Myricitrin Alleviates Hypercholesterolemia and Non-Alcoholic Fatty Liver Disease in High Cholesterol Diet-Fed Mice
Abstract
1. Introduction
2. Materials and Methods
2.1. Feeding Plan
2.2. Sample Collection
2.3. Plasma Biomarkers
2.4. Hepatic Lipids
2.5. Histology
2.6. Lipid Peroxidation
2.7. Enzyme Activity
2.8. Gene Expression
2.9. Statistical Methods
3. Results
3.1. Food Intake, Body Weight, Plasma Lipids, and Risk Factors for CVD
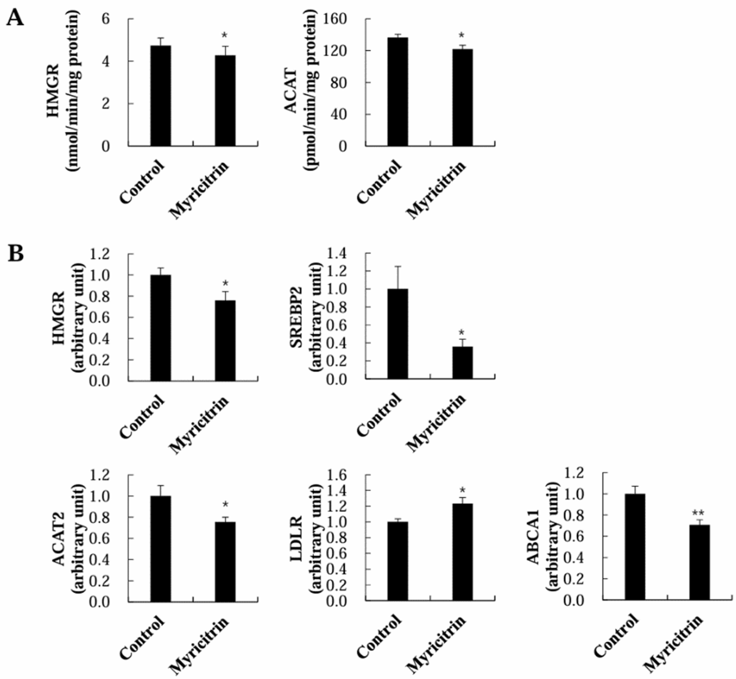
3.2. Liver Weight, Lipid Content, Histology, and Cholesterol Metabolism Regulation
3.3. Antioxidant Defenses in the Liver and Erythrocytes
4. Discussion
5. Conclusions
Author Contributions
Funding
Institutional Review Board Statement
Informed Consent Statement
Data Availability Statement
Conflicts of Interest
References
- McNamara, D.J. Dietary Cholesterol and Atherosclerosis. Biochim. Biophys. Acta 2000, 1529, 310–320. [Google Scholar] [CrossRef]
- Fernandez, M.L.; Murillo, A.G. Is There a Correlation Between Dietary and Blood Cholesterol? Evidence from Epidemiological Data and Clinical Interventions. Nutrients 2022, 14, 2168. [Google Scholar] [CrossRef]
- Sugiyama, D.; Turin, T.C.; Yeasmin, F.; Rumana, N.; Watanabe, M.; Higashiyama, A.; Takegami, M.; Kokubo, Y.; Okamura, T.; Miyamoto, Y. Hypercholesterolemia and Lifetime Risk of Coronary Heart Disease in the General Japanese Population: Results from the Suita Cohort Study. J. Atheroscler. Thromb. 2020, 27, 60–70. [Google Scholar] [CrossRef]
- Eng, J.M.; Estall, J.L. Diet-Induced Models of Non-Alcoholic Fatty Liver Disease: Food for Thought on Sugar, Fat, and Cholesterol. Cells 2021, 10, 1805. [Google Scholar] [CrossRef]
- Pais, R.; Redheuil, A.; Cluzel, P.; Ratziu, V.; Giral, P. Relationship among Fatty Liver, Specific and Multiple-Site Atherosclerosis, and 10-year Framingham Score. Hepatology 2019, 69, 1453–1463. [Google Scholar] [CrossRef]
- Ma, W.; Wu, W.; Wen, W.; Xu, F.; Han, D.; Lyu, J.; Huang, Y. Association of NAFLD with Cardiovascular Disease and All-Cause Mortality: A Large-Scale Prospective Cohort Study Based on UK Biobank. Ther. Adv. Chronic Dis. 2022, 13, 20406223221122478. [Google Scholar] [CrossRef]
- Gao, J.; Liu, C.; Zhang, H.; Sun, Z.; Wang, R. Myricitrin Exhibits Anti-Atherosclerotic and Anti-Hyperlipidemic Effects in Diet-Induced Hypercholesterolemic Rats. AMB Express 2019, 9, 204. [Google Scholar] [CrossRef]
- Zhang, B.; Shen, Q.; Chen, Y.; Pan, R.; Kuang, S.; Liu, G.; Sun, G.; Sun, X. Myricitrin Alleviates Oxidative Stress-Induced Inflammation and Apoptosis and Protects Mice against Diabetic Cardiomyopathy. Sci. Rep. 2017, 7, 44239. [Google Scholar] [CrossRef]
- Kim, D.Y.; Kim, S.R.; Jung, U.J. Myricitrin Ameliorates Hyperglycemia, Glucose Intolerance, Hepatic Steatosis, and Inflammation in High-Fat Diet/Streptozotocin-Induced Diabetic Mice. Int. J. Mol. Sci. 2020, 21, 1870. [Google Scholar] [CrossRef]
