Extent of Unidentified Complaints and Depression Is Inversely Associated with Fish and Shellfish Intake in Young Japanese Women
Abstract
1. Introduction
2. Materials and Methods
2.1. Study Design
2.2. Questionnaires
2.2.1. FFQg
2.2.2. MDCQ
2.2.3. BDI-II
2.3. Data Analysis
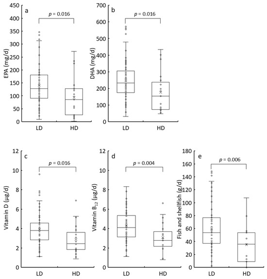
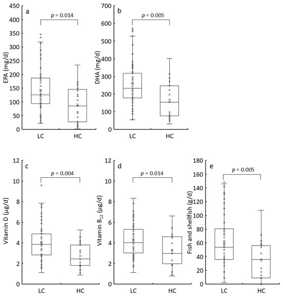
3. Results
4. Discussion
5. Conclusions
Supplementary Materials
Author Contributions
Funding
Institutional Review Board Statement
Informed Consent Statement
Data Availability Statement
Acknowledgments
Conflicts of Interest
Abbreviations
| BDI-II | Beck Depression Inventory Second Edition |
| BMI | Body mass index |
| CI | Confidence interval |
| DHA | Docosahexaenoic acid |
| EPA | Eicosapentaenoic acid |
| FFQg | Food Frequency Questionnaire based on Food Groups |
| HC | High complaint |
| HC-HD | High complaint–high depression |
| HD | High depression |
| LC | Low complaint |
| LC-LD | Low complaint–low depression |
| LD | Low depression |
| MDCQ | Micronutrient deficiency-related complaints questionnaire |
| min–max | Minimum–maximum |
| SD | Standard deviation |
References
- Abe, T. Psychosomatic View-point for the Unidentified Clinical Syndrome. Jpn. J. Psychosom. Med. 1979, 19, 5–13. [Google Scholar]
- Nanba, A.; Goto, Y.; Nakatsuka, M.; Okuda, H.; Ikeda, T. General malaise in adolescents -Relation to menstruction and masculine characteristics-. J. Jpn. Soc. Matern. Health 2008, 48, 451–461. [Google Scholar]
- Noro, S.; Nakahata, H.; Kasai, S. Background of unexpected physical symptoms of the middle age women. J. Jpn. Soc. Psychosom. Obstet. Gynecol. 1999, 3, 41–45. [Google Scholar]
- Takase, S.; Morimoto, A.; Shimura, F.; Hosoya, K. Unidentified complaints and eating behavior. J. Jpn. Soc. Food Nutr. 1975, 28, 309–317. [Google Scholar]
- Watanabe, Y.; Kumagai, M.; Aoki, H. Relationship with Evaluation of Unspecified Complaints and Eating Behavior in Female College Students. Jpn. J. Nutr. Diet. 1997, 55, 197–204. [Google Scholar] [CrossRef]
- Husain, M.; Chalder, T. Medically unexplained symptoms: Assessment and management. Clin. Med. 2021, 21, 13–18. [Google Scholar] [CrossRef]
- Löwe, B.; Toussaint, A.; Rosmalen, J.G.M.; Huang, W.L.; Burton, C.; Weigel, A.; Levenson, J.L.; Henningsen, P. Persistent physical symptoms: Definition, genesis, and management. Lancet 2024, 403, 2649–2662. [Google Scholar] [CrossRef]
- Abe, T. Clinical Studies of the Vitamins. J. Jpn. Soc. Intern. Med. 1965, 54, 989–1006. [Google Scholar] [CrossRef][Green Version]
- Nakao, M.; Kunoki, T. Clinical features of outpatients attending a medical symptom reduction program at the Mind/Body Clinic, Harvard Medical School -A comparison study of outpatient database with the Department of Psychosomatic Medicine, School of Medicine, the University Tokyo-. Jpn. J. Behav. Med. 2003, 9, 1–8. [Google Scholar]
- Hiruta, Y. A study on unidentified complaints of women. Aino J. 2002, 1, 13–20. [Google Scholar]
- Obayashi, S.; Kubota, T. Climacteric Syndrome as Indefinite Complaints. J. Jpn. Soc. Psychosom. Obstet. Gynecol. 2009, 14, 183–189. [Google Scholar]
- Tsutsui, S.; Hani, M.; Shimada, R. Unidentified complaints and its management. Obstet. Gynecol. Ther. 1998, 77, 21–26. [Google Scholar]
- Nagano, M.; Hayashi, C.; Hatakeyama, T.; Onuki, K. Search for factors associated with a high extent of indefinite complaints in healthy individuals. J. Jpn. Mibyou Assoc. 2009, 15, 357–360. [Google Scholar]
- Amamoto, R.; Dozono, M.; Toyama, K. The relationship between dietary life and indefinite complaint in female Nutrition Department students. Bull. Seinan Jogakuin Univ. 2004, 8, 75–85. [Google Scholar]
