Comprehensive Ethnopharmacological Analysis of Medicinal Plants in the UAE: Lawsonia inermis, Nigella sativa, Ziziphus spina-christi, Allium cepa, Allium sativum, Cymbopogon schoenanthus, Matricaria aurea, Phoenix dactylifera, Portulaca oleracea, Reichardia tingitana, Salvadora persica, Solanum lycopersicum, Trigonella foenum-graecum, Withania somnifera, and Ziziphus lotus
Highlights
- This study presents the first comprehensive ethnopharmacological analysis of fifteen significant medicinal plants native to the UAE, highlighting their roles in managing diseases such as gastrointestinal disorders and combating antimicrobial resistance.
- Through meticulous literature review and analysis, we document the bioactive compounds like flavonoids, polyphenols, and antioxidants in these plants, elucidating their pharmacological potential in disease prevention and health enhancement.
- Our findings emphasize the therapeutic applications of traditional UAE plants in global health contexts, proposing integrative approaches for sustainable healthcare and reducing synthetic drug dependency.
- Advanced methodological approaches were employed, including the use of eta-squared statistics and forest plots, to quantitatively assess the pharmacological efficacy of the medicinal plants studied.
- The research underlines the potential for these indigenous plants to contribute to global nutritional and healthcare systems, offering alternative solutions to pressing public health concerns and promoting sustainable practices.
Abstract
1. Introduction
2. Methodology
2.1. Selection Criteria
2.1.1. Data Collection
2.1.2. Inclusion Criteria
2.1.3. Exclusion Criteria
2.2. Effect Size Calculation
3. Medicinal Plants in the UAE—Overview
3.1. Allium cepa
3.2. Allium sativum
3.3. Cymbopogon schoenanthus
3.4. Lawsonia inermis
3.5. Matricaria aurea
3.6. Nigella sativa
3.7. Phoenix dactylifera
3.8. Portulaca oleracea
3.9. Reichardia tingitana
3.10. Rhazya stricta
3.11. Salvadora persica
3.12. Solanum lycopersicum
3.13. Trigonella foenum-graecum
3.14. Withania somnifera
3.15. Ziziphus lotus
4. Overview of Antibacterial Properties of Medicinal Plants in the UAE
4.1. Allium cepa
4.2. Allium sativum
4.3. Cymbopogon schoenanthus
4.4. Lawsonia inermis
4.5. Matricaria aurea
4.6. Phoenix dactylifera
4.7. Portulaca oleracea
4.8. Reichardia tingitana
4.9. Salvadora persica
4.10. Solanum lycopersicum
4.11. Trigonella foenum-graecum
4.12. Withania somnifera
4.13. Ziziphus lotus
4.14. Effect Size of Medicinal Plants for Different Antibacterial Activities
5. Overview of Gastrointestinal Disease with Medicinal Plants in the UAE
5.1. Allium cepa
5.2. Allium sativum
5.3. Cymbopogon schoenanthus
5.4. Lawsonia inermis
5.5. Matricaria aurea
5.6. Nigella sativa
5.7. Phoenix dactylifera
5.8. Portulaca oleracea
5.9. Salvadora persica
5.10. Solanum lycopersicum
5.11. Trigonella foenum-graecum
5.12. Withania somnifera
5.13. Ziziphus lotus
5.14. Effect Size of Medicinal Plants for Different GIT Disorder Treatments
6. Conclusions
7. Future Perspectives
Author Contributions
Funding
Conflicts of Interest
References
- Borgelt, L.M.; Franson, K.L.; Nussbaum, A.M.; Wang, G.S. The Pharmacologic and Clinical Effects of Medical Cannabis. Pharmacother. J. Hum. Pharmacol. Drug Ther. 2013, 33, 195–209. [Google Scholar] [CrossRef] [PubMed]
- Hamilton, A.C. Medicinal Plants, Conservation and Livelihoods. Biodivers. Conserv. 2004, 13, 1477–1517. [Google Scholar] [CrossRef]
- Mohammadi, S.; Jafari, B.; Asgharian, P.; Martorell, M.; Sharifi-Rad, J. Medicinal Plants Used in the Treatment of Malaria: A Key Emphasis to Artemisia, Cinchona, Cryptolepis, and Tabebuia Genera. Phytother. Res. 2020, 34, 1556–1569. [Google Scholar] [CrossRef] [PubMed]
- Rawe, S.L.; McDonnell, C. The Cinchona Alkaloids and the Aminoquinolines. In Antimalarial Agents; Elsevier: Dublin, Ireland, 2020; pp. 65–98. ISBN 978-0-08-101210-9. [Google Scholar]
- Shahrajabian, M.H.; Sun, W.; Cheng, Q. Clinical Aspects and Health Benefits of Ginger (Zingiber officinale) in Both Traditional Chinese Medicine and Modern Industry. Acta Agric. Scand. Sect. B—Soil Plant Sci. 2019, 69, 546–556. [Google Scholar] [CrossRef]
- Razavi, B.M.; Ghasemzadeh Rahbardar, M.; Hosseinzadeh, H. A Review of Therapeutic Potentials of Turmeric (Curcuma longa) and Its Active Constituent, Curcumin, on Inflammatory Disorders, Pain, and Their Related Patents. Phytother. Res. 2021, 35, 6489–6513. [Google Scholar] [CrossRef] [PubMed]
- Akaberi, M.; Sahebkar, A.; Emami, S.A. Turmeric and Curcumin: From Traditional to Modern Medicine. In Studies on Biomarkers and New Targets in Aging Research in Iran; Guest, P.C., Ed.; Advances in Experimental Medicine and Biology; Springer International Publishing: Cham, Switzerland, 2021; Volume 1291, pp. 15–39. ISBN 978-3-030-56152-9. [Google Scholar]
- Diamond, B.J.; Shiflett, S.C.; Feiwel, N.; Matheis, R.J.; Noskin, O.; Richards, J.A.; Schoenberger, N.E. Ginkgo Biloba Extract: Mechanisms and Clinical Indications. Arch. Phys. Med. Rehabil. 2000, 81, 668–678. [Google Scholar] [CrossRef] [PubMed]
- Seeff, L.B.; Bonkovsky, H.L.; Navarro, V.J.; Wang, G. Herbal Products and the Liver: A Review of Adverse Effects and Mechanisms. Gastroenterology 2015, 148, 517–532.e3. [Google Scholar] [CrossRef] [PubMed]
- Dasgupta, A.; Hammett-Stabler, C.A. (Eds.) Herbal Supplements: Efficacy, Toxicity, Interactions with Western Drugs, and Effects on Clinical Laboratory Tests, 1st ed.; Wiley: Hoboken, NJ, USA, 2010; ISBN 978-0-470-43350-8. [Google Scholar]
- Izzo, A.A.; Ernst, E. Interactions Between Herbal Medicines and Prescribed Drugs: A Systematic Review. Drugs 2001, 61, 2163–2175. [Google Scholar] [CrossRef]
- Abd-ElGawad, A.M.; El-Amier, Y.A.; Assaeed, A.M.; Al-Rowaily, S.L. Interspecific Variations in the Habitats of Reichardia tingitana (L.) Roth Leading to Changes in Its Bioactive Constituents and Allelopathic Activity. Saudi J. Biol. Sci. 2020, 27, 489–499. [Google Scholar] [CrossRef]
- Vodovotz, Y.; Barnard, N.; Hu, F.B.; Jakicic, J.; Lianov, L.; Loveland, D.; Buysse, D.; Szigethy, E.; Finkel, T.; Sowa, G.; et al. Prioritized Research for the Prevention, Treatment, and Reversal of Chronic Disease: Recommendations From the Lifestyle Medicine Research Summit. Front. Med. 2020, 7, 585744. [Google Scholar] [CrossRef]
- Eddouks, M.; Lemhadri, A.; Hebi, M.; EL Hidani, A.; Zeggwagh, N.A.; EL Bouhali, B.; Hajji, L.; Burcelin, R. Capparis spinosa L. Aqueous Extract Evokes Antidiabetic Effect in Streptozotocin-Induced Diabetic Mice. Avicenna J. Phytomedicine 2017, 7, 191–198. [Google Scholar]
- Kumari, N.; Kumar, M.; Radha; Lorenzo, J.M.; Sharma, D.; Puri, S.; Pundir, A.; Dhumal, S.; Bhuyan, D.J.; Jayanthy, G.; et al. Onion and Garlic Polysaccharides: A Review on Extraction, Characterization, Bioactivity, and Modifications. Int. J. Biol. Macromol. 2022, 219, 1047–1061. [Google Scholar] [CrossRef] [PubMed]
- EL-Kamali, H.H.; Khalid, S. The Most Common Herbal Remedies in Dongola Province, Northern Sudan. Fitoterapia 1998, 69, 118–121. [Google Scholar]
- Awadh Ali, N.A.A.; Sokari, S.S.A.; Gushash, A.; Anwar, S.; Al-Karani, K.; Al-Khulaidi, A. Ethnopharmacological Survey of Medicinal Plants in Albaha Region, Saudi Arabia. Pharmacogn. Res. 2017, 9, 401. [Google Scholar] [CrossRef] [PubMed]
- Shahin, S.M.; Jaleel, A.; Alyafei, M.A.M. The Essential Oil-Bearing Plants in the United Arab Emirates (UAE): An Overview. Molecules 2021, 26, 6486. [Google Scholar] [CrossRef]
- Al-Shamsi, S.; Regmi, D.; Govender, R.D. Incidence of Cardiovascular Disease and Its Associated Risk Factors in At-Risk Men and Women in the United Arab Emirates: A 9-Year Retrospective Cohort Study. BMC Cardiovasc. Disord. 2019, 19, 148. [Google Scholar] [CrossRef]
- Al-Thani, H.; El-Menyar, A.; Consunji, R.; Mekkodathil, A.; Peralta, R.; Allen, K.A.; Hyder, A.A. Epidemiology of Occupational Injuries by Nationality in Qatar: Evidence for Focused Occupational Safety Programmes. Injury 2015, 46, 1806–1813. [Google Scholar] [CrossRef] [PubMed]
- IDF Diabetes Atlas. 2021. Available online: https://diabetesatlas.org/idfawp/resource-files/2021/07/IDF_Atlas_10th_Edition_2021.pdf (accessed on 10 December 2024).