- Gao, J.; Chen, S.; Qiu, Z.; Fang, L.; Zhang, L.; Guo, C.; Chen, T.; Qiu, L. Myricitrin Ameliorates Ethanol-Induced Steatosis in mouse AML12 Liver Cells by Activating AMPK and Reducing Oxidative Stress and Expression of Inflammatory Cytokines. Mol. Med. Rep. 2018, 17, 7381–7387. [Google Scholar] [CrossRef]
- Paigen, B.; Morrow, A.; Brandon, C.; Mitchell, D.; Holmes, P. Variation in Susceptibility to Atherosclerosis Among Inbred Strains of Mice. Atherosclerosis 1985, 57, 65–73. [Google Scholar] [CrossRef]
- Vergnes, L.; Phan, J.; Strauss, M.; Tafuri, S.; Reue, K. Cholesterol and Cholate Components of an Atherogenic Diet Induce Distinct Stages of Hepatic Inflammatory Gene Expression. J. Biol. Chem. 2003, 278, 42774–42784. [Google Scholar] [CrossRef]
- Matsuzawa, N.; Takamura, T.; Kurita, S.; Misu, H.; Ota, T.; Ando, H.; Yokoyama, M.; Honda, M.; Zen, Y.; Nakanuma, Y.; et al. Lipid-Induced Oxidative Stress Causes Steatohepatitis in Mice Fed an Atherogenic Diet. Hepatology 2007, 46, 1392–1403. [Google Scholar] [CrossRef]
- Savard, C.; Tartaglione, E.V.; Kuver, R.; Haigh, W.G.; Farrell, G.C.; Subramanian, S.; Chait, A.; Yeh, M.M.; Quinn, L.S.; Ioannou, G.N. Synergistic Interaction of Dietary Cholesterol and Dietary Fat in Inducing Experimental Steatohepatitis. Hepatology 2013, 57, 81–92. [Google Scholar] [CrossRef]
- Zheng, S.; Hoos, L.; Cook, J.; Tetzloff, G.; Davis, H., Jr.; van Heek, M.; Hwa, J.J. Ezetimibe Improves High Fat and Cholesterol Diet-Induced Non-Alcoholic Fatty Liver Disease in Mice. Eur. J. Pharmacol. 2008, 584, 118–124. [Google Scholar] [CrossRef]
- Ahn, J.; Cho, I.; Kim, S.; Kwon, D.; Ha, T. Dietary Resveratrol Alters Lipid Metabolism-Related Gene Expression of Mice on an Atherogenic Diet. J. Hepatol. 2008, 49, 1019–1028. [Google Scholar] [CrossRef]
- Chanet, A.; Milenkovic, D.; Deval, C.; Potier, M.; Constans, J.; Mazur, A.; Bennetau-Pelissero, C.; Morand, C.; Bérard, A.M. Naringin, the Major Grapefruit Flavonoid, Specifically Affects Atherosclerosis Development in Diet-Induced Hypercholesterolemia in Mice. J. Nutr. Biochem. 2012, 23, 469–477. [Google Scholar] [CrossRef]
- Lee, M.J.; Park, W.H.; Song, Y.S.; Lee, Y.W.; Song, Y.O.; Moon, G.S. Effect of Bamboo Culm Extract on Oxidative Stress and Genetic Expression: Bamboo Culm Extract Ameliorates Cell Adhesion Molecule Expression and NFκB Activity through the Suppression of the Oxidative Stress. Clin. Nutr. 2008, 27, 755–763. [Google Scholar] [CrossRef]
- Mackness, M.I.; Arrol, S.; Durrington, P.N. Paraoxonase prevents accumulation of lipoperoxides in low-density lipoprotein. FEBS Lett. 1991, 286, 152–154. [Google Scholar] [CrossRef]
- Folch, J.; Lees, M.; Sloane Stanley, G.H. A simple method for the isolation and purification of total lipides from animal tissues. J. Biol. Chem. 1957, 226, 497–509. [Google Scholar] [CrossRef]
