Plasma Phospholipid Biomarkers Related to the Risk of Cognitive Decline in the Elderly: Results from a Cohort Study
Abstract
1. Introduction
2. Materials and Methods
2.1. Study Participants and Design
2.2. Demographic and Lifestyle Variables
2.3. Condition of Hypertension, Diabetes Mellitus and Dyslipidemia
2.4. Cognitive Decline Assessment
2.5. Plasma Collection and Storage
2.6. Analysis of Biochemical Parameters
2.7. Analysis of Plasma Phospholipid Profile
2.8. Statistical Analysis
3. Results
3.1. General Characteristics of Participants
3.2. Characteristics of Plasma Phospholipids
3.3. Identification of Potential Phospholipid Biomarkers Related with Cognitive Decline by Machine Learning
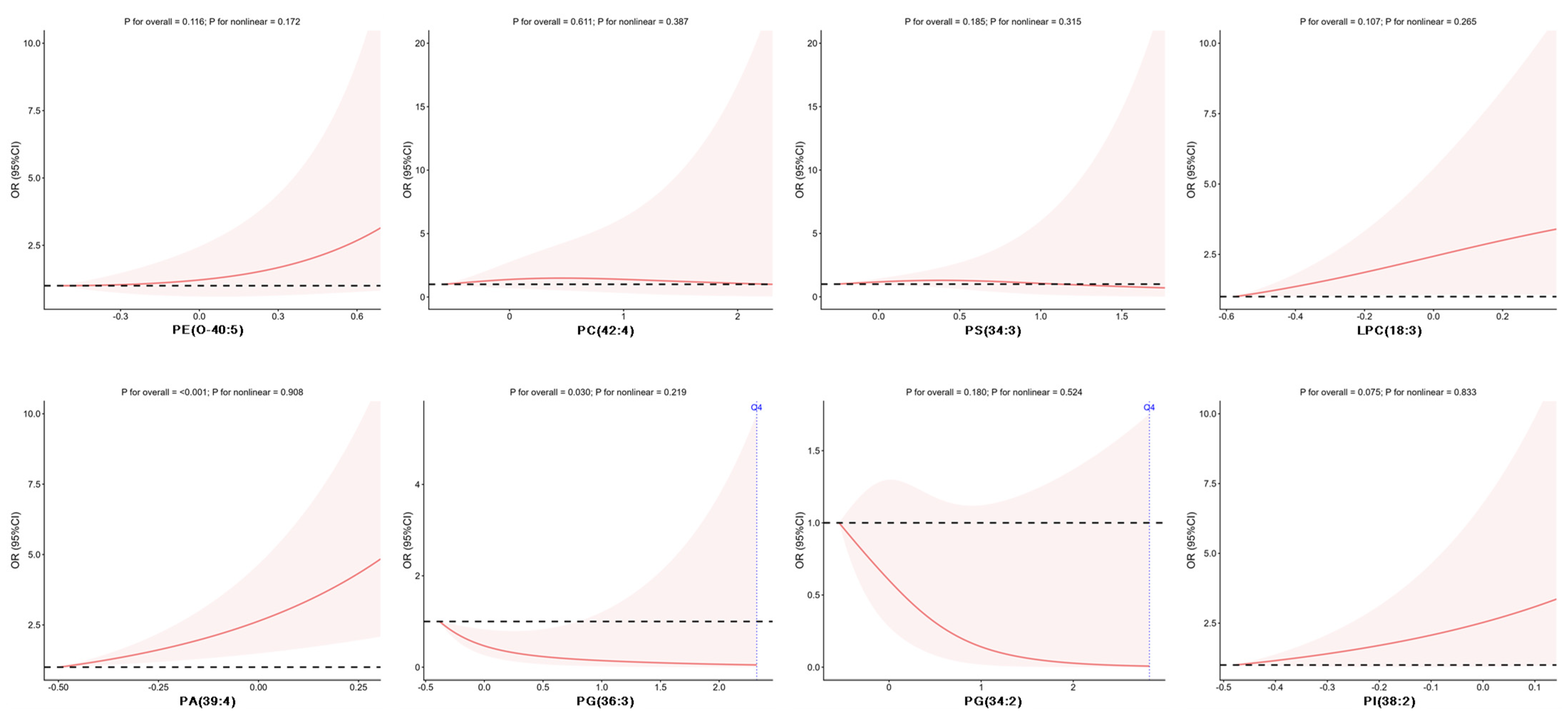
3.4. Associations Between Phospholipid Biomarkers with Cognitive Decline
3.5. Prediction of Cognitive Decline Through Potential Phospholipid Biomerkers
4. Discussion
5. Conclusions
Supplementary Materials
Author Contributions
Funding
Institutional Review Board Statement
Informed Consent Statement
Data Availability Statement
Acknowledgments
Conflicts of Interest
References
- Prince, M.J.; Wu, F.; Guo, Y.; Robledo, L.M.G.; O’Donnell, M.; Sullivan, R.; Yusuf, S. The burden of disease in older people and implications for health policy and practice. Lancet 2015, 385, 549–562. [Google Scholar] [CrossRef]
- American Psychiatric Association. Diagnostic and Statistical Manual of Mental Disorders, 5th ed.; American Psychiatric Association: Washington, DC, USA, 2013.
- Sacuiu, S.F. Chapter 8—Dementias. In Handbook of Clinical Neurology; Aminoff, M.J., Boller, F., Swaab, D.F., Eds.; Elsevier: Amsterdam, The Netherlands, 2016; Volume 138; pp. 123–151. [Google Scholar]
- Schmidt, D.; Jiang, Q.-X.; MacKinnon, R. Phospholipids and the origin of cationic gating charges in voltage sensors. Nature 2006, 444, 775–779. [Google Scholar] [CrossRef]
- Aureli, M.; Grassi, S.; Prioni, S.; Sonnino, S.; Prinetti, A. Lipid membrane domains in the brain. Biochim. Biophys. Acta (BBA) - Mol. Cell Biol. Lipids 2015, 1851, 1006–1016. [Google Scholar] [CrossRef]
- García-Morales, V.; Montero, F.; González-Forero, D.; Rodríguez-Bey, G.; Gómez-Pérez, L.; Medialdea-Wandossell, M.J.; Domínguez-Vías, G.; García-Verdugo, J.M.; Moreno-López, B. Membrane-Derived Phospholipids Control Synaptic Neurotransmission and Plasticity. PLoS Biol. 2015, 13, e1002153. [Google Scholar] [CrossRef]