- Bisht, K.; Choi, W.H.; Park, S.Y.; Chung, M.K.; Koh, W.S. Curcumin Enhances Non-Inflammatory Phagocytic Activity of RAW264.7 Cells. Biochem. Biophys. Res. Commun. 2009, 379, 632–636. [Google Scholar] [CrossRef] [PubMed]
- Hammami, I.; Farjot, G.; Naveau, M.; Rousseaud, A.; Prangé, T.; Katz, I.; Colloc’h, N. Method for the Identification of Potentially Bioactive Argon Binding Sites in Protein Families. J. Chem. Inf. Model. 2022, 62, 1318–1327. [Google Scholar] [CrossRef]
- Wahab, S.; Alsayari, A. Potential Pharmacological Applications of Nigella Seeds with a Focus on Nigella Sativa and Its Constituents against Chronic Inflammatory Diseases: Progress and Future Opportunities. Plants 2023, 12, 3829. [Google Scholar] [CrossRef]
- El-Sayed, A.S.A.; Safan, S.; Mohamed, N.Z.; Shaban, L.; Ali, G.S.; Sitohy, M.Z. Induction of Taxol Biosynthesis by Aspergillus terreus, Endophyte of Podocarpus gracilior Pilger, upon Intimate Interaction with the Plant Endogenous Microbes. Process Biochem. 2018, 71, 31–40. [Google Scholar] [CrossRef]
- Hussein, E.; Daoud, S.; Alrabaiah, H.; Badawi, R. Exploring Undergraduate Students’ Attitudes towards Emergency Online Learning during COVID-19: A Case from the UAE. Child. Youth Serv. Rev. 2020, 119, 105699. [Google Scholar] [CrossRef]
- United Arab Emirates Ministry of Climate Change and Environment. Dates for Planting Vegetables & Fruits in the United Arab Emirates. 2024. Available online: https://www.moccae.gov.ae/assets/download/56f7a89b/agriculture_calender_page_en.pdf.aspx (accessed on 2 December 2024).
- Chakraborty, A.J.; Uddin, T.M.; Matin Zidan, B.M.R.; Mitra, S.; Das, R.; Nainu, F.; Dhama, K.; Roy, A.; Hossain, M.J.; Khusro, A.; et al. Allium cepa: A Treasure of Bioactive Phytochemicals with Prospective Health Benefits. Evid. Based Complement. Alternat. Med. 2022, 2022, 4586318. [Google Scholar] [CrossRef] [PubMed]
- Kianian, F.; Marefati, N.; Boskabady, M.; Ghasemi, S.Z.; Boskabady, M.H. Pharmacological Properties of Allium cepa, Preclinical and Clinical Evidences; A Review. Iran. J. Pharm. Res. IJPR 2021, 20, 107–134. [Google Scholar] [CrossRef]
- Azeem, M.; Hanif, M.; Mahmood, K.; Ameer, N.; Chughtai, F.R.S.; Abid, U. An Insight into Anticancer, Antioxidant, Antimicrobial, Antidiabetic and Anti-Inflammatory Effects of Quercetin: A Review. Polym. Bull. 2023, 80, 241–262. [Google Scholar] [CrossRef] [PubMed]
- Ayaz, E.; Alpsoy, H.C. Garlic (Allium sativum) and traditional medicine. Turk. Parazitolojii Derg. 2007, 31, 145–149. [Google Scholar]
- Rahman, K. Historical Perspective on Garlic and Cardiovascular Disease. J. Nutr. 2001, 131, 977S–979S. [Google Scholar] [CrossRef] [PubMed]
- El-Saber Batiha, G.; Magdy Beshbishy, A.; Wasef, L.G.; Elewa, Y.H.; Al-Sagan, A.A.; Abd El-Hack, M.E.; Taha, A.E.; Abd-Elhakim, Y.M.; Prasad Devkota, H. Chemical Constituents and Pharmacological Activities of Garlic (Allium sativum L.): A Review. Nutrients 2020, 12, 872. [Google Scholar] [CrossRef] [PubMed]
- Pérez-Rubio, K.G.; Méndez-del Villar, M.; Cortez-Navarrete, M. The Role of Garlic in Metabolic Diseases: A Review. J. Med. Food 2022, 25, 683–694. [Google Scholar] [CrossRef]
- UAE Flora. Available online: https://www.uaeflora.ae/ (accessed on 2 December 2024).
- Bayala, B.; Coulibaly, L.L.; Djigma, F.; Bunay, J.; Yonli, A.; Traore, L.; Baron, S.; Figueredo, G.; Simpore, J.; Lobaccaro, J.-M.A. Chemical Composition of Essential Oil of Cymbopogon schoenanthus (L.) Spreng from Burkina Faso, and Effects against Prostate and Cervical Cancer Cell Lines. Molecules 2023, 28, 4561. [Google Scholar] [CrossRef]
- Mokhtar, L.M.; Salim, I.A.; Alotaibi, S.N.; Awaji, E.A.; Alotaibi, M.M.; Doman, A.O. Phytochemical Screening and Antimicrobial Activity of Methanolic Extract of Cymbopogon schoenanthus (L.) (Azkhar) Collected from Afif City, Saudi Arabia. Life 2023, 13, 1451. [Google Scholar] [CrossRef] [PubMed]
- Mustapha, A.; AlSharksi, A.N.; Eze, U.A.; Samaila, R.K.; Ukwah, B.N.; Anyiam, A.F.; Samarasinghe, S.; Ibrahim, M.A. Phytochemical Composition, In Silico Molecular Docking Analysis and Antibacterial Activity of Lawsonia inermis Linn Leaves Extracts against Extended Spectrum Beta-Lactamases-Producing Strains of Klebsiella pneumoniae. BioMed 2024, 4, 277–292. [Google Scholar] [CrossRef]
- Fatahi Bafghi, M.; Salary, S.; Mirzaei, F.; Mahmoodian, H.; Meftahizade, H.; Zareshahi, R. Antibacterial and Anti-Trichomunas Characteristics of Local Landraces of Lawsonia inermis L. BMC Complement. Med. Ther. 2022, 22, 203. [Google Scholar] [CrossRef] [PubMed]
- Pasandi Pour, A.; Farahbakhsh, H. Lawsonia inermis L. Leaves Aqueous Extract as a Natural Antioxidant and Antibacterial Product. Nat. Prod. Res. 2020, 34, 3399–3403. [Google Scholar] [CrossRef]
- Kheder, F.B.H.; Mahjoub, M.A.; Zaghrouni, F.; Kwaja, S.; Helal, A.N.; Mighri, Z. Chemical Composition Antioxidant and Antimicrobial Activities of the Essential Oils of Matricaria aurea Loefl. Growing in Tunisia. J. Essent. Oil Bear. Plants 2014, 17, 493–505. [Google Scholar] [CrossRef]
- Qaralleh, H.; Saghir, S.A.M.; Al-limoun, M.O.; Dmor, S.M.; Khleifat, K.; Al-Ahmad, B.E.M.; Al-Omari, L.; Tabana, Y.; Mothana, R.A.; Al-Yousef, H.M.; et al. Effect of Matricaria Aurea Essential Oils on Biofilm Development, Virulence Factors and Quorum Sensing-Dependent Genes of Pseudomonas Aeruginosa. Pharmaceuticals 2024, 17, 386. [Google Scholar] [CrossRef] [PubMed]
- Pop, R.M.; Trifa, A.P.; Popolo, A.; Chedea, V.S.; Militaru, C.; Bocsan, I.C.; Buzoianu, A.D. Nigella Sativa: Valuable Perspective in the Management of Chronic Diseases. Iran. J. Basic Med. Sci. 2020, 23, 699–713. [Google Scholar] [CrossRef] [PubMed]
- Rahmani, A.H.; Aly, S.M.; Ali, H.; Babiker, A.Y.; Srikar, S. Therapeutic Effects of Date Fruits (Phoenix dactylifera) in the Prevention of Diseases via Modulation of Anti-Inflammatory, Anti-Oxidant and Anti-Tumour Activity. Int. J. Clin. Exp. Med. 2014, 7, 483–491. [Google Scholar] [PubMed]
- Al-Quwaie, D.A.; Allohibi, A.; Aljadani, M.; Alghamdi, A.M.; Alharbi, A.A.; Baty, R.S.; Qahl, S.H.; Saleh, O.; Shakak, A.O.; Alqahtani, F.S.; et al. Characterization of Portulaca oleracea Whole Plant: Evaluating Antioxidant, Anticancer, Antibacterial, and Antiviral Activities and Application as Quality Enhancer in Yogurt. Molecules 2023, 28, 5859. [Google Scholar] [CrossRef]
- Kumar, A.; Sreedharan, S.; Kashyap, A.K.; Singh, P.; Ramchiary, N. A Review on Bioactive Phytochemicals and Ethnopharmacological Potential of Purslane (Portulaca oleracea L.). Heliyon 2022, 8, e08669. [Google Scholar] [CrossRef]
- Salama, S.A.; Al-Faifi, Z.E.; El-Amier, Y.A. Chemical Composition of Reichardia tingitana Methanolic Extract and Its Potential Antioxidant, Antimicrobial, Cytotoxic and Larvicidal Activity. Plants 2022, 11, 2028. [Google Scholar] [CrossRef] [PubMed]