- Gao, J.; Misho, Y.; Kozono, Y.; Mikami, M.; Kurimoto, J.; Yamamoto, H.; Kishida, N.; Kakehashi, M. The correlation between dietary habits and unidentified complaints of elementary school children. Sch. Health 2007, 3, 15–21. [Google Scholar]
- Harada, M. Relationship between dietary habits and subjective symptoms in college students of nutrition specialism. Jpn. J. Nutr. 1988, 46, 175–184. [Google Scholar]
- Hattori, S.; Kitao, T.; Adachi, T. The relationship between health conditions and dietary habits of female students: A study using a simplified questionnaire survey. J. Dept Soc. Welfare, Kansai Univ. Soc. Welf. 2009, 12, 45–54. [Google Scholar]
- Murakami, A.; Kariyasu, R.; Kishimoto, M. Characteristics of dietary life and psychosomatic complaints in college students. Mem. Fac. Educ. Reg. Stud. Fukui Univ. Ser. V Appl. Sci 2005, 44, 1–18. [Google Scholar]
- Saito, M.; Miura, M.; Hayakawa, K.; Tomita, M.; Nomiya, T.; Kodama, A.; Sato, A. The relationship between complaints of vague or indeterminate maladies amongst female college students and their lifestyles and nutritional balance. J. Hirosaki Univ. Health Welf. 2018, 9, 9–18. [Google Scholar]
- Sekime, A.; Sawada, M.; Ota, K.; Tanaka, H.; Wada, R.; Mineki, M. Relationship between dietary intake and indefinite complaints among female university students. Bull. Tokyo Kasei Univ. (Nat. Sci.) 2020, 60, 13–20. [Google Scholar]
- Suzuki, M. The relationship between unidentified complaints and dietary pattern. J. Urban. Living Health Assoc. 1979, 23, 127–131. [Google Scholar]
- Toyose, E. Estimation of health analysis method developed by the Todai (Tokyo University) health index—Relationship between female Women’s Junior College students’ food conditions and results of health analyis. Bull. Teikyo Jr. Coll. 1987, 6, 45–54. [Google Scholar]
- Hashizume, N.; Nakamura, T.; Minato, K.; Furuie, D.; Sugihara, K.; Okamoto, M. A system for nutritional consulting using quick questionnaires on diet and unidentified complaints. J. Clin. Biochem. Nutr. 2008, 42, 215–221. [Google Scholar] [CrossRef] [PubMed]
- Ishiwata, Y. Development of Simple Interview Sheet for Detection of Marginal Micronutrient Deficiency. J. Jpn. Soc. Clin. Nutr. 2004, 25, 229–236. [Google Scholar]
- Morio, T.; Kato, S.; Ishiwata, Y.; Kumamoto, N.; Hashizume, N.; Igarashi, O.; Goshima, A.; Nakamura, C. System for Detecting Potential Micronutrient Deficiencies and Questionnaire Set for Use Therein (JP, 2000-158853A). 2000. Available online: https://www.j-platpat.inpit.go.jp/c1801/PU/JP-H10-340470/10/ja (accessed on 10 February 2025).
- Takahashi, K. Food Frequency Questionnaire Based on Food Groups for Estimating Individual Nutrient Intake. Jpn. J. Nutr. Diet. 2003, 61, 161–169. [Google Scholar]
- Takahashi, K.; Yoshimura, Y.; Kaimoto, T.; Kunii, D.; Komatsu, T.; Yamamoto, S. Validation of a Food Frequency Questionnaire Based on Food Groups for Estimating Individual Nutrient Intake. Jpn. J. Nutr. Diet. 2001, 59, 221–232. [Google Scholar] [CrossRef]
- Beck, A.; Steer, R.; Brown, G. Manual for the Beck Depression Inventory-II; Psychological Corporation: San Antonio, TX, USA, 1996. [Google Scholar]
- Beck, A.; Steer, R.; Brown, G.; Kojima, M.; Furukawa, T. Manual for the Beck Depression Inventory, 2nd ed.; Nihon Bunka Kagakusha: Tokyo, Japan, 2003. (In Japanese) [Google Scholar]
- Ministry of Health, Labour and Welfare, Japan. Dietary Reference Intakes for Japanese (2020). 2019. Available online: https://www.mhlw.go.jp/content/10900000/001150922.pdf (accessed on 3 February 2025).