- Wood, P.L.; Mankidy, R.; Ritchie, S.; Heath, D.; Wood, J.A.; Flax, J.; Goodenowe, D.B. Circulating plasmalogen levels and Alzheimer Disease Assessment Scale–Cognitive scores in Alzheimer patients. J. Psychiatry Neurosci. 2010, 35, 59–62. [Google Scholar] [CrossRef] [PubMed]
- St John-Williams, L.; Blach, C.; Toledo, J.B.; Rotroff, D.M.; Kim, S.; Klavins, K.; Baillie, R.; Han, X.; Mahmoudiandehkordi, S.; Jack, J.; et al. Targeted metabolomics and medication classification data from participants in the ADNI1 cohort. Sci. Data 2017, 4, 170140. [Google Scholar] [CrossRef] [PubMed]
- Varma, V.R.; Oommen, A.M.; Varma, S.; Casanova, R.; An, Y.; Andrews, R.M.; O’Brien, R.; Pletnikova, O.; Troncoso, J.C.; Toledo, J.; et al. Brain and blood metabolite signatures of pathology and progression in Alzheimer disease: A targeted metabolomics study. PLoS Med. 2018, 15, e1002482. [Google Scholar] [CrossRef]
- American Diabetes Association Professional Practice Committee. 2. Diagnosis and Classification of Diabetes: Standards of Care in Diabetes—2025. Diabetes Care 2024, 48, S27–S49. [Google Scholar] [CrossRef] [PubMed]
- Song, S.; Cheong, L.-Z.; Man, Q.-Q.; Pang, S.-J.; Li, Y.-Q.; Ren, B.; Zhang, J. Characterization of potential plasma biomarkers related to cognitive impairment by untargeted profiling of phospholipids using the HILIC-ESI-IT-TOF-MS system. Anal. Bioanal. Chem. 2018, 410, 2937–2948. [Google Scholar] [CrossRef]
- Song, S.; Liu, T.-T.; Liang, X.; Liu, Z.-Y.; Yishake, D.; Lu, X.-T.; Yang, M.-T.; Man, Q.-Q.; Zhang, J.; Zhu, H.-L. Profiling of phospholipid molecular species in human breast milk of Chinese mothers and comprehensive analysis of phospholipidomic characteristics at different lactation stages. Food Chem. 2021, 348, 129091. [Google Scholar] [CrossRef] [PubMed]
- Lefèvre-Arbogast, S.; Hejblum, B.P.; Helmer, C.; Klose, C.; Manach, C.; Low, D.Y.; Urpi-Sarda, M.; Andres-Lacueva, C.; González-Domínguez, R.; Aigner, L.; et al. Early signature in the blood lipidome associated with subsequent cognitive decline in the elderly: A case-control analysis nested within the Three-City cohort study. eBioMedicine 2021, 64, 103216. [Google Scholar] [CrossRef]