- Ohkawa, H.; Ohishi, N.; Yagi, K. Assay for lipid peroxides in animal tissues by thiobarbituric acid reaction. Anal. Biochem. 1979, 95, 351–358. [Google Scholar] [CrossRef]
- Shapiro, D.J.; Nordstrom, J.L.; Mitschelen, J.J.; Rodwell, V.W.; Schimke, R.T. Micro assay for 3-hydroxy-3-methylglutaryl-CoA reductase in rat liver and in L-cell fibroblasts. Biochim. Biophys. Acta 1974, 370, 369–377. [Google Scholar] [CrossRef]
- Erickson, S.K.; Shrewsbury, M.A.; Brooks, C.; Meyer, D.J. Rat liver acyl-coenzyme A: Cholesterol acyltransferase: Its regulation in vivo and some of its properties in vitro. J. Lipid Res. 1980, 21, 930–941. [Google Scholar] [CrossRef] [PubMed]
- Marklund, S.; Marklund, G. Involvement of the superoxide anion radical in the autoxidation of pyrogallol and a convenient assay for superoxide dismutase. Eur. J. Biochem. 1974, 47, 469–474. [Google Scholar] [CrossRef]
- Aebi, H. Catalase. In Methods of Enzymatic Analysis; Bergmeyer, H.U., Ed.; Academic Press: New York, NY, USA, 1974; pp. 673–684. [Google Scholar]
- Paglia, E.D.; Valentine, W.N. Studies on the quantitative and qualitative characterization of erythrocyte glutathione peroxidase. J. Lab. Clin. Med. 1967, 70, 158–169. [Google Scholar]
- Bradford, M.M. A Rapid and Sensitive Method for the Quantitation of Microgram Quantities of Protein Utilizing the Principle of Protein-Dye Binding. Anal. Biochem. 1976, 72, 248–254. [Google Scholar] [CrossRef] [PubMed]
- Stocker, R.; Keaney, J.F., Jr. Role of Oxidative Modifications in Atherosclerosis. Physiol. Rev. 2004, 84, 1381–1478. [Google Scholar] [CrossRef]
- Ference, B.A.; Ginsberg, H.N.; Graham, I.; Ray, K.K.; Packard, C.J.; Bruckert, E.; Hegele, R.A.; Krauss, R.M.; Raal, F.J.; Schunkert, H.; et al. Low-Density Lipoproteins Cause Atherosclerotic Cardiovascular Disease. 1. Evidence from Genetic Epidemiologic, and Clinical Studies. A Consensus Statement from the European Atherosclerosis Society Consensus Panel. Eur. Heart J. 2017, 38, 2459–2472. [Google Scholar] [CrossRef]
- Nishi, K.; Itabe, H.; Uno, M.; Kitazato, K.T.; Horiguchi, H.; Shinno, K.; Nagahiro, S. Oxidized LDL in Carotid Plaques and Plasma Associates with Plaque Instability. Arterioscler. Thromb. Vasc. Biol. 2002, 22, 1649–1654. [Google Scholar] [CrossRef] [PubMed]
- Meisinger, C.; Baumert, J.; Khuseyinova, N.; Loewel, H.; Koenig, W. Plasma Oxidized Low-Density Lipoprotein, a Strong Predictor for Acute Coronary Heart Disease Events in Apparently Healthy, Middle-Aged Men from the General Population. Circulation 2005, 112, 651–657. [Google Scholar] [CrossRef] [PubMed]
- Tsimikas, S. Lipoprotein(a) in the Year 2024: A Look Back and a Look Ahead. Arterioscler. Thromb. Vasc. Biol. 2024, 44, 1485–1490. [Google Scholar] [CrossRef]