- Ministry of Education, C.; Sports, Science and Technology (MEXT), Japan. Standard Tables of Food Composition in Japan—2015—(Seventh Revised Version). Available online: https://www.mext.go.jp/en/policy/science_technology/policy/title01/detail01/1374030.htm (accessed on 3 February 2025).
- Nishiyama, Y.; Sakai, M. Applicability of the Beck Depression Inventory-II to Japanese University Students. Jpn. J. Behav. Ther. 2009, 35, 145–154. [Google Scholar]
- Ministry of Health, Labour and Welafare, Japan. National Health and Nutrition Survey Japan, 2019. 2020. Available online: https://www.mhlw.go.jp/stf/seisakunitsuite/bunya/kenkou_iryou/kenkou/eiyou/r1-houkoku_00002.html (accessed on 6 February 2025).
- Whisman, M.; Perez, J.; Ramel, W. Factor structure of the Beck Depression Inventory-Second Edition (BDI-II) in a student sample. J. Clin. Psychol. 2000, 56, 545–551. [Google Scholar] [CrossRef]
- Saini, R.K.; Keum, Y.-S. Omega-3 and omega-6 polyunsaturated fatty acids: Dietary sources, metabolism, and significance—A review. Life Sci. 2018, 203, 255–267. [Google Scholar] [CrossRef]
- Nakamura, K.; Nashimoto, M.; Okuda, Y.; Ota, T.; Yamamoto, M. Fish as a major source of vitamin D in the Japanese diet. Nutrition 2002, 18, 415–416. [Google Scholar]
- Yoshino, K.; Inagawa, M.; Oshima, M.; Yokota, K.; Umesawa, M.; Enbo, M.; Yamagishi, K.; Tanigawa, T.; Sato, S.; Shimamoto, T.; et al. Trends in dietary intake of folate, vitamins B6, and B12 among Japanese adults in two rural communities from 1974 through 2001. J. Epidemiol. 2005, 15, 29–37. [Google Scholar] [PubMed]
- Simon, G.E.; VonKorff, M.; Piccinelli, M.; Fullerton, C.; Ormel, J. An international study of the relation between somatic symptoms and depression. N. Engl. J. Med. 1999, 341, 1329–1335. [Google Scholar] [PubMed]
- Li, F.; Liu, X.; Zhang, D. Fish consumption and risk of depression: A meta-analysis. J. Epidemiol. Community Health 2016, 70, 299–304. [Google Scholar] [CrossRef] [PubMed]
- Yang, Y.; Kim, Y.; Je, Y. Fish consumption and risk of depression: Epidemiological evidence from prospective studies. Asia Pac. Psychiatry 2018, 10, e12335. [Google Scholar]
- Ruxton, C. The benefits of fish consumption. Nutr. Bull. 2011, 36, 6–19. [Google Scholar]
- Lang, U.E.; Beglinger, C.; Schweinfurth, N.; Walter, M.; Borgwardt, S. Nutritional aspects of depression. Cell Physiol. Biochem. 2015, 37, 1029–1043. [Google Scholar]
- Zielinska, M.; Luszczki, E.; Deren, K. Dietary Nutrient Deficiencies and Risk of Depression (Review Article 2018-2023). Nutrients 2023, 15, 2433. [Google Scholar] [CrossRef]
- Parletta, N.; Zarnowiecki, D.; Cho, J.; Wilson, A.; Bogomolova, S.; Villani, A.; Itsiopoulos, C.; Niyonsenga, T.; Blunden, S.; Meyer, B.; et al. A Mediterranean-style dietary intervention supplemented with fish oil improves diet quality and mental health in people with depression: A randomized controlled trial (HELFIMED). Nutr. Neurosci. 2019, 22, 474–487. [Google Scholar]
- Zhao, W.; Zhu, D.M.; Shen, Y.; Zhang, Y.; Chen, T.; Cai, H.; Zhu, J.; Yu, Y. The protective effect of vitamin D supplementation as adjunctive therapy to antidepressants on brain structural and functional connectivity of patients with major depressive disorder: A randomized controlled trial. Psychol. Med. 2024, 54, 2403–2413. [Google Scholar]