- Kadyrov, M.; Whiley, L.; Erickson, K.I.; Brown, B.; Holmes, E. Arachidic Acid-Carrying Phosphatidylglycerol Lipids Statistically Mediate the Relationship Between Central Adiposity and Cognitive Function in Cognitively Unimpaired Older Adults. Nutrients 2025, 17, 3405. [Google Scholar] [CrossRef]
- Luo, Y.; Marrero, E.V.; Choudhary, V.; Bollag, W.B. Phosphatidylglycerol to Treat Chronic Skin Wounds in Diabetes. Pharmaceutics 2023, 15, 1497. [Google Scholar] [CrossRef]
- Goodenowe, D.B.; Cook, L.L.; Liu, J.; Lu, Y.; Jayasinghe, D.A.; Ahiahonu, P.W.K.; Heath, D.; Yamazaki, Y.; Flax, J.; Krenitsky, K.F.; et al. Peripheral ethanolamine plasmalogen deficiency: A logical causative factor in Alzheimer’s disease and dementia. J. Lipid Res. 2007, 48, 2485–2498. [Google Scholar] [CrossRef] [PubMed]
- Wood, P.L.; Locke, V.A.; Herling, P.; Passaro, A.; Vigna, G.B.; Volpato, S.; Valacchi, G.; Cervellati, C.; Zuliani, G. Targeted lipidomics distinguishes patient subgroups in mild cognitive impairment (MCI) and late onset Alzheimer’s disease (LOAD). BBA Clin. 2016, 5, 25–28. [Google Scholar] [CrossRef] [PubMed]
- Liu, T.-T.; Pang, S.-J.; Jia, S.-S.; Man, Q.-Q.; Li, Y.-Q.; Song, S.; Zhang, J. Association of Plasma Phospholipids with Age-Related Cognitive Impairment: Results from a Cross-Sectional Study. Nutrients 2021, 13, 2185. [Google Scholar] [CrossRef] [PubMed]
- Rodemer, C.; Thai, T.P.; Brugger, B.; Kaercher, T.; Werner, H.; Nave, K.A.; Wieland, F.; Gorgas, K.; Just, W.W. Inactivation of ether lipid biosynthesis causes male infertility, defects in eye development and optic nerve hypoplasia in mice. Hum. Mol. Genet. 2003, 12, 1881–1895. [Google Scholar] [CrossRef]
- Luoma, A.M.; Kuo, F.; Cakici, O.; Crowther, M.N.; Denninger, A.R.; Avila, R.L.; Brites, P.; Kirschner, D.A. Plasmalogen phospholipids protect internodal myelin from oxidative damage. Free Radic. Biol. Med. 2015, 84, 296–310. [Google Scholar] [CrossRef]
- Miville-Godbout, E.; Bourque, M.; Morissette, M.; Al-Sweidi, S.; Smith, T.; Mochizuki, A.; Senanayake, V.; Jayasinghe, D.; Wang, L.; Goodenowe, D.; et al. Plasmalogen Augmentation Reverses Striatal Dopamine Loss in MPTP Mice. PLoS ONE 2016, 11, e0151020. [Google Scholar] [CrossRef]
- Werner, E.R.; Keller, M.A.; Sailer, S.; Lackner, K.; Koch, J.; Hermann, M.; Coassin, S.; Golderer, G.; Werner-Felmayer, G.; Zoeller, R.A.; et al. The TMEM189 gene encodes plasmanylethanolamine desaturase which introduces the characteristic vinyl ether double bond into plasmalogens. Proc. Natl. Acad. Sci. USA 2020, 117, 7792–7798. [Google Scholar] [CrossRef]
