The Effects of a Novel Astragalus-Based Extract (Keyfobell Powder (KFB)) on Longitudinal Bone Growth via IGF-1 Upregulation: A Potential Growth Hormone Alternative
Abstract
1. Introduction
2. Materials and Methods
2.1. Preparation and Analysis of Indicator Compounds in Astragalus Extract Mixture KFB
2.2. Cell Viability
2.3. RNA Extraction and Real-Time Reverse Transcription-Polymerase Chain Reaction (RT-PCR)
2.4. Animal Management and Administration
2.5. Measurement of Femoral Tibial Length and Bone Analysis
2.6. Measurement of Bone Growth Plate Length
2.7. Histological Evaluation of Bone Growth Factors
2.8. Analysis of Blood Growth Factors
2.9. Network Pharmacological Analysis
2.10. Statistical Analysis
3. Results
3.1. Chromatography and Quantitation of the Four Compounds in KFB
3.2. Effect of KFB on Cytotoxicity in GT1-7 Cells
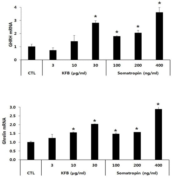
3.3. Effect of KFB on mRNA Expression of GHRH and Ghrelin in GT1-7 Cells
3.4. Effect of KFB on Changes in Body Weight and Longitudinal Bone Growth
3.5. Effects of KFB on Growth Plate and Microstructure of Cortical and Trabecular Bones
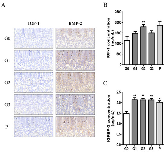
3.6. Effects of KFB on Growth Factor Expression in Blood and Bone Tissues
3.7. Prediction of Molecular Mechanisms of KFB Using Network Pharmacology Analysis
4. Discussion
5. Conclusions
Supplementary Materials
Author Contributions
Funding
Institutional Review Board Statement
Informed Consent Statement
Data Availability Statement
Conflicts of Interest
References
- De Onis, M.; Branca, F. Childhood stunting: A global perspective. Matern. Child Nutr. 2016, 12, 12–26. [Google Scholar] [CrossRef] [PubMed]
- Ranke, M.B. Short and long-term effects of growth hormone in children and adolescents with GH deficiency. Front. Endocrinol. 2021, 12, 720419. [Google Scholar] [CrossRef]
- Goli, P.; Yazdi, M.; Heidari-Beni, M.; Kelishadi, R. Growth Hormone Response to L-Arginine Alone and Combined with Different Doses of Growth Hormone-Releasing Hormone: A Systematic Review and Meta-Analysis. Int. J. Endocrinol. 2022, 2022, 8739289. [Google Scholar] [CrossRef] [PubMed]
- Goldenberg, N.; Barkan, A. Factors regulating growth hormone secretion in humans. Endocrinol. Metab. Clin. 2007, 36, 37–55. [Google Scholar] [CrossRef]
- Takaya, K.; Ariyasu, H.; Kanamoto, N.; Iwakura, H.; Yoshimoto, A.; Harada, M.; Mori, K.; Komatsu, Y.; Usui, T.; Shimatsu, A. Ghrelin strongly stimulates growth hormone release in humans. J. Clin. Endocrinol. Metab. 2000, 85, 4908–4911. [Google Scholar] [CrossRef]
- Hintz, R.L. Growth hormone: Uses and abuses. BMJ 2004, 328, 907–908. [Google Scholar] [CrossRef]
- Lee, S.H.; Kwak, S.C.; Kim, D.K.; Park, S.W.; Kim, H.S.; Kim, Y.-S.; Lee, D.; Lee, J.W.; Lee, C.G.; Lee, H.K. Effects of huang bai (phellodendri cortex) and three other herbs on GnRH and GH levels in GT1–7 and GH3 cells. Evid.-Based Complement. Altern. Med. 2016, 2016, 9389028. [Google Scholar] [CrossRef]
- Yeon-Hee, J.; Dong-Yeol, Y. The literatual study on the growth disorder. J. Pediatr. Korean Med. 1999, 13, 17–62. [Google Scholar]