- Abdel-Mogib, M.; Abou-Elzahab, M.M.; Dawidar, A.M.; Ayyad, S.N. A Sesquiterpene Glucoside from Reichardia tingitana. Phytochemistry 1993, 34, 1434–1435. [Google Scholar] [CrossRef]
- Albeshri, A.; Baeshen, N.A.; Bouback, T.A.; Aljaddawi, A.A. A Review of Rhazya stricta Decne Phytochemistry, Bioactivities, Pharmacological Activities, Toxicity, and Folkloric Medicinal Uses. Plants 2021, 10, 2508. [Google Scholar] [CrossRef] [PubMed]
- Alshehri, B. Plant-Derived xenomiRs and Cancer: Cross-Kingdom Gene Regulation. Saudi J. Biol. Sci. 2021, 28, 2408–2422. [Google Scholar] [CrossRef] [PubMed]
- Mahmood, R.; Kayani, W.K.; Ahmed, T.; Malik, F.; Hussain, S.; Ashfaq, M.; Ali, H.; Rubnawaz, S.; Green, B.D.; Calderwood, D.; et al. Assessment of Antidiabetic Potential and Phytochemical Profiling of Rhazya stricta Root Extracts. BMC Complement. Med. Ther. 2020, 20, 293. [Google Scholar] [CrossRef]
- Khan, M.; Alkhathlan, H.Z.; Khan, S.T. Antibiotic and Antibiofilm Activities of Salvadora persica L. Essential Oils against Streptococcus Mutans: A Detailed Comparative Study with Chlorhexidine Digluconate. Pathogens 2020, 9, 66. [Google Scholar] [CrossRef] [PubMed]
- Jassoma, E.; Baeesa, L.; Sabbagh, H. The Antiplaque/Anticariogenic Efficacy of Salvadora persica (Miswak) Mouthrinse in Comparison to That of Chlorhexidine: A Systematic Review and Meta-Analysis. BMC Oral Health 2019, 19, 64. [Google Scholar] [CrossRef]
- Ayoub, N.; Badr, N.; Al-Ghamdi, S.S.; Alzahrani, A.; Alsulaimani, R.; Nassar, A.; Qadi, R.; Afifi, I.K.; Swilam, N. GC/MS Profiling and Ex Vivo Antibacterial Activity of Salvadora persica (Siwak) against Enterococcus faecalis as Intracanal Medicament. Evid. Based Complement. Alternat. Med. 2021, 2021, 6333867. [Google Scholar] [CrossRef] [PubMed]
- Kumar, D.; Sharma, P.K. Traditional Use, Phytochemicals and Pharmacological Activity of Salvadora Persica: A Review. Curr. Nutr. Food Sci. 2021, 17, 302–309. [Google Scholar] [CrossRef]
- Abdel-razakh, H.H.; Bakari, G.G.; Park, J.-S.; Pan, C.-H.; Hoza, A.S. Phenolic Contents and Antioxidant Properties of Bauhinia rufescens, Ocimum basilicum and Salvadora persica, Used as Medicinal Plants in Chad. Molecules 2024, 29, 4684. [Google Scholar] [CrossRef]
- Morena, F.; Cencini, C.; Calzoni, E.; Martino, S.; Emiliani, C. A Novel Workflow for In Silico Prediction of Bioactive Peptides: An Exploration of Solanum lycopersicum By-Products. Biomolecules 2024, 14, 930. [Google Scholar] [CrossRef] [PubMed]
- Mohri, S.; Takahashi, H.; Sakai, M.; Waki, N.; Takahashi, S.; Aizawa, K.; Suganuma, H.; Ara, T.; Sugawara, T.; Shibata, D.; et al. Integration of Bioassay and Non-Target Metabolite Analysis of Tomato Reveals That β-Carotene and Lycopene Activate the Adiponectin Signaling Pathway, Including AMPK Phosphorylation. PLoS ONE 2022, 17, e0267248. [Google Scholar] [CrossRef] [PubMed]
- Szabo, K.; Mitrea, L.; Călinoiu, L.F.; Teleky, B.-E.; Martău, G.A.; Plamada, D.; Pascuta, M.S.; Nemeş, S.-A.; Varvara, R.-A.; Vodnar, D.C. Natural Polyphenol Recovery from Apple-, Cereal-, and Tomato-Processing By-Products and Related Health-Promoting Properties. Molecules 2022, 27, 7977. [Google Scholar] [CrossRef]
- Faisal, Z.; Irfan, R.; Akram, N.; Manzoor, H.M.I.; Aabdi, M.A.; Anwar, M.J.; Khawar, S.; Saif, A.; Shah, Y.A.; Afzaal, M.; et al. The Multifaceted Potential of Fenugreek Seeds: From Health Benefits to Food and Nanotechnology Applications. Food Sci. Nutr. 2024, 12, 2294–2310. [Google Scholar] [CrossRef] [PubMed]
- Ruwali, P.; Pandey, N.; Jindal, K.; Singh, R.V. Fenugreek (Trigonella foenum-graecum): Nutraceutical Values, Phytochemical, Ethnomedicinal and Pharmacological Overview. S. Afr. J. Bot. 2022, 151, 423–431. [Google Scholar] [CrossRef]
- Idris, S.; Mishra, A.; Khushtar, M. Recent Therapeutic Interventions of Fenugreek Seed: A Mechanistic Approach. Drug Res. 2021, 71, 180–192. [Google Scholar] [CrossRef] [PubMed]
- Zandi, P.; Basu, S.K.; Cetzal-Ix, W.; Kordrostami, M.; Chalaras, S.K.; Khatibai, L.B. Fenugreek (Trigonella foenum-graecum L.): An Important Medicinal and Aromatic Crop. In Active Ingredients from Aromatic and Medicinal Plants; El-Shemy, H.A., Ed.; InTech: London, UK, 2017; ISBN 978-953-51-2975-2. [Google Scholar]
- Bahmani, M.; Shirzad, H.; Mirhosseini, M.; Mesripour, A.; Rafieian-Kopaei, M. A Review on Ethnobotanical and Therapeutic Uses of Fenugreek (Trigonella foenum-graceum L). J. Evid.-Based Complement. Altern. Med. 2016, 21, 53–62. [Google Scholar] [CrossRef] [PubMed]
- Yadav, U.C.S.; Baquer, N.Z. Pharmacological Effects of Trigonella foenum-graecum L. in Health and Disease. Pharm. Biol. 2014, 52, 243–254. [Google Scholar] [CrossRef] [PubMed]
- Saleem, S.; Muhammad, G.; Hussain, M.A.; Altaf, M.; Bukhari, S.N.A. Withania somnifera L.: Insights into the Phytochemical Profile, Therapeutic Potential, Clinical Trials, and Future Prospective. Iran. J. Basic Med. Sci. 2020, 23, 1501. [Google Scholar] [CrossRef]
- Mandlik, D.S.; Namdeo, A.G. Pharmacological Evaluation of Ashwagandha Highlighting Its Healthcare Claims, Safety, and Toxicity Aspects. J. Diet. Suppl. 2021, 18, 183–226. [Google Scholar] [CrossRef]
- Mikulska, P.; Malinowska, M.; Ignacyk, M.; Szustowski, P.; Nowak, J.; Pesta, K.; Szeląg, M.; Szklanny, D.; Judasz, E.; Kaczmarek, G.; et al. Ashwagandha (Withania somnifera)—Current Research on the Health-Promoting Activities: A Narrative Review. Pharmaceutics 2023, 15, 1057. [Google Scholar] [CrossRef] [PubMed]
- Paul, S.; Chakraborty, S.; Anand, U.; Dey, S.; Nandy, S.; Ghorai, M.; Saha, S.C.; Patil, M.T.; Kandimalla, R.; Proćków, J.; et al. Withania somnifera (L.) Dunal (Ashwagandha): A Comprehensive Review on Ethnopharmacology, Pharmacotherapeutics, Biomedicinal and Toxicological Aspects. Biomed. Pharmacother. 2021, 143, 112175. [Google Scholar] [CrossRef] [PubMed]
- Zazouli, S.; Chigr, M.; Ramos, P.A.B.; Rosa, D.; Castro, M.M.; Jouaiti, A.; Duarte, M.F.; Santos, S.A.O.; Silvestre, A.J.D. Chemical Profile of Lipophilic Fractions of Different Parts of Zizyphus lotus L. by GC-MS and Evaluation of Their Antiproliferative and Antibacterial Activities. Molecules 2022, 27, 483. [Google Scholar] [CrossRef] [PubMed]
- Cadi, H.E.; Bouzidi, H.E.; Selama, G.; Cadi, A.E.; Ramdan, B.; Oulad El Majdoub, Y.; Alibrando, F.; Dugo, P.; Mondello, L.; Fakih Lanjri, A.; et al. Physico-Chemical and Phytochemical Characterization of Moroccan Wild Jujube “Zizyphus lotus (L.)” Fruit Crude Extract and Fractions. Molecules 2020, 25, 5237. [Google Scholar] [CrossRef] [PubMed]