- Carnegie, R.; Borges, M.C.; Jones, H.J.; Zheng, J.; Haycock, P.; Evans, J.; Martin, R.M. Omega-3 fatty acids and major depression: A Mendelian randomization study. Transl. Psychiatry 2024, 14, 222. [Google Scholar]
- Navale, S.S.; Mulugeta, A.; Zhou, A.; Llewellyn, D.J.; Hypponen, E. Vitamin D and brain health: An observational and Mendelian randomization study. Am. J. Clin. Nutr. 2022, 116, 531–540. [Google Scholar] [PubMed]
- Chen, J.; Jayachandran, M.; Bai, W.; Xu, B. A critical review on the health benefits of fish consumption and its bioactive constituents. Food Chem. 2022, 369, 130874. [Google Scholar]
- Hajianfar, H.; Mollaghasemi, N.; Tavakoly, R.; Campbell, M.S.; Mohtashamrad, M.; Arab, A. The association between dietary zinc intake and health status, including mental health and sleep quality, among Iranian female students. Biol. Trace Elem. Res. 2021, 199, 1754–1761. [Google Scholar] [PubMed]
- Lin, K.; Li, Y.; Toit, E.D.; Wendt, L.; Sun, J. Effects of polyphenol supplementations on improving depression, anxiety, and quality of life in patients with depression. Front. Psychiatry 2021, 12, 765485. [Google Scholar]
- Ihara, H.; Kakinoki, T.; Morita, Y.; Shino, Y.; Takamiya, K.; Suzuki, M.; Hashizume, N. Whole blood concentration of total vitamin B1 in 602 patients with suspected vitamin B1 deficiency. J. Anal. Bio-Sci. 2010, 33, 179–183. [Google Scholar]
- Kuwabara, A.; Nakatani, E.; Nakajima, H.; Sasaki, S.; Kohno, K.; Uenishi, K.; Takenaka, M.; Takahashi, K.; Maeta, A.; Sera, N.; et al. Development of a predictive scoring system for vitamin D deficiency ’Vitamin D Deficiency Predicting Scoring (ViDDPreS)’ based on the vitamin D status in young Japanese women: A nationwide cross-sectional study. Public Health Nutr. 2024, 27, e185. [Google Scholar]
- Conway, M.C.; McSorley, E.M.; Mulhern, M.S.; Spence, T.; Wijngaarden, E.V.; Watson, G.E.; Wahlberg, K.; Pineda, D.; Broberg, K.; Hyland, B.W.; et al. The influence of fish consumption on serum n-3 polyunsaturated fatty acid (PUFA) concentrations in women of childbearing age: A randomised controlled trial (the iFish Study). Eur. J. Nutr. 2021, 60, 1415–1427. [Google Scholar]
- Lehmann, U.; Gjessing, H.R.; Hirche, F.; Mueller-Belecke, A.; Gudbrandsen, O.A.; Ueland, P.M.; Mellgren, G.; Lauritzen, L.; Lindqvist, H.; Hansen, A.L.; et al. Efficacy of fish intake on vitamin D status: A meta-analysis of randomized controlled trials. Am. J. Clin. Nutr. 2015, 102, 837–847. [Google Scholar]
- Okubo, H.; Murakami, K.; Sasaki, S. Monetary value of self-reported diets and associations with sociodemographic characteristics and dietary intake among Japanese adults: Analysis of nationally representative surveys. Public Health Nutr. 2016, 19, 3306–3318. [Google Scholar]
- Hinata, A.; Kabasawa, K.; Watanabe, Y.; Kitamura, K.; Ito, Y.; Takachi, R.; Tsugane, S.; Tanaka, J.; Sasaki, A.; Narita, I.; et al. Education, household income, and depressive symptoms in middle-aged and older Japanese adults. BMC Public Health 2021, 21, 2120. [Google Scholar]