- Song, J.; Lee, S.H.; Lee, D.; Kim, H. Astragalus extract mixture HT042 improves bone growth, mass, and microarchitecture in prepubertal female rats: A microcomputed tomographic study. Evid.-Based Complement. Altern. Med. 2017, 2017, 5219418. [Google Scholar] [CrossRef]
- Lee, D.; Lee, S.H.; Lee, Y.H.; Song, J.; Kim, H. Astragalus Extract Mixture HT042 Increases Longitudinal Bone Growth Rate by Upregulating Circulatory IGF-1 in Rats. Evid.-Based Complement. Altern. Med. 2017, 2017, 6935802. [Google Scholar] [CrossRef] [PubMed]
- Lee, D.; Lee, S.H.; Song, J.; Jee, H.J.; Cha, S.H.; Chang, G.T. Effects of astragalus extract mixture HT042 on height growth in children with mild short stature: A multicenter randomized controlled trial. Phytother. Res. 2018, 32, 49–57. [Google Scholar] [CrossRef] [PubMed]
- Lee, J.H.; Jang, D.; Lee, M.J.; Shin, M.-S.; Kim, C.-E.; Park, J.Y.; Kang, K.S. Regulation of appetite-related neuropeptides by herbal medicines: Research using microarray and network pharmacology. Appl. Biol. Chem. 2023, 66, 68. [Google Scholar] [CrossRef]
- Lee, M.J.; Seo, H.J.; Hwang, G.S.; Choi, S.; Park, S.J.; Hwang, S.-J.; Kang, K.S. Molecular mechanism of Cinnamomum cassia against gastric damage and identification of active compounds. Biomolecules 2022, 12, 525. [Google Scholar] [CrossRef]
- Kim, S.-K.; Lee, M.-K.; Jang, H.; Lee, J.-J.; Lee, S.; Jang, Y.; Jang, H.; Kim, A. TM-MC 2.0: An enhanced chemical database of medicinal materials in Northeast Asian traditional medicine. BMC Complement. Med. Ther. 2024, 24, 40. [Google Scholar] [CrossRef]
- Szklarczyk, D.; Gable, A.L.; Nastou, K.C.; Lyon, D.; Kirsch, R.; Pyysalo, S.; Doncheva, N.T.; Legeay, M.; Fang, T.; Bork, P. The STRING database in 2021: Customizable protein–protein networks, and functional characterization of user-uploaded gene/measurement sets. Nucleic Acids Res. 2021, 49, D605–D612. [Google Scholar] [CrossRef]
- Chen, E.Y.; Tan, C.M.; Kou, Y.; Duan, Q.; Wang, Z.; Meirelles, G.V.; Clark, N.R.; Ma’ayan, A. Enrichr: Interactive and collaborative HTML5 gene list enrichment analysis tool. BMC Bioinform. 2013, 14, 128. [Google Scholar] [CrossRef]
- Kuleshov, M.V.; Jones, M.R.; Rouillard, A.D.; Fernandez, N.F.; Duan, Q.; Wang, Z.; Koplev, S.; Jenkins, S.L.; Jagodnik, K.M.; Lachmann, A. Enrichr: A comprehensive gene set enrichment analysis web server 2016 update. Nucleic Acids Res. 2016, 44, W90–W97. [Google Scholar] [CrossRef] [PubMed]
- Xie, Z.; Bailey, A.; Kuleshov, M.V.; Clarke, D.J.; Evangelista, J.E.; Jenkins, S.L.; Lachmann, A.; Wojciechowicz, M.L.; Kropiwnicki, E.; Jagodnik, K.M. Gene set knowledge discovery with Enrichr. Curr. Protoc. 2021, 1, e90. [Google Scholar] [CrossRef] [PubMed]
- Shao, L.; Zhang, B. Traditional Chinese medicine network pharmacology: Theory, methodology and application. Chin. J. Nat. Med. 2013, 11, 110–120. [Google Scholar]