- Mehta, A.; Virani, S.S.; Ayers, C.R.; Sun, W.; Hoogeveen, R.C.; Rohatgi, A.; Berry, J.D.; Joshi, P.H.; Ballantyne, C.M.; Khera, A. Lipoprotein(a) and Family History Predict Cardiovascular Disease Risk. J. Am. Coll. Cardiol. 2020, 76, 781–793. [Google Scholar] [CrossRef]
- Amezcua-Castillo, E.; González-Pacheco, H.; Sáenz-San Martín, A.; Méndez-Ocampo, P.; Gutierrez-Moctezuma, I.; Massó, F.; Sierra-Lara, D.; Springall, R.; Rodríguez, E.; Arias-Mendoza, A.; et al. C-Reactive Protein: The Quintessential Marker of Systemic Inflammation in Coronary Artery Disease-Advancing Toward Precision Medicine. Biomedicines 2023, 11, 2444. [Google Scholar] [CrossRef]
- Frischmuth, T.; Hindberg, K.; Aukrust, P.; Ueland, T.; Braekkan, S.K.; Hansen, J.B.; Morelli, V.M. Elevated Plasma Levels of Plasminogen Activator Inhibitor-1 Are Associated with Risk of Future Incident Venous Thromboembolism. J. Thromb. Haemost. 2022, 20, 1618–1626. [Google Scholar] [CrossRef]
- Sentí, M.; Tomás, M.; Marrugat, J.; Elosua, R.; REGICOR Investigators. Paraoxonase1-192 Polymorphism Modulates the Nonfatal Myocardial Infarction Risk Associated with Decreased HDLs. Arterioscler. Thromb. Vasc. Biol. 2001, 21, 415–420. [Google Scholar] [CrossRef]
- Kresanov, P.; Vasankari, T.; Ahotupa, M.; Kaikkonen, J.; Hutri-Kähönen, N.; Juonala, M.; Kähönen, M.; Lehtimäki, T.; Viikari, J.; Raitakari, O.T. Paraoxonase-1 and Oxidized Lipoprotein Lipids: The Cardiovascular Risk in Young Finns Study. Atherosclerosis 2015, 241, 502–506. [Google Scholar] [CrossRef]
- Granér, M.; James, R.W.; Kahri, J.; Nieminen, M.S.; Syvänne, M.; Taskinen, M.R. Association of Paraoxonase-1 Activity and Concentration with Angiographic Severity and Extent of Coronary Artery Disease. J. Am. Coll. Cardiol. 2006, 47, 2429–2435. [Google Scholar] [CrossRef]
- Watson, A.D.; Berliner, J.A.; Hama, S.Y.; La Du, B.N.; Faull, K.; Fogelman, A.M.; Navab, M. Protective Effect of High Density Lipoprotein Associated Paraoxonase: Inhibition of the Biological Activity of Minimally Oxidized Low Density Lipoprotein. J. Am. Coll. Cardiol. 2006, 47, 2429–2435. [Google Scholar] [CrossRef]
- Aviram, M.; Rosenblat, M.; Bisgaier, C.L.; Newton, R.S.; Primo-Parmo, S.L.; La Du, B.N. Paraoxonase Inhibits High-Density Lipoprotein Oxidation and Preserves Its Functions: A Possible Peroxidative Role for Paraoxonase. J. Clin. Investig. 1998, 101, 1581–1590. [Google Scholar] [CrossRef]
- Melo, D.; Coimbra, S.; Rocha, S.; Santos-Silva, A. Inhibition of Erythrocyte’s Catalase, Glutathione Peroxidase or Peroxiredoxin 2—Impact on Cytosol and Membrane. Arch. Biochem. Biophys. 2023, 739, 109569. [Google Scholar] [CrossRef]
- Guo, Z.; Van Remmen, H.; Yang, H.; Chen, X.; Mele, J.; Vijg, J.; Epstein, C.J.; Ho, Y.S.; Richardson, A. Changes in Expression of Antioxidant Enzymes Affect Cell-Mediated LDL Oxidation and Oxidized LDL-Induced Apoptosis in Mouse Aortic Cells. Arterioscler. Thromb. Vasc. Biol. 2001, 21, 1131–1138. [Google Scholar] [CrossRef]