- Yahia, Y.; Benabderrahim, M.A.; Tlili, N.; Bagues, M.; Nagaz, K. Bioactive Compounds, Antioxidant and Antimicrobial Activities of Extracts from Different Plant Parts of Two Ziziphus Mill. Species. PLoS ONE 2020, 15, e0232599. [Google Scholar] [CrossRef]
- Bencheikh, N.; Radi, F.Z.; Fakchich, J.; Elbouzidi, A.; Ouahhoud, S.; Ouasti, M.; Bouhrim, M.; Ouasti, I.; Hano, C.; Elachouri, M. Ethnobotanical, Phytochemical, Toxicological, and Pharmacological Properties of Ziziphus lotus (L.) Lam.: A Comprehensive Review. Pharmaceuticals 2023, 16, 575. [Google Scholar] [CrossRef]
- Rahman, M.M.; Rahaman, M.S.; Islam, M.R.; Hossain, M.E.; Mannan Mithi, F.; Ahmed, M.; Saldías, M.; Akkol, E.K.; Sobarzo-Sánchez, E. Multifunctional Therapeutic Potential of Phytocomplexes and Natural Extracts for Antimicrobial Properties. Antibiotics 2021, 10, 1076. [Google Scholar] [CrossRef] [PubMed]
- Wahab, S.; Salman, A.; Khan, Z.; Khan, S.; Krishnaraj, C.; Yun, S.-I. Metallic Nanoparticles: A Promising Arsenal against Antimicrobial Resistance—Unraveling Mechanisms and Enhancing Medication Efficacy. Int. J. Mol. Sci. 2023, 24, 14897. [Google Scholar] [CrossRef] [PubMed]
- Suleria, H.A.R.; Butt, M.S.; Anjum, F.M.; Saeed, F.; Khalid, N. Onion: Nature Protection Against Physiological Threats. Crit. Rev. Food Sci. Nutr. 2014, 55, 50–66. [Google Scholar] [CrossRef]
- Tsegay, Z.T.; Mulaw, G. Antimicrobial Activities and Mode of Action of Bioactive Substances from Vegetable and Fruit Byproducts as a Current Option for Valorization. Waste Biomass Valorization 2024. [Google Scholar] [CrossRef]
- Osman, A.I.; Zhang, Y.; Farghali, M.; Rashwan, A.K.; Eltaweil, A.S.; Abd El-Monaem, E.M.; Mohamed, I.M.A.; Badr, M.M.; Ihara, I.; Rooney, D.W.; et al. Synthesis of Green Nanoparticles for Energy, Biomedical, Environmental, Agricultural, and Food Applications: A Review. Environ. Chem. Lett. 2024, 22, 841–887. [Google Scholar] [CrossRef]
- Kamel, A.; Saleh, M. Recent Studies on the Chemistry and Biological Activities of the Organosulfur Compounds of Garlic (Allium sativum). Stud. Nat. Prod. Chem. 2000, 23, 455–485. [Google Scholar]
- Pinto, J.T.; Krasnikov, B.F.; Cooper, A.J. Redox-Sensitive Proteins Are Potential Targets of Garlic-Derived Mercaptocysteine Derivatives. J. Nutr. 2006, 136, 835S–841S. [Google Scholar] [CrossRef] [PubMed]
- Bhatwalkar, S.B.; Mondal, R.; Krishna, S.B.N.; Adam, J.K.; Govender, P.; Anupam, R. Antibacterial Properties of Organosulfur Compounds of Garlic (Allium sativum). Front. Microbiol. 2021, 12, 613077. [Google Scholar] [CrossRef] [PubMed]
- El-Saadony, M.T.; Saad, A.M.; Korma, S.A.; Salem, H.M.; Abd El-Mageed, T.A.; Alkafaas, S.S.; Elsalahaty, M.I.; Elkafas, S.S.; Mosa, W.F.A.; Ahmed, A.E.; et al. Garlic Bioactive Substances and Their Therapeutic Applications for Improving Human Health: A Comprehensive Review. Front. Immunol. 2024, 15, 1277074. [Google Scholar] [CrossRef] [PubMed]
- Ozma, M.A.; Abbasi, A.; Ahangarzadeh Rezaee, M.; Hosseini, H.; Hosseinzadeh, N.; Sabahi, S.; Noori, S.M.A.; Sepordeh, S.; Khodadadi, E.; Lahouty, M.; et al. A Critical Review on the Nutritional and Medicinal Profiles of Garlic’s (Allium sativum L.) Bioactive Compounds. Food Rev. Int. 2023, 39, 6324–6361. [Google Scholar] [CrossRef]
- Putnik, P.; Gabrić, D.; Roohinejad, S.; Barba, F.J.; Granato, D.; Mallikarjunan, K.; Lorenzo, J.M.; Bursać Kovačević, D. An Overview of Organosulfur Compounds from Allium spp.: From Processing and Preservation to Evaluation of Their Bioavailability, Antimicrobial, and Anti-Inflammatory Properties. Food Chem. 2019, 276, 680–691. [Google Scholar] [CrossRef]
- Moiketsi, B.N.; Makale, K.P.P.; Rantong, G.; Rahube, T.O.; Makhzoum, A. Potential of Selected African Medicinal Plants as Alternative Therapeutics against Multi-Drug-Resistant Bacteria. Biomedicines 2023, 11, 2605. [Google Scholar] [CrossRef]
- Abirami, S.; Edwin Raj, B.; Soundarya, T.; Kannan, M.; Sugapriya, D.; Al-Dayan, N.; Ahmed Mohammed, A. Exploring Antifungal Activities of Acetone Extract of Selected Indian Medicinal Plants against Human Dermal Fungal Pathogens. Saudi J. Biol. Sci. 2021, 28, 2180–2187. [Google Scholar] [CrossRef]
- Mendoza-Juache, A.; Aranda-Romo, S.; Bermeo-Escalona, J.R.; Gómez-Hernández, A.; Pozos-Guillén, A.; Sánchez-Vargas, L.O. The Essential Oil of Allium sativum as an Alternative Agent against Candida Isolated from Dental Prostheses. Rev. Iberoam. Micol. 2017, 34, 158–164. [Google Scholar] [CrossRef]
- Silva, F.; Ferreira, S.; Duarte, A.; Mendonça, D.I.; Domingues, F.C. Antifungal Activity of Coriandrum sativum Essential Oil, Its Mode of Action against Candida Species and Potential Synergism with Amphotericin B. Phytomedicine 2011, 19, 42–47. [Google Scholar] [CrossRef] [PubMed]
- Corbu, V.M.; Gheorghe, I.; Marinaș, I.C.; Geană, E.I.; Moza, M.I.; Csutak, O.; Chifiriuc, M.C. Demonstration of Allium sativum Extract Inhibitory Effect on Biodeteriogenic Microbial Strain Growth, Biofilm Development, and Enzymatic and Organic Acid Production. Molecules 2021, 26, 7195. [Google Scholar] [CrossRef] [PubMed]
- Ogórek, R. Enzymatic Activity of Potential Fungal Plant Pathogens and the Effect of Their Culture Filtrates on Seed Germination and Seedling Growth of Garden Cress (Lepidium sativum L.). Eur. J. Plant Pathol. 2016, 145, 469–481. [Google Scholar] [CrossRef]
- Teixeira, A.; Sánchez-Hernández, E.; Noversa, J.; Cunha, A.; Cortez, I.; Marques, G.; Martín-Ramos, P.; Oliveira, R. Antifungal Activity of Plant Waste Extracts against Phytopathogenic Fungi: Allium sativum Peels Extract as a Promising Product Targeting the Fungal Plasma Membrane and Cell Wall. Horticulturae 2023, 9, 136. [Google Scholar] [CrossRef]
- Chaudhary, V.; Kajla, P.; Lather, D.; Chaudhary, N.; Dangi, P.; Singh, P.; Pandiselvam, R. Bacteriophages: A Potential Game Changer in Food Processing Industry. Crit. Rev. Biotechnol. 2024, 44, 1325–1349. [Google Scholar] [CrossRef] [PubMed]
- Cheruvari, A.; Kammara, R. Bacteriocins Future Perspectives: Substitutes to Antibiotics. Food Control 2025, 168, 110834. [Google Scholar] [CrossRef]
- Gopikrishnan, M.; Haryini, S. Emerging Strategies and Therapeutic Innovations for Combating Drug Resistance in Staphylococcus aureus Strains: A Comprehensive Review. J. Basic Microbiol. 2024, 64, 2300579. [Google Scholar] [CrossRef]
- Maghembe, R.; Damian, D.; Makaranga, A.; Nyandoro, S.S.; Lyantagaye, S.L.; Kusari, S.; Hatti-Kaul, R. Omics for Bioprospecting and Drug Discovery from Bacteria and Microalgae. Antibiotics 2020, 9, 229. [Google Scholar] [CrossRef] [PubMed]
- Subbarayudu, S.; Namasivayam, S.K.R.; Arockiaraj, J. Immunomodulation in Non-Traditional Therapies for Methicillin-Resistant Staphylococcus aureus (MRSA) Management. Curr. Microbiol. 2024, 81, 346. [Google Scholar] [CrossRef]