- Noor, F.; Tahir ul Qamar, M.; Ashfaq, U.A.; Albutti, A.; Alwashmi, A.S.; Aljasir, M.A. Network pharmacology approach for medicinal plants: Review and assessment. Pharmaceuticals 2022, 15, 572. [Google Scholar] [CrossRef]
- Davis, A.P.; Wiegers, T.C.; Johnson, R.J.; Sciaky, D.; Wiegers, J.; Mattingly, C.J. Comparative toxicogenomics database (CTD): Update 2023. Nucleic Acids Res. 2023, 51, D1257–D1262. [Google Scholar] [CrossRef]
- Yanovski, J.A.; Rose, S.R.; Municchi, G.; Pescovitz, O.H.; Hill, S.C.; Cassorla, F.G.; Cutler Jr, G.B. Treatment with a luteinizing hormone–releasing hormone agonist in adolescents with short stature. N. Engl. J. Med. 2003, 348, 908–917. [Google Scholar] [CrossRef]
- LeRoith, D.; Holly, J.M.; Forbes, B.E. Insulin-like growth factors: Ligands, binding proteins, and receptors. Mol. Metab. 2021, 52, 101245. [Google Scholar] [CrossRef]
- Wang, R.N.; Green, J.; Wang, Z.; Deng, Y.; Qiao, M.; Peabody, M.; Zhang, Q.; Ye, J.; Yan, Z.; Denduluri, S. Bone Morphogenetic Protein (BMP) signaling in development and human diseases. Genes Dis. 2014, 1, 87–105. [Google Scholar] [CrossRef]
- Li, X.; Cao, X. BMP signaling and skeletogenesis. Ann. N. Y. Acad. Sci. 2006, 1068, 26–40. [Google Scholar] [CrossRef] [PubMed]
- Kim, H.K.; Kim, M.-G.; Leem, K.-H. Comparison of the effect of velvet antler from different sections on longitudinal bone growth of adolescent rats. Evid.-Based Complement. Altern. Med. 2016, 2016, 1927534. [Google Scholar] [CrossRef] [PubMed]
- Yin, J.; Zhang, H.; Ye, J. Traditional Chinese medicine in treatment of metabolic syndrome. Endocr. Metab. Immune Disord.-Drug Targets 2008, 8, 99–111. [Google Scholar] [CrossRef]
- Chen, K.; Liu, J.; Ji, R.; Chen, T.; Zhou, X.; Yang, J.; Tong, Y.; Jiang, C.; Zhou, J.; Zhao, Y. Biogenic synthesis and spatial distribution of endogenous phytohormones and ginsenosides provide insights on their intrinsic relevance in Panax ginseng. Front. Plant Sci. 2019, 9, 1951. [Google Scholar] [CrossRef] [PubMed]
- Zarabi, L.; Arazi, H.; Izadi, M. The effects of panax ginseng supplementation on growth hormone, cortisol and lactate response to high-intensity resistance exercise. Biomed. Hum. Kinet. 2018, 10, 8–14. [Google Scholar] [CrossRef]
- Kim, C.; Ha, H.; Kim, J.S.; Kim, Y.T.; Kwon, S.-C.; Park, S.W. Induction of growth hormone by the roots of Astragalus membranaceus in pituitary cell culture. Arch. Pharmacal Res. 2003, 26, 34–39. [Google Scholar] [CrossRef]
- Lee, D.; Kim, B.-H.; Lee, S.-H.; Cho, W.-Y.; Kim, Y.-S.; Kim, H. Effects of Astragalus extract mixture HT042 on circulating IGF-1 level and growth hormone Axis in rats. Children 2021, 8, 975. [Google Scholar] [CrossRef]
- Kim, M.Y.; Kim, J.Y.; Lim, D.; Lee, D.; Kim, Y.; Chang, G.T.; Choi, H.Y.; Kim, H. Skeletal growth and IGF levels in rats after HT042 treatment. Phytother. Res. 2012, 26, 1771–1778. [Google Scholar] [CrossRef]
- Sun, W.; Li, M.; Zhang, Y.; Huang, Y.; Zhan, Q.; Ren, Y.; Dong, H.; Chen, J.; Li, Z.; Fan, C. Total flavonoids of rhizoma drynariae ameliorates bone formation and mineralization in BMP-Smad signaling pathway induced large tibial defect rats. Biomed. Pharmacother. 2021, 138, 111480. [Google Scholar] [CrossRef]