- Li, N.J.; Liu, W.T.; Li, W.; Li, S.Q.; Chen, X.H.; Bi, K.S.; He, P. Plasma metabolic profiling of Alzheimer’s disease by liquid chromatography/mass spectrometry. Clin. Biochem. 2010, 43, 992–997. [Google Scholar] [CrossRef] [PubMed]
- Wood, P.; Phillipps, A.; Woltjer, R.L.; Kaye, J.; Quinn, J. Increased lysophosphatidylethanolamine and diacylglycerol levels in Alzheimer’s disease plasma. JSM Alzheimer’s Dis. Relat. Dement. 2014, 1, 1001. [Google Scholar]
- Tsukahara, T.; Matsuda, Y.; Haniu, H. Lysophospholipid-Related Diseases and PPARγ Signaling Pathway. Int. J. Mol. Sci. 2017, 18, 2730. [Google Scholar] [CrossRef] [PubMed]
- Oliveira, T.G.; Chan, R.B.; Tian, H.; Laredo, M.; Shui, G.; Staniszewski, A.; Zhang, H.; Wang, L.; Kim, T.-W.; Duff, K.E.; et al. Phospholipase D2 Ablation Ameliorates Alzheimer’s Disease-Linked Synaptic Dysfunction and Cognitive Deficits. J. Neurosci. 2010, 30, 16419–16428. [Google Scholar] [CrossRef]
- Morel, E.; Chamoun, Z.; Lasiecka, Z.M.; Chan, R.B.; Williamson, R.L.; Vetanovetz, C.; Dall’Armi, C.; Simoes, S.; Du Jour, K.S.P.; McCabe, B.D.; et al. Phosphatidylinositol-3-phosphate regulates sorting and processing of amyloid precursor protein through the endosomal system. Nat. Commun. 2013, 4, 2250. [Google Scholar] [CrossRef]
- Zhang, C.; Liu, X.; Wang, J.; Zhou, G.; Geng, B.; Hu, M.; Tang, Q. Investigating the causal relationships between lipid traits and dementia with lewy bodies: A mendelian randomization study. Park. Relat. Disord. 2025, 142, 107312. [Google Scholar] [CrossRef]



| Characteristic | Total | Cognitive Decline | p-Value | |
|---|---|---|---|---|
| Cases | Non-Cases | |||
| Participants, n [%] | 209 [100.0] | 32 [15.31] | 177 [84.69] | —— |
| Female, n [%] | 138 [66.0] | 24 [75] | 114 [64.4] | 0.336 |
| Age (years), mean [SD 1] | 65.8 [4.5] | 65.8 [5.2] | 65.8 [4.4] | 0.955 |
| Educational attainment, n [%] | 0.063 | |||
| Non-literate | 9 [4.3] | 4 [12.5] | 5 [2.8] | |
| Primary school | 46 [22.0] | 8 [25.0] | 38 [21.5] | |
| Middle school | 126 [60.3] | 15 [46.9] | 111 [62.7] | |
| High school or higher | 28 [13.4] | 5 [15.6] | 23 [13.0] | |
| Smoking, n [%] | 0.258 | |||