- Wang, C.-Y.; Ndraha, N.; Wu, R.-S.; Liu, H.-Y.; Lin, S.-W.; Yang, K.-M.; Lin, H.-Y. An Overview of the Potential of Food-Based Carbon Dots for Biomedical Applications. Int. J. Mol. Sci. 2023, 24, 16579. [Google Scholar] [CrossRef]
- Al-Ghamdi, S.; Al-Ghamdi, A.; Shammah, A. Inhibition of Calcium Oxalate Nephrotoxicity with Cymbopogon schoenanthus (Al-Ethkher). Drug Metab. Lett. 2007, 1, 241–244. [Google Scholar] [CrossRef] [PubMed]
- Ranasinghe, S.; Armson, A.; Lymbery, A.J.; Zahedi, A.; Ash, A. Medicinal Plants as a Source of Antiparasitics: An Overview of Experimental Studies. Pathog. Glob. Health 2023, 117, 535–553. [Google Scholar] [CrossRef] [PubMed]
- Hashim, G.M.; Almasaudi, S.B.; Azhar, E.; Al Jaouni, S.K.; Harakeh, S. Biological Activity of Cymbopogon schoenanthus Essential Oil. Saudi J. Biol. Sci. 2017, 24, 1458–1464. [Google Scholar] [CrossRef]
- Khadri, A.; Neffati, M.; Smiti, S.; Falé, P.; Lino, A.R.L.; Serralheiro, M.L.M.; Araújo, M.E.M. Antioxidant, Antiacetylcholinesterase and Antimicrobial Activities of Cymbopogon schoenanthus L. Spreng (Lemon Grass) from Tunisia. LWT—Food Sci. Technol. 2010, 43, 331–336. [Google Scholar] [CrossRef]
- Romanescu, M.; Oprean, C.; Lombrea, A.; Badescu, B.; Teodor, A.; Constantin, G.D.; Andor, M.; Folescu, R.; Muntean, D.; Danciu, C.; et al. Current State of Knowledge Regarding WHO High Priority Pathogens—Resistance Mechanisms and Proposed Solutions through Candidates Such as Essential Oils: A Systematic Review. Int. J. Mol. Sci. 2023, 24, 9727. [Google Scholar] [CrossRef] [PubMed]
- Sounouvou, H.T.; Toukourou, H.; Catteau, L.; Toukourou, F.; Evrard, B.; Van Bambeke, F.; Gbaguidi, F.; Quetin-Leclercq, J. Antimicrobial Potentials of Essential Oils Extracted from West African Aromatic Plants on Common Skin Infections. Sci. Afr. 2021, 11, e00706. [Google Scholar] [CrossRef]
- Zannat, K.E.; Tanzim, S.M.; Afrin, A.; Saha, B.C.; Joynal, J.B.; Khanam, T.A.; Nira, N.H. Antibacterial Effects of Methanolic Leaf Extracts of Henna (Lawsonia inermis) Against Two Most Common Pathogenic Organisms: Gram Positive Staphylococcus aureus and Gram-Negative Escherichia coli. Mymensingh Med. J. MMJ 2023, 32, 296–302. [Google Scholar]
- Elebeedy, D.; Ghanem, A.; El-Sayed, M.; Fayad, E.; Abu Ali, O.A.; Alyamani, A.; Sayed Abdelgeliel, A. Synergistic Antimicrobial Effect of Lactiplantibacillus plantarum and Lawsonia inermis Against Staphylococcus aureus. Infect. Drug Resist. 2022, 15, 545–554. [Google Scholar] [CrossRef] [PubMed]
- Gozubuyuk, G.S.; Aktas, E.; Yigit, N. An Ancient Plant Lawsonia inermis (Henna): Determination of in Vitro Antifungal Activity against Dermatophytes Species. J. Mycol. Médicale 2014, 24, 313–318. [Google Scholar] [CrossRef]
- Metwally, A.A.; Abdel-Hady, A.-N.A.A.; Haridy, M.A.M.; Ebnalwaled, K.; Saied, A.A.; Soliman, A.S. Wound Healing Properties of Green (Using Lawsonia inermis Leaf Extract) and Chemically Synthesized ZnO Nanoparticles in Albino Rats. Environ. Sci. Pollut. Res. 2022, 29, 23975–23987. [Google Scholar] [CrossRef]
- Vakilian, S.; Norouzi, M.; Soufi-Zomorrod, M.; Shabani, I.; Hosseinzadeh, S.; Soleimani, M.L. Inermi-Loaded Nanofibrous Scaffolds for Wound Dressing Applications. Tissue Cell 2018, 51, 32–38. [Google Scholar] [CrossRef] [PubMed]
- Yousefbeyk, F.; Hemmati, G.; Gholipour, Z.; Ghasemi, S.; Evazalipour, M.; Schubert, C.; Koohi, D.E.; Böhm, V. Phytochemical Analysis, Antioxidant, Cytotoxic, and Antimicrobial Activities of Golden Chamomile (Matricaria aurea (Loefl.) Schultz Bip). Z. Naturforschung C 2022, 77, 331–342. [Google Scholar] [CrossRef] [PubMed]
- El Mihyaoui, A.; Esteves Da Silva, J.C.G.; Charfi, S.; Candela Castillo, M.E.; Lamarti, A.; Arnao, M.B. Chamomile (Matricaria chamomilla L.): A Review of Ethnomedicinal Use, Phytochemistry and Pharmacological Uses. Life 2022, 12, 479. [Google Scholar] [CrossRef]
- Mailänder, L.K.; Lorenz, P.; Bitterling, H.; Stintzing, F.C.; Daniels, R.; Kammerer, D.R. Phytochemical Characterization of Chamomile (Matricaria recutita L.) Roots and Evaluation of Their Antioxidant and Antibacterial Potential. Molecules 2022, 27, 8508. [Google Scholar] [CrossRef]
- Sánchez, M.; González-Burgos, E.; Gómez-Serranillos, M.P. The Pharmacology and Clinical Efficacy of Matricaria recutita L.: A Systematic Review of in Vitro, in Vivo Studies and Clinical Trials. Food Rev. Int. 2022, 38, 1668–1702. [Google Scholar] [CrossRef]
- Sharifi-Rad, M.; Nazaruk, J.; Polito, L.; Morais-Braga, M.F.B.; Rocha, J.E.; Coutinho, H.D.M.; Salehi, B.; Tabanelli, G.; Montanari, C.; Del Mar Contreras, M.; et al. Matricaria Genus as a Source of Antimicrobial Agents: From Farm to Pharmacy and Food Applications. Microbiol. Res. 2018, 215, 76–88. [Google Scholar] [CrossRef]
- Ahmad, I.; Wahab, S.; Nisar, N.; Dera, A.A.; Alshahrani, M.Y.; Abullias, S.S.; Irfan, S.; Alam, M.M.; Srivastava, S. Evaluation of Antibacterial Properties of Matricaria aurea on Clinical Isolates of Periodontitis Patients with Special Reference to Red Complex Bacteria. Saudi Pharm. J. 2020, 28, 1203–1209. [Google Scholar] [CrossRef] [PubMed]
- Khan, M.; Abdullah, M.M.S.; Mahmood, A.; Al-Mayouf, A.M.; Alkhathlan, H.Z. Evaluation of Matricaria Aurea Extracts as Effective Anti-Corrosive Agent for Mild Steel in 1.0 M HCl and Isolation of Their Active Ingredients. Sustainability 2019, 11, 7174. [Google Scholar] [CrossRef]
- Khodadadi, A.; Pipelzadeh, M.H.; Aghel, N.; Esmaeilian, M.; Zali, I. A Comparative Study upon the Therapeutic Indices of Some Natural and Synthetic Anti-Inflammatory Agents. Iran. J. Basic Med. Sci. 2011, 14, 340. [Google Scholar] [CrossRef]
- Mauludiyana, S.; Aryati; Dachlan, Y.P.; Saputro, I.D. Anti-Inflammatory and Antibacterial Potential of Ajwa Date (Phoenix dactylifera L.) Extract in Burn Infection. J. Adv. Pharm. Technol. Res. 2023, 14, 161–165. [Google Scholar] [CrossRef]
- Ouamnina, A.; Alahyane, A.; Elateri, I.; Abderrazik, M. Pharmacological Insights, Traditional Applications, and Determinants of Phytochemical Composition in Date Palm Fruit (Phoenix dactylifera L.): A Comprehensive Review. J. Food Compos. Anal. 2024, 136, 106784. [Google Scholar] [CrossRef]
- Samad, M.; Hashim, S.; Simarani, K.; Yaacob, J. Antibacterial Properties and Effects of Fruit Chilling and Extract Storage on Antioxidant Activity, Total Phenolic and Anthocyanin Content of Four Date Palm (Phoenix dactylifera) Cultivars. Molecules 2016, 21, 419. [Google Scholar] [CrossRef]
- Sar, T.; Akbas, M.Y. Antimicrobial Activities of Olive Oil Mill Wastewater Extracts against Selected Microorganisms. Sustainability 2023, 15, 8179. [Google Scholar] [CrossRef]