- Hung, T.-Y.; Chen, T.-L.; Liao, M.-H.; Ho, W.-P.; Liu, D.-Z.; Chuang, W.-C.; Chen, R.-M. Drynaria fortunei J. Sm. promotes osteoblast maturation by inducing differentiation-related gene expression and protecting against oxidative stress-induced apoptotic insults. J. Ethnopharmacol. 2010, 131, 70–77. [Google Scholar] [CrossRef]
- Lee, W.-Y.; Lee, C.-Y.; Lee, J.-S.; Kim, C.-E. Identifying candidate flavonoids for non-alcoholic fatty liver disease by network-based strategy. Front. Pharmacol. 2022, 13, 892559. [Google Scholar] [CrossRef]
- Lee, W.-Y.; Lee, C.-Y.; Kim, C.-E. Predicting activatory and inhibitory drug-target interactions based on structural compound representations and genetically perturbed transcriptomes. PLoS ONE 2023, 18, e0282042. [Google Scholar] [CrossRef] [PubMed]










| N-Acetylneuraminic Acid | Ginsenoside Rg3 | Calycosin-7-O-β-d-glucoside and Calycosin | |
|---|---|---|---|
| LC System | Waters Acquity UPLC I-class (Waters Corporation, Milford, MA, USA) | Waters e2695 Separation Module (Waters Corporation, Milford, MA, USA) | Agilent 1260 Infinity (Agilent Technologies, Inc., Hachioji City, Tokyo, Japan) |
| Detector | Waters TQ-S micro | Waters 2489 UV/Vis Detector | Agilent 1260 DAD |
| Column | Waters Acquity UPLC CSH C18 130 Å column (1.7 μm, 2.1 × 50 mm) | GL Sciences Inertsil ODS-4 C18 100 Å column (5 μm, 4.6 × 250 mm) | YMC-Pack ODS-AM C18 120 Å column (5 μm, 4.6 × 250 mm) |
| Column Temp. | 20 °C | 25 °C | 35 °C |
| Sample Temp. | 15 °C | 25 °C | 15 °C |
| Detection | ESI+ SIR Mode | 203 nm | 254 nm |
| Flow rate | 0.2 mL/min | 1.0 mL/min | 0.8 mL/min |
| Injection | 10 μL | 20 μL | 10 μL |
| Mobile Phase | A: Methanol B: Water (0.1% Formic acid) | A: Acetonitrile B: Water | A: Acetonitrile B: Water |
| Gradient condition | Time A(%) B(%) | Time A(%) B(%) | Time A(%) B(%) |
| 0 20 80 | 0 30 70 | 0 10 90 | |
| 10 20 80 | 5 30 70 | 5 10 90 | |
| 20 50 50 | 25 50 50 | ||
| 30 50 50 | 26 75 25 | ||
| 32 70 30 | 30 75 25 | ||
| 40 70 30 | 31 10 90 | ||
| 42 30 70 | 40 10 90 | ||
| 50 30 70 |
| Gene | Primer (5′-3′) |
|---|---|
| GHRH Ghrelin | F: CTCTGGGTGCTCTTTGTGA |
| R: GAGTTTCCTGTAGTTGGTGGT | |
| F: GCTGTCTTCAGGCACCATCT R: GTGGCTTCTTGGATTCCTTTC | |
| β-actin | F: CACCCGCGAGTACAACCTCC |
| R: CCCATACCCACCATCACACC |
| Name | Group | Dose | Usage |
|---|---|---|---|
| G0 | Vehicle | Saline (n = 7) | QD 1/P.O 2 |
| G1 | Test | 304 mg/kg KFB (solvent: calcium milk, n = 7) | QD/P.O |
| G2 | 2940 mg/kg KFB (solvent: calcium milk, n = 7) | QD/P.O | |
| G3 | 304 mg/kg KFB (solvent: saline, n = 7) | QD/P.O | |
| P | Positive control | 0.2 mg/kg rhGH 4 (solvent: saline, n = 7) | QD/S.C 3 |
| No. | Uniprot ID | Gene | Relevance Score | Degree |
|---|---|---|---|---|
| 1 | P05019 | IGF1 | 26.27 | 27 |
| 2 | P01308 | INS | 20.33 | 26 |
| 3 | P08069 | IGF1R | 11.06 | 26 |
| 4 | P42336 | PIK3CA | 8.87 | 17 |
| 5 | P35568 | IRS1 | 7.31 | 20 |
| 6 | P35968 | KDR | 7.07 | 17 |