| Non-smoker | 178 [85.2] | 26 [81.2] | 152 [85.9] | |
| Former smoker | 13 [6.2] | 4 [12.5] | 9 [5.1] | |
| Current smoker | 18 [8.6] | 2 [6.2] | 16 [9.0] | |
| Physical activity, n [%] | 0.757 | |||
| Do not participate | 28 [13.4] | 6 [13.6] | 22 [13.3] | |
| 2–3 times a month | 20 [9.6] | 6 [13.6] | 14 [8.5] | |
| 3–4 times a week | 20 [9.6] | 4 [9.1] | 16 [9.7] | |
| ≥1 time a day | 141 [67.5] | 28 [63.6] | 113 [68.5] | |
| Sleep duration (h/d), mean [SD] | 6.9 [1.3] | 6.7 [1.2] | 6.9 [1.3] | 0.417 |
| Hypertension, n [%] | 0.106 | |||
| No | 109 [51.0] | 22 [68.8] | 87 [49.2] | |
| Yes | 96 [45.9] | 10 [31.2] | 86 [48.6] | |
| Unknown | 4 [1.9] | 0 [0.0] | 4 [2.3] | |
| Diabetes mellitus 2, n [%] | 0.5867 | |||
| No | 187 [89.5] | 30 [93.8] | 157 [88.7] | |
| Yes | 22 [10.5] | 2 [ 6.2] | 20 [11.3] | |
| Dyslipidemia 2, n [%] | 0.4188 | |||
| No | 127 [60.8] | 22 [68.8] | 105 [59.3] | |
| Yes | 82 [39.2] | 10 [31.2] | 72 [40.7] | |
| Glu (mmol/L), mean [SD] | 5.78 [1.57] | 5.61 [1.32] | 5.82 [1.61] | 0.485 |
| TG (mmol/L), mean [SD] | 1.5 [0.9] | 1.4 [0.8] | 1.6 [0.9] | 0.327 |
| TC (mmol/L), mean [SD] | 5.1 [1.0] | 5.2 [1.2] | 5.1 [0.9] | 0.612 |
| LDL-C (mmol/L), mean [SD] | 3.2 [0.9] | 3.2 [1.0] | 3.1 [0.9] | 0.573 |
| HDL-C (mmol/L), mean [SD] | 1.2 [0.3] | 1.19 [0.3] | 1.3 [0.3] | 0.051 |
| MoCA score at baseline, mean [SD] | 23.1 [2.6] | 23.3 [2.5] | 24.8 [2.7] | 0.003 |
| MoCA score after 1 year, mean [SD] | 24.6 [3.1] | 25.3 [2.6] | 20.7 [2.8] | <0.001 |
| Classes | Molecular Species [n] | Total | Cognitive Decline | p-Value | |
|---|---|---|---|---|---|
| Cases | Non-Cases | ||||
| PE | 55 | 44.9 [16.9] | 45.3 [18.7] | 44.8 [16.5] | 0.865 |
| LPE | 11 | 4.7 [1.6] | 4.8 [1.8] | 4.7 [1.6] | 0.900 |
| PC | 62 | 1439.0 [337.3] | 1485.8 [393.3] | 1425.7 [367.7] | 0.367 |
| LPC | 22 | 151.0 [53.2] | 164.4 [61.7] | 147.2 [50.1] | 0.172 |
| PS | 22 | 2.4 [3.4] | 2.2 [2.6] | 2.5 [3.7] | 0.275 |
| PG | 5 | 0.7 [0.4] | 0.7 [0.3] | 0.7 [0.4] | 0.431 |
| PI | 19 | 44.3 [19.6] | 46.7 [21.3] | 43.6 [19.1] | 0.487 |
| PA | 3 | 0.5 [0.3] | 0.5 [0.3] | 0.4 [0.3] | 0.430 |
| SM | 30 | 392.4 [130.8] | 423.7 [141.7] | 383.5 [126.7] | 0.082 |
| Model 2 | OR for Quartiles | Ptrand | OR per SD | p-Value | |||
|---|---|---|---|---|---|---|---|
| Q1 | Q2 | Q3 | Q4 | ||||
| PE(O-40.5) | |||||||
