Kim I, Bae J, Kang S-C, Baek H-I. Efficacy and Safety of Steamed Ginger Extract for Body Weight and Body Fat Reduction in Overweight Adults: A Randomized, Double-Blind, Placebo-Controlled Clinical Trial. Nutrients. 2026; 18(2):366. https://doi.org/10.3390/nu18020366
Chicago/Turabian StyleKwon, Jeong Eun, Yeong-Geun Lee, Inhye Kim, Jaewoo Bae, Se-Chan Kang, and Hyang-Im Baek. 2026. "Efficacy and Safety of Steamed Ginger Extract for Body Weight and Body Fat Reduction in Overweight Adults: A Randomized, Double-Blind, Placebo-Controlled Clinical Trial" Nutrients 18, no. 2: 366. https://doi.org/10.3390/nu18020366
APA StyleKwon, J. E., Lee, Y.-G., Kim, I., Bae, J., Kang, S.-C., & Baek, H.-I. (2026). Efficacy and Safety of Steamed Ginger Extract for Body Weight and Body Fat Reduction in Overweight Adults: A Randomized, Double-Blind, Placebo-Controlled Clinical Trial. Nutrients, 18(2), 366. https://doi.org/10.3390/nu18020366