| 7 | P09619 | PDGFRB | 6.83 | 17 |
| 8 | P01344 | IGF2 | 5.72 | 18 |
| 9 | P21860 | ERBB3 | 3.01 | 16 |
| 10 | P06213 | INSR | 1.80 | 16 |
| 11 | O00329 | PIK3CD | 0.79 | 15 |
| 12 | P42338 | PIK3CB | 0.37 | 15 |
| 13 | O00459 | PIK3R2 | 0.26 | 15 |
| 14 | Q92569 | PIK3R3 | 0.24 | 15 |
| Peak No. | Compound Name | Molecular Formula | Degree in Network | Correlating Targets | Origin |
|---|---|---|---|---|---|
| 1 | (20S)-20-Hydroxypregn-4-en-3-one | C21H32O2 | 1 | IGF1 | Ginseng Radix |
| 2 | 2-Isopropyl-3-methoxypyrazine | C8H12N2O | 1 | IGF2 | Ginseng Radix |
| 3 | Caproic acid | C6H12O2 | 1 | PIK3CA | Ginseng Radix, Ginseng Radix Rubra |
| 4 | Daidzein | C15H10O4 | 2 | IGF1 IGF1R | Astragali Radix |
| 5 | Furfuryl alcohol | C5H6O2 | 2 | PIK3CB PIK3CD | Ginseng Radix, Ginseng Radix Rubra |
| 6 | Lauric acid | C12H24O2 | 1 | PIK3CA | Ginseng Radix |
| 7 | Octanal | C8H16O | 1 | IRS1 | Ginseng Radix, Ginseng Radix Rubra |
| 8 | Salicylic acid | C7H6O3 | 1 | IRS1 | Ginseng Radix |
Disclaimer/Publisher’s Note: The statements, opinions and data contained in all publications are solely those of the individual author(s) and contributor(s) and not of MDPI and/or the editor(s). MDPI and/or the editor(s) disclaim responsibility for any injury to people or property resulting from any ideas, methods, instructions or products referred to in the content. |
© 2025 by the authors. Licensee MDPI, Basel, Switzerland. This article is an open access article distributed under the terms and conditions of the Creative Commons Attribution (CC BY) license (https://creativecommons.org/licenses/by/4.0/).
Share and Cite
Lee, M.J.; Jeong, D.; Lee, J.H.; Kang, J.; Choi, J.; Seo, J.; Kim, H.I.; Seo, J.; Ko, K.; Nam, D.H.; et al. The Effects of a Novel Astragalus-Based Extract (Keyfobell Powder (KFB)) on Longitudinal Bone Growth via IGF-1 Upregulation: A Potential Growth Hormone Alternative. Nutrients 2025, 17, 416. https://doi.org/10.3390/nu17030416
Lee MJ, Jeong D, Lee JH, Kang J, Choi J, Seo J, Kim HI, Seo J, Ko K, Nam DH, et al. The Effects of a Novel Astragalus-Based Extract (Keyfobell Powder (KFB)) on Longitudinal Bone Growth via IGF-1 Upregulation: A Potential Growth Hormone Alternative. Nutrients. 2025; 17(3):416. https://doi.org/10.3390/nu17030416
Chicago/Turabian StyleLee, Myong Jin, Daesik Jeong, Ji Hwan Lee, Jaeha Kang, Jihye Choi, Jaeok Seo, Hong Il Kim, Jisoo Seo, Kiseong Ko, Dong Hyuk Nam, and et al. 2025. "The Effects of a Novel Astragalus-Based Extract (Keyfobell Powder (KFB)) on Longitudinal Bone Growth via IGF-1 Upregulation: A Potential Growth Hormone Alternative" Nutrients 17, no. 3: 416. https://doi.org/10.3390/nu17030416
APA StyleLee, M. J., Jeong, D., Lee, J. H., Kang, J., Choi, J., Seo, J., Kim, H. I., Seo, J., Ko, K., Nam, D. H., Lee, H. L., & Kang, K. S. (2025). The Effects of a Novel Astragalus-Based Extract (Keyfobell Powder (KFB)) on Longitudinal Bone Growth via IGF-1 Upregulation: A Potential Growth Hormone Alternative. Nutrients, 17(3), 416. https://doi.org/10.3390/nu17030416