- Al-Alawi, R.A.; Al-Mashiqri, J.H.; Al-Nadabi, J.S.M.; Al-Shihi, B.I.; Baqi, Y. Date Palm Tree (Phoenix dactylifera L.): Natural Products and Therapeutic Options. Front. Plant Sci. 2017, 8, 845. [Google Scholar] [CrossRef] [PubMed]
- Halabi, A.A.; Elwakil, B.H.; Hagar, M.; Olama, Z.A. Date Fruit (Phoenix dactylifera L.) Cultivar Extracts: Nanoparticle Synthesis, Antimicrobial and Antioxidant Activities. Molecules 2022, 27, 5165. [Google Scholar] [CrossRef] [PubMed]
- Bouhlali, E.D.T.; El Hilaly, J.; Ennassir, J.; Benlyas, M.; Alem, C.; Amarouch, M.-Y.; Filali-Zegzouti, Y. Anti-Inflammatory Properties and Phenolic Profile of Six Moroccan Date Fruit (Phoenix dactylifera L.) Varieties. J. King Saud Univ.—Sci. 2018, 30, 519–526. [Google Scholar] [CrossRef]
- Taleb, H.; Maddocks, S.E.; Morris, R.K.; Kanekanian, A.D. Chemical Characterisation and the Anti-Inflammatory, Anti-Angiogenic and Antibacterial Properties of Date Fruit (Phoenix dactylifera L.). J. Ethnopharmacol. 2016, 194, 457–468. [Google Scholar] [CrossRef] [PubMed]
- Al-Radadi, N.S. Green Synthesis of Platinum Nanoparticles Using Saudi’s Dates Extract and Their Usage on the Cancer Cell Treatment. Arab. J. Chem. 2019, 12, 330–349. [Google Scholar] [CrossRef]
- Yasin, B.; El-Fawal, H.; Mousa, S. Date (Phoenix dactylifera) Polyphenolics and Other Bioactive Compounds: A Traditional Islamic Remedy’s Potential in Prevention of Cell Damage, Cancer Therapeutics and Beyond. Int. J. Mol. Sci. 2015, 16, 30075–30090. [Google Scholar] [CrossRef]
- Parham, S.; Kharazi, A.Z.; Bakhsheshi-Rad, H.R.; Nur, H.; Ismail, A.F.; Sharif, S.; RamaKrishna, S.; Berto, F. Antioxidant, Antimicrobial and Antiviral Properties of Herbal Materials. Antioxidants 2020, 9, 1309. [Google Scholar] [CrossRef]
- Liu, G.; Liu, A.; Yang, C.; Zhou, C.; Zhou, Q.; Li, H.; Yang, H.; Mo, J.; Zhang, Z.; Li, G.; et al. Portulaca oleracea L. Organic Acid Extract Inhibits Persistent Methicillin-Resistant Staphylococcus Aureus in Vitro and in Vivo. Front. Microbiol. 2023, 13, 1076154. [Google Scholar] [CrossRef] [PubMed]
- He, Y.; Xu, G.; Jiang, P.; She, D.; Huang, L.; Chen, C. Antibacterial Diarrhea Effect and Action Mechanism of Portulaca oleracea L. Water Extract Based on the Regulation of Gut Microbiota and Fecal Metabolism. J. Sci. Food Agric. 2023, 103, 7260–7272. [Google Scholar] [CrossRef] [PubMed]
- Soliman, S.S.M.; Semreen, M.H.; El-Keblawy, A.A.; Abdullah, A.; Uppuluri, P.; Ibrahim, A.S. Assessment of Herbal Drugs for Promising Anti-Candida Activity. BMC Complement. Altern. Med. 2017, 17, 257. [Google Scholar] [CrossRef] [PubMed]
- Tleubayeva, M.I.; Datkhayev, U.M.; Alimzhanova, M.; Ishmuratova, M.Y.; Korotetskaya, N.V.; Abdullabekova, R.M.; Flisyuk, E.V.; Gemejiyeva, N.G. Component Composition and Antimicrobial Activity of CO2 Extract of Portulaca oleracea, Growing in the Territory of Kazakhstan. Sci. World J. 2021, 2021, 1–10. [Google Scholar] [CrossRef] [PubMed]
- Aljarbou, F.; Almobarak, A.; Binrayes, A.; Alamri, H.M. Salvadora Persica’s Biological Properties and Applications in Different Dental Specialties: A Narrative Review. Evid. Based Complement. Alternat. Med. 2022, 2022, 1–9. [Google Scholar] [CrossRef]
- Abhary, M.; Al-Hazmi, A.-A. Antibacterial Activity of Miswak ( Salvadora persica L.) Extracts on Oral Hygiene. J. Taibah Univ. Sci. 2016, 10, 513–520. [Google Scholar] [CrossRef]
- Ahmad, H.; Rajagopal, K. Salvadora persica L. (Meswak) in Dental Hygiene. Saudi J. Dent. Res. 2014, 5, 130–134. [Google Scholar] [CrossRef]
- Haque, M.M.; Alsareii, S.A. A Review of the Therapeutic Effects of Using Miswak (Salvadora persica) on Oral Health. Saudi Med. J. 2015, 36, 530–543. [Google Scholar] [CrossRef] [PubMed]
- El-Sherbiny, G.M.; Gazelly, A.M.; Sharaf, M.H.; Moghannemm, S.A.; Ismail, M.K.; El-Hawary, A.S. Exploitation of the Antibacterial, Antibiofilm and Antioxidant Activities of Salvadora persica (Miswak) Extract. J. Bioresour. Bioprod. 2023, 8, 59–65. [Google Scholar] [CrossRef]
- Sofrata, A.; Santangelo, E.M.; Azeem, M.; Borg-Karlson, A.-K.; Gustafsson, A.; Pütsep, K. Benzyl Isothiocyanate, a Major Component from the Roots of Salvadora persica Is Highly Active against Gram-Negative Bacteria. PLoS ONE 2011, 6, e23045. [Google Scholar] [CrossRef]
- Berni, R.; Romi, M.; Parrotta, L.; Cai, G.; Cantini, C. Ancient Tomato (Solanum lycopersicum L.) Varieties of Tuscany Have High Contents of Bioactive Compounds. Horticulturae 2018, 4, 51. [Google Scholar] [CrossRef]
- Chaudhary, P.; Sharma, A.; Singh, B.; Nagpal, A.K. Bioactivities of Phytochemicals Present in Tomato. J. Food Sci. Technol. 2018, 55, 2833–2849. [Google Scholar] [CrossRef] [PubMed]
- Da Costa, G.A.F.; Morais, M.G.; Saldanha, A.A.; Assis Silva, I.C.; Aleixo, Á.A.; Ferreira, J.M.S.; Soares, A.C.; Duarte-Almeida, J.M.; Lima, L.A.R.D.S. Antioxidant, Antibacterial, Cytotoxic, and Anti-Inflammatory Potential of the Leaves of Solanum lycocarpum A. St. Hil. (Solanaceae). Evid. Based Complement. Alternat. Med. 2015, 2015, 1–8. [Google Scholar] [CrossRef]
- Arfin, N.; Podder, M.K.; Kabir, S.R.; Asaduzzaman, A.K.M.; Hasan, I. Antibacterial, Antifungal and in Vivo Anticancer Activities of Chitin-Binding Lectins from Tomato (Solanum lycopersicum) Fruits. Arab. J. Chem. 2022, 15, 104001. [Google Scholar] [CrossRef]
- Almatroodi, S.A.; Almatroudi, A.; Alsahli, M.A.; Rahmani, A.H. Fenugreek (Trigonella foenum-graecum) and Its Active Compounds: A Review of Its Effects on Human Health through Modulating Biological Activities. Pharmacogn. J. 2021, 13, 813–821. [Google Scholar] [CrossRef]
- Bakhtiar, Z.; Hassandokht, M.; Naghavi, M.R.; Rezadoost, H.; Mirjalili, M.H. Fatty Acid and Nutrient Profiles, Diosgenin and Trigonelline Contents, Mineral Composition, and Antioxidant Activity of the Seed of Some Iranian Trigonella L. Species. BMC Plant Biol. 2024, 24, 669. [Google Scholar] [CrossRef]
- Niknam, R.; Kiani, H.; Mousavi, Z.E.; Mousavi, M. Extraction, Detection, and Characterization of Various Chemical Components of Trigonella foenum-graecum L. (Fenugreek) Known as a Valuable Seed in Agriculture. In Fenugreek; Naeem, M., Aftab, T., Khan, M.M.A., Eds.; Springer: Singapore, 2021; pp. 189–217. ISBN 978-981-16-1196-4. [Google Scholar]
- Akbari, S.; Abdurahman, N.H.; Yunus, R.M.; Alara, O.R.; Abayomi, O.O. Extraction, Characterization and Antioxidant Activity of Fenugreek (Trigonella-Foenum Graecum) Seed Oil. Mater. Sci. Energy Technol. 2019, 2, 349–355. [Google Scholar] [CrossRef]
- Srinivasa, U.M.; Naidu, M.M. Fenugreek (Trigonella foenum-graecum L.) Seed: Promising Source of Nutraceutical. In Studies in Natural Products Chemistry; Elsevier: Amsterdam, The Netherlands, 2021; Volume 71, pp. 141–184. ISBN 978-0-323-91095-8. [Google Scholar]