| Model 1 | 1 | 1.68 (1.12, 2.52) | 2.52 (1.22, 5.20) | 7.44 (1.55, 35.67) | 0.1583 | 2.16 (1.18, 3.95) | 0.013 |
| Model 2 | 1 | 1.60 (1.03, 2.50) | 2.32 (1.05, 5.14) | 6.21 (1.11, 34.88) | 0.2535 | 2.02 (1.04, 3.92) | 0.039 |
| Model 3 | 1 | 1.82 (1.10, 3.01) | 2.90 (1.18, 7.13) | 10.05 (1.43, 70.87) | 0.3636 | 2.43 (1.15, 5.14) | 0.022 |
| PC(42:4) | |||||||
| Model 1 | 1 | 1.15 (0.88, 1.49) | 1.39 (0.74, 2.60) | 2.23 (0.48, 10.30) | 0.4368 | 1.30 (0.79, 2.12) | 0.305 |
| Model 2 | 1 | 1.19 (0.90, 1.58) | 1.51 (0.77, 2.98) | 2.75 (0.52, 14.39) | 0.2914 | 1.39 (0.81, 2.36) | 0.233 |
| Model 3 | 1 | 1.31 (0.95, 1.80) | 1.91 (0.88, 4.11) | 4.82 (0.74, 31.45) | 0.3840 | 1.66 (0.91, 3.04) | 0.102 |
| LPC(18:3) | |||||||
| Model 1 | 1 | 1.72 (1.18, 2.52) | 3.08 (1.40, 6.77) | 8.53 (1.89, 38.44) | 0.0500 | 2.31 (1.28, 4.17) | 0.006 |
| Model 2 | 1 | 1.59 (1.06, 2.40) | 2.63 (1.13, 6.12) | 6.31 (1.26, 31.66) | 0.1863 | 2.06 (1.09, 3.87) | 0.026 |
| Model 3 | 1 | 1.67 (1.07, 2.60) | 2.88 (1.15, 7.23) | 7.52 (1.30, 43.48) | 0.2993 | 2.20 (1.11, 4.38) | 0.026 |
| PS(34:3) | |||||||
| Model 1 | 1 | 1.10 (0.85, 1.43) | 1.18 (0.75, 1.88) | 1.49 (0.50, 4.41) | 0.8200 | 1.21 (0.72, 2.01) | 0.473 |
| Model 2 | 1 | 1.18 (0.88, 1.57) | 1.33 (0.80, 2.22) | 1.96 (0.59, 6.55) | 0.9681 | 1.37 (0.78, 2.42) | 0.275 |
| Model 3 | 1 | 1.14 (0.84, 1.55) | 1.25 (0.73, 2.16) | 1.71 (0.47, 6.15) | 0.7822 | 1.29 (0.70, 2.35) | 0.415 |
| PG(36:3) | |||||||
| Model 1 | 1 | 0.71 (0.53, 0.95) | 0.40 (0.18, 0.87) | 0.07 (0.01, 0.66) | 0.1113 | 0.38 (0.17, 0.86) | 0.021 |
| Model 2 | 1 | 0.72 (0.52, 1.00) | 0.42 (0.18, 0.99) | 0.08 (0.01, 0.98) | 0.2293 | 0.39 (0.16, 0.99) | 0.049 |
| Model 3 | 1 | 0.75 (0.53, 1.06) | 0.46 (0.18, 1.18) | 0.11 (0.01, 1.60) | 0.2161 | 0.44 (0.16, 1.19) | 0.108 |
| PG(34:2) | |||||||
| Model 1 | 1 | 0.64 (0.41, 1.01) | 0.40 (0.16, 1.01) | 0.08 (0.01, 1.04) | 0.1507 | 0.47 (0.22, 1.01) | 0.055 |
| Model 2 | 1 | 0.61 (0.36, 1.03) | 0.36 (0.12, 1.07) | 0.06 (0.00, 1.21) | 0.3913 | 0.43 (0.18, 1.06) | 0.068 |
| Model 3 | 1 | 0.59 (0.33, 1.07) | 0.34 (0.10, 1.15) | 0.05 (0.00, 1.47) | 0.2229 | 0.41 (0.15, 1.12) | 0.084 |
| PI(38:2) | |||||||
| Model 1 | 1 | 1.70 (1.10, 2.64) | 2.98 (1.21, 7.32) | 15.32 (1.62, 144.57) | 0.6588 | 2.78 (1.20, 6.46) | 0.018 |
| Model 2 | 1 | 1.99 (1.20, 3.29) | 4.08 (1.45, 11.46) | 33.51 (2.53, 443.56) | 0.3836 | 3.73 (1.42, 9.83) | 0.008 |