- Anderson, G.; Berk, M.; Maes, M. Biological phenotypes underpin the physio-somatic symptoms of somatization, depression, and chronic fatigue syndrome. Acta Psychiatr. Scand. 2014, 129, 83–97. [Google Scholar] [PubMed]
- Almeida Moreira Leal, L.K.; Lima, L.A.; Alexandre de Aquino, P.E.; Costa de Sousa, J.A.; Jatai Gadelha, C.V.; Felicio Calou, I.B.; Pereira Lopes, M.J.; Viana Lima, F.A.; Tavares Neves, K.R.; Matos de Andrade, G.; et al. Vitamin D (VD3) antioxidative and anti-inflammatory activities: Peripheral and central effects. Eur. J. Pharmacol. 2020, 879, 173099. [Google Scholar] [PubMed]
- Banaszak, M.; Dobrzynska, M.; Kawka, A.; Gorna, I.; Wozniak, D.; Przyslawski, J.; Drzymala-Czyz, S. Role of Omega-3 fatty acids eicosapentaenoic (EPA) and docosahexaenoic (DHA) as modulatory and anti-inflammatory agents in noncommunicable diet-related diseases —Reports from the last 10 years. Clin. Nutr. ESPEN 2024, 63, 240–258. [Google Scholar] [PubMed]
- Raza, M.L.; Hassan, S.T.; Jamil, S.; Fatima, W.; Fatima, M. Nutritional interventions in depression: The role of vitamin D and omega-3 fatty acids in neuropsychiatric health. Clin. Nutr. 2025, 45, 270–280. [Google Scholar]





| Parameter | All (n = 86) | Japanese Women Aged 20–29 † | |
|---|---|---|---|
| Median (Min–Max) | Average (SD) | Average (SD) | |
| Age (years) | 20 (18–27) | 20.1 (1.1) | - |
| Women/men (n/n) | 86/0 | - | - |
| Anthropometrics | |||
| Height (m) | 1.60 (1.45–1.73) | 1.59 (0.05) | 1.58 (0.06) |
| Weight (kg) | 51.5 (35.2–75.0) | 52.2 (6.3) | 52.0 (8.1) |
| BMI (kg/m2) | 20.4 (15.2–30.7) | 20.7 (2.4) | 21.0 (2.9) |
| Daily nutrient intake | |||
| Energy (kJ) | 7289 (2247–11067) | 7159 (1569) | 6694 (1861) |
| Carbohydrate (g) | 231 (70–393) | 226 (52) | 202 (64) |
| Protein (g) | 60.0 (20.5–111.5) | 59.1 (14.7) | 61.1 (18.4) |
| Fat (g) | 59.4 (18.9–111.2) | 59.0 (15.6) | 55.5 (21.9) |
| (Fatty acids) | |||
| Saturated fatty acid (g) | 19.0 (6.2–35.9) | 19.0 (5.8) | 17.1 (8.1) |
| Monounsaturated fatty acid (g) | 21.2 (6.8–40.0) | 20.9 (5.7) | 20.7 (8.8) |
| n-6 polyunsaturated fatty acid (g) | 10.0 (3.2–23.2) | 10.5 (3.4) | 9.1 (4.6) |
| n-3 polyunsaturated fatty acid (g) | 1.82 (0.53–4.66) | 1.94 (0.67) | 1.82 (1.20) |
| α-linoleic acid (mg) | 1339 (436–3599) | 1479 (568) | NR |
| Eicosapentaenoic acid (EPA) (mg) | 122 (2–346) | 130 (80) | NR |
| Docosahexaenoic acid (DHA) (mg) | 220 (32–573) | 236 (128) | NR |
| (Minerals) | |||
| Sodium (g) | 2.93 (1.14–6.68) | 3.06 (1.12) | 3.28 (1.23) |
| Potassium (g) | 2.06 (0.80–4.15) | 2.03 (0.64) | 1.74 (0.66) |
| Calcium (mg) | 416 (151–897) | 435 (153) | 408 (210) |
| Magnesium (mg) | 216 (86–389) | 212 (63) | 192 (72) |
| Iron (mg) | 6.5 (2.5–11.3) | 6.4 (1.9) | 6.2 (2.5) |
| Zinc (mg) | 7.3 (2.5–13.8) | 7.1 (1.8) | 7.3 (2.7) |
| Copper (mg) | 1.0 (0.4–1.5) | 1.0 (0.3) | 0.90 (0.32) |
| Manganese (mg) | 2.4 (1.0–4.0) | 2.4 (0.7) | NR |
| Iodine (µg) | 478 (14–3259) | 637 (535) | NR |
| Selenium (µg) | 52.3 (17.5–89.3) | 53.5 (13.8) | NR |
| Chromium (µg) | 7.1 (2.9–12.7) | 6.8 (2.2) | NR |
| Molybdenum (µg) | 153 (45–297) | 154 (50) | NR |
| (Vitamins) | |||