- Srinivasan, K. Fenugreek (Trigonella foenum-graecum): A Review of Health Beneficial Physiological Effects. Food Rev. Int. 2006, 22, 203–224. [Google Scholar] [CrossRef]
- Al-Timimi, L.A.N. Antibacterial and Anticancer Activities of Fenugreek Seed Extract. Asian Pac. J. Cancer Prev. 2019, 20, 3771–3776. [Google Scholar] [CrossRef]
- Duda-Madej, A.; Stecko, J.; Sobieraj, J.; Szymańska, N.; Kozłowska, J. Naringenin and Its Derivatives—Health-Promoting Phytobiotic against Resistant Bacteria and Fungi in Humans. Antibiotics 2022, 11, 1628. [Google Scholar] [CrossRef]
- Neelakantan, N.; Narayanan, M.; De Souza, R.J.; Van Dam, R.M. Effect of Fenugreek (Trigonella foenum-graecum L.) Intake on Glycemia: A Meta-Analysis of Clinical Trials. Nutr. J. 2014, 13, 7. [Google Scholar] [CrossRef] [PubMed]
- Bashir, A.; Nabi, M.; Tabassum, N.; Afzal, S.; Ayoub, M. An Updated Review on Phytochemistry and Molecular Targets of Withania somnifera (L.) Dunal (Ashwagandha). Front. Pharmacol. 2023, 14, 1049334. [Google Scholar] [CrossRef] [PubMed]
- Di Genova, B.M.; Tonelli, R.R. Infection Strategies of Intestinal Parasite Pathogens and Host Cell Responses. Front. Microbiol. 2016, 7, 256. [Google Scholar] [CrossRef] [PubMed]
- Lüder, C.G.; Campos-Salinas, J.; Gonzalez-Rey, E.; Van Zandbergen, G. Impact of Protozoan Cell Death on Parasite-Host Interactions and Pathogenesis. Parasit. Vectors 2010, 3, 116. [Google Scholar] [CrossRef] [PubMed]
- Alanazi, H.H.; Elfaki, E. The Immunomodulatory Role of Withania somnifera (L.) Dunal in Inflammatory Diseases. Front. Pharmacol. 2023, 14, 1084757. [Google Scholar] [CrossRef] [PubMed]
- Verma, D.K.; Hasan, A.; Rengaraju, M.; Devi, S.; Sharma, G.; Narayanan, V.; Parameswaran, S.; Kumar, D.T.; Kadarkarai, K.; Sunil, S. Evaluation of Withania somnifera Based Supplement for Immunomodulatory and Antiviral Properties against Viral Infection. J. Ayurveda Integr. Med. 2024, 15, 100955. [Google Scholar] [CrossRef]
- Abdoul-Azize, S. Potential Benefits of Jujube (Zizyphus lotus L.) Bioactive Compounds for Nutrition and Health. J. Nutr. Metab. 2016, 2016, 1–13. [Google Scholar] [CrossRef]
- Abcha, I.; Ben Haj Said, L.; Salmieri, S.; Criado, P.; Neffati, M.; Lacroix, M. Optimization of Extraction Parameters, Characterization and Assessment of Bioactive Properties of Ziziphus lotus Fruit Pulp for Nutraceutical Potential. Eur. Food Res. Technol. 2021, 247, 2193–2209. [Google Scholar] [CrossRef]
- Hammi, K.M.; Essid, R.; Khadraoui, N.; Ksouri, R.; Majdoub, H.; Tabbene, O. Antimicrobial, Antioxidant and Antileishmanial Activities of Ziziphus lotus Leaves. Arch. Microbiol. 2022, 204, 119. [Google Scholar] [CrossRef]
- Benali, T.; Bakrim, S.; Ghchime, R.; Benkhaira, N.; El Omari, N.; Balahbib, A.; Taha, D.; Zengin, G.; Hasan, M.M.; Bibi, S.; et al. Pharmacological Insights into the Multifaceted Biological Properties of Quinic Acid. Biotechnol. Genet. Eng. Rev. 2022, 40, 3408–3437. [Google Scholar] [CrossRef]
- Marmouzi, I.; Kharbach, M.; El Jemli, M.; Bouyahya, A.; Cherrah, Y.; Bouklouze, A.; Vander Heyden, Y.; Faouzi, M.E.A. Antidiabetic, Dermatoprotective, Antioxidant and Chemical Functionalities in Zizyphus lotus Leaves and Fruits. Ind. Crops Prod. 2019, 132, 134–139. [Google Scholar] [CrossRef]
- García-Sánchez, A.; Miranda-Díaz, A.G.; Cardona-Muñoz, E.G. The Role of Oxidative Stress in Physiopathology and Pharmacological Treatment with Pro- and Antioxidant Properties in Chronic Diseases. Oxid. Med. Cell. Longev. 2020, 2020, 1–16. [Google Scholar] [CrossRef] [PubMed]
- Pérez-Torres, I.; Guarner-Lans, V.; Rubio-Ruiz, M.E. Reductive Stress in Inflammation-Associated Diseases and the Pro-Oxidant Effect of Antioxidant Agents. Int. J. Mol. Sci. 2017, 18, 2098. [Google Scholar] [CrossRef] [PubMed]
- Annaz, H.; Sane, Y.; Bitchagno, G.T.M.; Ben Bakrim, W.; Drissi, B.; Mahdi, I.; El Bouhssini, M.; Sobeh, M. Caper (Capparis spinosa L.): An Updated Review on Its Phytochemistry, Nutritional Value, Traditional Uses, and Therapeutic Potential. Front. Pharmacol. 2022, 13, 878749. [Google Scholar] [CrossRef] [PubMed]
- Al-Ayed, M.S.Z.; Asaad, A.M.; Qureshi, M.A.; Attia, H.G.; AlMarrani, A.H. Antibacterial Activity of Salvadora persica L. (Miswak) Extracts against Multidrug Resistant Bacterial Clinical Isolates. Evid.-Based Complement. Altern. Med. 2016; 2016, 7083964. [Google Scholar] [CrossRef]
- Naili, M.B.; Alghazeer, R.O.; Saleh, N.A.; Al-Najjar, A.Y. Evaluation of Antibacterial and Antioxidant Activities of Artemisia campestris (Astraceae) and Ziziphus lotus (Rhamnacea). Arab. J. Chem. 2010, 3, 79–84. [Google Scholar] [CrossRef]
- Christensen, R.; Bartels, E.M.; Altman, R.D.; Astrup, A.; Bliddal, H. Does the Hip Powder of Rosa canina (Rosehip) Reduce Pain in Osteoarthritis Patients?—A Meta-Analysis of Randomized Controlled Trials. Osteoarthr. Cartil. 2008, 16, 965–972. [Google Scholar] [CrossRef]
- Ali, N.B.; Abdelhamid Ibrahim, S.S.; Alsherbiny, M.A.; Sheta, E.; El-Shiekh, R.A.; Ashour, R.M.; El-Gazar, A.A.; Ragab, G.M.; El-Gayed, S.H.; Li, C.G.; et al. Gastroprotective Potential of Red Onion (Allium cepa L.) Peel in Ethanol-Induced Gastric Injury in Rats: Involvement of Nrf2/HO-1 and HMGB-1/NF-κB Trajectories. J. Ethnopharmacol. 2024, 319, 117115. [Google Scholar] [CrossRef] [PubMed]
- Guillamón, E.; Andreo-Martínez, P.; Mut-Salud, N.; Fonollá, J.; Baños, A. Beneficial Effects of Organosulfur Compounds from Allium cepa on Gut Health: A Systematic Review. Foods 2021, 10, 1680. [Google Scholar] [CrossRef]
- Dorrigiv, M.; Zareiyan, A.; Hosseinzadeh, H. Onion (Allium cepa) and Its Main Constituents as Antidotes or Protective Agents against Natural or Chemical Toxicities: A Comprehensive Review. Iran. J. Pharm. Res. 2021, 20, 3. [Google Scholar] [CrossRef]
- Khajah, M.A.; Orabi, K.Y.; Hawai, S.; Sary, H.G.; EL-Hashim, A.Z. Onion Bulb Extract Reduces Colitis Severity in Mice via Modulation of Colonic Inflammatory Pathways and the Apoptotic Machinery. J. Ethnopharmacol. 2019, 241, 112008. [Google Scholar] [CrossRef] [PubMed]
- Kumar, K.R.; Shaik, A.; Gopal, J.V.; Raveesha, P. Evaluation of Antidiarrhoeal Activity of Aqueous Bulb Extract of Allium cepa against Castor Oil-Induced Diarrhoea. Int. J. Herb. Med. 2013, 1, 64–67. [Google Scholar]
- Shang, A.; Cao, S.-Y.; Xu, X.-Y.; Gan, R.-Y.; Tang, G.-Y.; Corke, H.; Mavumengwana, V.; Li, H.-B. Bioactive Compounds and Biological Functions of Garlic (Allium sativum L.). Foods 2019, 8, 246. [Google Scholar] [CrossRef] [PubMed]
- Abidullah, M.; Jadhav, P.; Sujan, S.S.; Shrimanikandan, A.G.; Reddy, C.R.; Wasan, R.K. Potential Antibacterial Efficacy of Garlic Extract on Staphylococcus aureus, Escherichia coli, and Klebsiella pneumoniae: An In Vitro Study. J. Pharm. Bioallied Sci. 2021, 13, S590–S594. [Google Scholar] [CrossRef] [PubMed]