| Model 3 | 1 | 2.09 (1.21, 3.64) | 4.55 (1.47, 14.08) | 43.96 (2.61, 741.53) | 0.4460 | 4.13 (1.43, 11.93) | 0.009 |
| PA(39:4) | |||||||
| Model 1 | 1 | 2.19 (1.38, 3.48) | 3.56 (1.68, 7.53) | 14.80 (3.02, 72.55) | 0.0084 | 2.90 (1.55, 5.42) | 0.001 |
| Model 2 | 1 | 2.60 (1.49, 4.56) | 4.71 (1.90, 11.68) | 26.80 (3.90, 184.14) | 0.0026 | 3.66 (1.71, 7.83) | 0.001 |
| Model 3 | 1 | 2.82 (1.59, 4.98) | 5.36 (2.13, 13.50) | 35.29 (4.97, 250.34) | 0.0024 | 4.08 (1.88, 8.84) | 0.001 |
Disclaimer/Publisher’s Note: The statements, opinions and data contained in all publications are solely those of the individual author(s) and contributor(s) and not of MDPI and/or the editor(s). MDPI and/or the editor(s) disclaim responsibility for any injury to people or property resulting from any ideas, methods, instructions or products referred to in the content. |
© 2026 by the authors. Licensee MDPI, Basel, Switzerland. This article is an open access article distributed under the terms and conditions of the Creative Commons Attribution (CC BY) license.
Share and Cite
Liu, T.-T.; Xie, J.-W.; Long, X.; Yu, X.-C.; Jia, S.-S.; Man, Q.-Q.; Li, J.; Quan, P.-J.; Shan, K.-C.; Zhang, J.; et al. Plasma Phospholipid Biomarkers Related to the Risk of Cognitive Decline in the Elderly: Results from a Cohort Study. Nutrients 2026, 18, 185. https://doi.org/10.3390/nu18020185
Liu T-T, Xie J-W, Long X, Yu X-C, Jia S-S, Man Q-Q, Li J, Quan P-J, Shan K-C, Zhang J, et al. Plasma Phospholipid Biomarkers Related to the Risk of Cognitive Decline in the Elderly: Results from a Cohort Study. Nutrients. 2026; 18(2):185. https://doi.org/10.3390/nu18020185
Chicago/Turabian StyleLiu, Ting-Ting, Jia-Wei Xie, Xin Long, Xin-Can Yu, Shan-Shan Jia, Qing-Qing Man, Jing Li, Pu-Jun Quan, Ke-Chang Shan, Jian Zhang, and et al. 2026. "Plasma Phospholipid Biomarkers Related to the Risk of Cognitive Decline in the Elderly: Results from a Cohort Study" Nutrients 18, no. 2: 185. https://doi.org/10.3390/nu18020185
APA StyleLiu, T.-T., Xie, J.-W., Long, X., Yu, X.-C., Jia, S.-S., Man, Q.-Q., Li, J., Quan, P.-J., Shan, K.-C., Zhang, J., Song, S., & Liu, D. (2026). Plasma Phospholipid Biomarkers Related to the Risk of Cognitive Decline in the Elderly: Results from a Cohort Study. Nutrients, 18(2), 185. https://doi.org/10.3390/nu18020185