- Galle, J.; Schneider, R.; Heinloth, A.; Wanner, C.; Galle, P.R.; Conzelmann, E.; Dimmeler, S.; Heermeier, K. Lp(a) and LDL Induce Apoptosis in Human Endothelial Cells and in Rabbit Aorta: Role of Oxidative Stress. Kidney Int. 1999, 55, 1450–1461. [Google Scholar] [CrossRef]
- Fleissner, F.; Thum, T. Critical Role of the Nitric Oxide/Reactive Oxygen Species Balance in Endothelial Progenitor Dysfunction. Antioxid. Redox. Signal. 2011, 15, 933–948. [Google Scholar] [CrossRef]
- Forni, C.; Facchiano, F.; Bartoli, M.; Pieretti, S.; Facchiano, A.; D’Arcangelo, D.; Norelli, S.; Valle, G.; Nisini, R.; Beninati, S.; et al. Beneficial Role of Phytochemicals on Oxidative Stress and Age-Related Diseases. Biomed. Res. Int. 2019, 2019, 8748253. [Google Scholar] [CrossRef] [PubMed]
- Kim, E.J.; Kim, B.H.; Seo, H.S.; Lee, Y.J.; Kim, H.H.; Son, H.H.; Choi, M.H. Cholesterol-Induced Non-Alcoholic Fatty Liver Disease and Atherosclerosis Aggravated by Systemic Inflammation. PLoS ONE 2014, 9, e97841. [Google Scholar] [CrossRef]
- Arguello, G.; Balboa, E.; Arrese, M.; Zanlungo, S. Recent Insights on the Role of Cholesterol in Non-Alcoholic Fatty Liver Disease. Biochim. Biophys. Acta 2015, 1852, 1765–1778. [Google Scholar] [CrossRef]
- Min, H.K.; Kapoor, A.; Fuchs, M.; Mirshahi, F.; Zhou, H.; Maher, J.; Kellum, J.; Warnick, R.; Contos, M.J.; Sanyal, A.J. Increased Hepatic Synthesis and Dysregulation of Cholesterol Metabolism Is Associated with the Severity of Nonalcoholic Fatty Liver Disease. Cell Metab. 2012, 15, 665–674. [Google Scholar] [CrossRef]
- Horton, J.D.; Shimomura, I.; Brown, M.S.; Hammer, R.E.; Goldstein, J.L.; Shimano, H. Activation of Cholesterol Synthesis in Preference to Fatty Acid Synthesis in Liver and Adipose Tissue of Transgenic Mice Overproducing Sterol Regulatory Element-Binding Protein-2. J. Clin. Investig. 1998, 101, 2331–2339. [Google Scholar] [CrossRef]
- Spady, D.K.; Bilheimer, D.W.; Dietschy, J.M. Rates of Receptor-Dependent and -Independent Low Density Lipoprotein Uptake in the Hamster. Proc. Natl. Acad. Sci. USA 1983, 80, 3499–3503. [Google Scholar] [CrossRef]
- Goldstein, J.L.; Brown, M.S. The LDL Receptor. Arterioscler. Thromb. Vasc. Biol. 2009, 29, 431–438. [Google Scholar] [CrossRef]
- Basso, F.; Freeman, L.; Knapper, C.L.; Remaley, A.; Stonik, J.; Neufeld, E.B.; Tansey, T.; Amar, M.J.; Fruchart-Najib, J.; Duverger, N.; et al. Role of the Hepatic ABCA1 Transporter in Modulating Intrahepatic Cholesterol and Plasma HDL Cholesterol Concentrations. J. Lipid Res. 2003, 44, 296–302. [Google Scholar] [CrossRef]