| Vitamin A (µgRAE ‡) | 386 (118–880) | 394 (163) | 447 (878) |
| Vitamin D (µg) | 3.5 (0.9 -9.6) | 3.7 (1.7) | 4.6 (5.9) |
| Vitamin E (α-tocopherol) (µg) | 6.0 (2.3–13.6) | 6.3 (1.9) | 5.4 (2.8) |
| Vitamin K (µg) | 193 (67–405) | 197 (84) | 207 (179) |
| Vitamin B1 (mg) | 0.93 (0.41–2.12) | 0.92 (0.26) | 0.77 (0.37) |
| Vitamin B2 (mg) | 1.00 (0.36–1.95) | 1.00 (0.29) | 0.97 (0.43) |
| Niacin (mgNE ‡) | 25.1 (9.7–50.8) | 24.9 (6.8) | 25.6 (9.2) |
| Pantothenic acid (mg) | 5.0 (2.4–9.8) | 5.0 (1.3) | 4.65 (1.73) |
| Vitamin B6 (mg) | 1.0 (0.4–2.3) | 1.0 (0.3) | 0.91 (0.38) |
| Biotin (µg) | 25.8 (11.0 -46.2) | 26.8 (8.2) | NR |
| Folic acid (µg) | 231 (94–466) | 234 (85) | 226 (129) |
| Vitamin B12 (µg) | 3.9 (0.8–8.3) | 4.0 (1.7) | 4.3 (4.2) |
| Vitamin C (mg) | 64.3 (14.2–166.5) | 67.1 (31.5) | 62 (48) |
| Daily food intake | |||
| Grains (g) | 672 (73–1431) | 633 (170) | 352 (142) |
| Potatoes (g) | 25.0 (0–131.2) | 31.9 (28.3) | 35.4 (48.8) |
| Green-yellow vegetables (g) | 15.9 (1.9–52.1) | 18.1 (10.9) | 58.8 (60.8) |
| Light-colored vegetables (g) | 29.6 (0–90.2) | 32.0 (19.2) | 137.8 (109.2) |
| Fruits (g) | 22.4 (0–117.7) | 32.6 (29.8) | 52.7 (95.3) |
| Legumes (g) | 58.7 (0–264.1) | 67.2 (49.8) | 48.1 (69.3) |
| Fish and shellfish (g) | 53.8 (0–148.7) | 54.3 (36.0) | 41.6 (49.9) |
| Meat and poultry (g) | 189 (25–669) | 201 (99) | 108.6 (72.5) |
| Eggs (g) | 43.1 (0–129.4) | 46.9 (20.9) | 34.4 (34.7) |
| Dairy foods (g) | 135 (13–612) | 148 (98) | 104.5 (134.8) |
| Nuts (g) | 2.6 (0–48.6) | 7.8 (11.8) | 1.3 (3.8) |
Disclaimer/Publisher’s Note: The statements, opinions and data contained in all publications are solely those of the individual author(s) and contributor(s) and not of MDPI and/or the editor(s). MDPI and/or the editor(s) disclaim responsibility for any injury to people or property resulting from any ideas, methods, instructions or products referred to in the content. |
© 2025 by the authors. Licensee MDPI, Basel, Switzerland. This article is an open access article distributed under the terms and conditions of the Creative Commons Attribution (CC BY) license (https://creativecommons.org/licenses/by/4.0/).
Share and Cite
Suzuki, T.; Yoshizawa, Y.; Takano, S. Extent of Unidentified Complaints and Depression Is Inversely Associated with Fish and Shellfish Intake in Young Japanese Women. Nutrients 2025, 17, 1252. https://doi.org/10.3390/nu17071252
Suzuki T, Yoshizawa Y, Takano S. Extent of Unidentified Complaints and Depression Is Inversely Associated with Fish and Shellfish Intake in Young Japanese Women. Nutrients. 2025; 17(7):1252. https://doi.org/10.3390/nu17071252
Chicago/Turabian StyleSuzuki, Toshikazu, Yui Yoshizawa, and Shiori Takano. 2025. "Extent of Unidentified Complaints and Depression Is Inversely Associated with Fish and Shellfish Intake in Young Japanese Women" Nutrients 17, no. 7: 1252. https://doi.org/10.3390/nu17071252
APA StyleSuzuki, T., Yoshizawa, Y., & Takano, S. (2025). Extent of Unidentified Complaints and Depression Is Inversely Associated with Fish and Shellfish Intake in Young Japanese Women. Nutrients, 17(7), 1252. https://doi.org/10.3390/nu17071252