- Bi, X.; Zhu, X.; Duong, M.; Boudyguina, E.Y.; Wilson, M.D.; Gebre, A.K.; Parks, J.S. Liver ABCA1 Deletion in LDLrKO Mice Does Not Impair Macrophage Reverse Cholesterol Transport or Exacerbate Atherogenesis. Arterioscler. Thromb. Vasc. Biol. 2013, 33, 2288–2296. [Google Scholar] [CrossRef]
- Vinué, Á.; Herrero-Cervera, A.; González-Navarro, H. Understanding the Impact of Dietary Cholesterol on Chronic Metabolic Diseases through Studies in Rodent Models. Nutrients 2018, 10, 939. [Google Scholar] [CrossRef]
- Chen, Z.; Tian, R.; She, Z.; Cai, J.; Li, H. Role of Oxidative Stress in the Pathogenesis of Nonalcoholic Fatty Liver Disease. Free Radic. Biol. Med. 2020, 152, 116–141. [Google Scholar] [CrossRef]
- Wang, L.; Jiang, Z.; Lei, X.G. Knockout of SOD1 Alters Murine Hepatic Glycolysis, Gluconeogenesis, and Lipogenesis. Free Radic. Biol. Med. 2012, 53, 1689–1696. [Google Scholar] [CrossRef]
- Sakiyama, H.; Fujiwara, N.; Yoneoka, Y.; Yoshihara, D.; Eguchi, H.; Suzuki, K. Cu, Zn-SOD Deficiency Induces the Accumulation of Hepatic Collagen. Free Radic. Res. 2016, 50, 666–677. [Google Scholar] [CrossRef] [PubMed]
- Piao, L.; Choi, J.; Kwon, G.; Ha, H. Endogenous Catalase Delays High-Fat Diet-Induced Liver Injury in Mice. Korean J. Physiol. Pharmacol. 2017, 21, 317–325. [Google Scholar] [CrossRef]





Disclaimer/Publisher’s Note: The statements, opinions and data contained in all publications are solely those of the individual author(s) and contributor(s) and not of MDPI and/or the editor(s). MDPI and/or the editor(s) disclaim responsibility for any injury to people or property resulting from any ideas, methods, instructions or products referred to in the content. |
© 2025 by the authors. Licensee MDPI, Basel, Switzerland. This article is an open access article distributed under the terms and conditions of the Creative Commons Attribution (CC BY) license (https://creativecommons.org/licenses/by/4.0/).
Share and Cite
Kim, Y.-J.; Park, S.; Kim, H.; Kim, S.R.; Jung, U.J. Myricitrin Alleviates Hypercholesterolemia and Non-Alcoholic Fatty Liver Disease in High Cholesterol Diet-Fed Mice. Nutrients 2025, 17, 415. https://doi.org/10.3390/nu17030415
Kim Y-J, Park S, Kim H, Kim SR, Jung UJ. Myricitrin Alleviates Hypercholesterolemia and Non-Alcoholic Fatty Liver Disease in High Cholesterol Diet-Fed Mice. Nutrients. 2025; 17(3):415. https://doi.org/10.3390/nu17030415
Chicago/Turabian StyleKim, Young-Je, Sojeong Park, HwiCheol Kim, Sang Ryong Kim, and Un Ju Jung. 2025. "Myricitrin Alleviates Hypercholesterolemia and Non-Alcoholic Fatty Liver Disease in High Cholesterol Diet-Fed Mice" Nutrients 17, no. 3: 415. https://doi.org/10.3390/nu17030415
APA StyleKim, Y.-J., Park, S., Kim, H., Kim, S. R., & Jung, U. J. (2025). Myricitrin Alleviates Hypercholesterolemia and Non-Alcoholic Fatty Liver Disease in High Cholesterol Diet-Fed Mice. Nutrients, 17(3), 415. https://doi.org/10.3390/nu17030415