- Rajendrasozhan, S. Antioxidant, Antibacterial and Antiviral Effect of the Combination of Ginger and Garlic Extracts. Bioinformation 2024, 20, 11–17. [Google Scholar] [CrossRef] [PubMed]
- Zhao, J.; Fan, Y.; Cheng, Z.; Kennelly, E.J.; Long, C. Ethnobotanical Uses, Phytochemistry and Bioactivities of Cymbopogon Plants: A Review. J. Ethnopharmacol. 2024, 330, 118181. [Google Scholar] [CrossRef] [PubMed]
- Gomes, E.; Bernardo, J.; Barbosa, M.; Andrade, P.B.; Valentão, P.; Lopes, G. Ethnopharmacological Use of Cymbopogon citratus (DC.) Stapf and Cymbopogon schoenanthus (L.) Spreng.: Anti-Inflammatory Potential of Phenol-Rich Extracts: PS129. Porto Biomed. J. 2017, 2, 216–217. [Google Scholar] [CrossRef]
- Bossou, A.F.A.D.; Bogninou, G.S.R.; Agbangnan Dossa, C.P.; Yedomonhan, H.; Avlessi, F.; Sohounhloué, D.K.C. Volatile profiles and biological properties of Cymbopogon citratus, Cymbopogon giganteus, Cymbopogon shoenanthus, and their isolated compounds: A review. J. Biomed. Pharm. Res. 2020, 9, 22–32. [Google Scholar] [CrossRef][Green Version]
- Tibenda, J.J.; Yi, Q.; Wang, X.; Zhao, Q. Review of Phytomedicine, Phytochemistry, Ethnopharmacology, Toxicology, and Pharmacological Activities of Cymbopogon Genus. Front. Pharmacol. 2022, 13, 997918. [Google Scholar] [CrossRef]
- Sultana, S.; Khosru, K.H. Analgesic and Antidiarrhoeal Activities of Lawsonia inermis. Int. J. Pharm. Sci. Res. 2011, 2, 3183–3188. [Google Scholar]
- Goswami, M.; Kulshreshtha, M.; Rao, C.V.; Yadav, S.; Yadav, S. Anti-Ulcer Potential of Lawsonia inermis L. Leaves against Gastric Ulcers in Rats. J. Appl. Pharm. Sci. 2011, 1, 69–72. [Google Scholar]
- Mohammed, D.M.; Ahmed, K.A.; Desoukey, M.A.; Sabry, B.A. Assessment of the Antiulcer Properties of Lawsonia inermis L. Leaves and Its Nano-Formulation against Prolonged Effect of Acute Ulcer in Rats. Toxicol. Rep. 2022, 9, 337–345. [Google Scholar] [CrossRef] [PubMed]
- Trigui, M.; Ben Hsouna, A.; Hammami, I.; Culioli, G.; Ksantini, M.; Tounsi, S.; Jaoua, S. Efficacy of Lawsonia inermis Leaves Extract and Its Phenolic Compounds against Olive Knot and Crown Gall Diseases. Crop Prot. 2013, 45, 83–88. [Google Scholar] [CrossRef]
- Batiha, G.E.-S.; Teibo, J.O.; Shaheen, H.M.; Babalola, B.A.; Teibo, T.K.A.; Al-kuraishy, H.M.; Al-Garbeeb, A.I.; Alexiou, A.; Papadakis, M. Therapeutic Potential of Lawsonia inermis Linn: A Comprehensive Overview. Naunyn-Schmiedeberg’s Arch. Pharmacol. 2024, 397, 3525–3540. [Google Scholar] [CrossRef] [PubMed]
- Albrecht, U.; Müller, V.; Schneider, B.; Stange, R. Efficacy and Safety of a Herbal Medicinal Product Containing Myrrh, Chamomile and Coffee Charcoal for the Treatment of Gastrointestinal Disorders: A Non-Interventional Study. BMJ Open Gastroenterol. 2014, 1, e000015. [Google Scholar] [CrossRef] [PubMed]
- Srivastava, J.K.; Shankar, E.; Gupta, S. Gupta Chamomile: A Herbal Medicine of the Past with a Bright Future (Review). Mol. Med. Rep. 2010, 3, 895–901. [Google Scholar] [CrossRef] [PubMed]
- Al-Hashem, F.H. Gastroprotective Effects of Aqueous Extract of Chamomilla recutita against Ethanol-Induced Gastric Ulcers. Saudi Med. J. 2010, 31, 1211–1216. [Google Scholar] [PubMed]
- Bezerra, S.B.; Leal, L.K.A.M.; Nogueira, N.A.P.; Campos, A.R. Bisabolol-Induced Gastroprotection Against Acute Gastric Lesions: Role of Prostaglandins, Nitric Oxide, and K+ATP Channels. J. Med. Food 2009, 12, 1403–1406. [Google Scholar] [CrossRef] [PubMed]
- Jarmakiewicz-Czaja, S.; Zielińska, M.; Helma, K.; Sokal, A.; Filip, R. Effect of Nigella Sativa on Selected Gastrointestinal Diseases. Curr. Issues Mol. Biol. 2023, 45, 3016–3034. [Google Scholar] [CrossRef]
- Alizadeh-naini, M.; Yousefnejad, H.; Hejazi, N. The Beneficial Health Effects of Nigella sativa on Helicobacter pylori Eradication, Dyspepsia Symptoms, and Quality of Life in Infected Patients: A Pilot Study. Phytother. Res. 2020, 34, 1367–1376. [Google Scholar] [CrossRef] [PubMed]
- Yousefnejad, H.; Mohammadi, F.; Alizadeh-naini, M.; Hejazi, N. Nigella sativa Powder for Helicobacter Pylori Infected Patients: A Randomized, Double-Blinded, Placebo-Controlled Clinical Trial. BMC Complement. Med. Ther. 2023, 23, 123. [Google Scholar] [CrossRef]
- Shakeri, F.; Gholamnezhad, Z.; Mégarbane, B.; Rezaee, R.; Boskabady, M.H. Gastrointestinal Effects of Nigella sativa and Its Main Constituent, Thymoquinone: A Review. Avicenna J. Phytomedicine 2016, 6, 9–20. [Google Scholar]
- Tayman, C.; Cekmez, F.; Kafa, I.M.; Canpolat, F.E.; Cetinkaya, M.; Uysal, S.; Tunc, T.; Sarıcı, S.U. Beneficial Effects of Nigella sativa Oil on Intestinal Damage in Necrotizing Enterocolitis. J. Investig. Surg. 2012, 25, 286–294. [Google Scholar] [CrossRef] [PubMed]
- Bagherzadeh Karimi, A.; Elmi, A.; Zargaran, A.; Mirghafourvand, M.; Fazljou, S.M.B.; araj-Khodaei, M.; Baghervand Navid, R. Clinical Effects of Date Palm (Phoenix dactylifera L.): A Systematic Review on Clinical Trials. Complement. Ther. Med. 2020, 51, 102429. [Google Scholar] [CrossRef] [PubMed]
- Eid, N.; Osmanova, H.; Natchez, C.; Walton, G.; Costabile, A.; Gibson, G.; Rowland, I.; Spencer, J.P.E. Impact of Palm Date Consumption on Microbiota Growth and Large Intestinal Health: A Randomised, Controlled, Cross-over, Human Intervention Study. Br. J. Nutr. 2015, 114, 1226–1236. [Google Scholar] [CrossRef] [PubMed]
- Camilleri, E.; Blundell, R.; Cuschieri, A. Deciphering the Anti-Constipation Characteristics of Palm Dates (Phoenix dactylifera): A Review. Int. J. Food Prop. 2023, 26, 65–80. [Google Scholar] [CrossRef]
- Al-Qarawi, A.A.; Abdel-Rahman, H.; Ali, B.H.; Mousa, H.M.; El-Mougy, S.A. The Ameliorative Effect of Dates (Phoenix dactylifera L.) on Ethanol-Induced Gastric Ulcer in Rats. J. Ethnopharmacol. 2005, 98, 313–317. [Google Scholar] [CrossRef]
- Shao, G.; Liu, Y.; Lu, L.; Wang, L.; Ji, G.; Xu, H. Therapeutic Potential of Traditional Chinese Medicine in the Prevention and Treatment of Digestive Inflammatory Cancer Transformation: Portulaca oleracea L. as a Promising Drug. J. Ethnopharmacol. 2024, 327, 117999. [Google Scholar] [CrossRef]
- Bang, K.B.; Choi, J.H.; Park, J.H.; Lee, S.; Rho, M.-C.; Lee, S.W.; Lee, S.; Shin, J.E. Effect of Portulaca oleracea L. Extract on Functional Constipation: A Randomized, Double-Blind, Placebo-Controlled Trial. Saudi J. Gastroenterol. 2022, 28, 296–303. [Google Scholar] [CrossRef] [PubMed]
- Zhang, Z.; Qiao, D.; Zhang, Y.; Chen, Q.; Chen, Y.; Tang, Y.; Que, R.; Chen, Y.; Zheng, L.; Dai, Y.; et al. Portulaca oleracea L. Extract Ameliorates Intestinal Inflammation by Regulating Endoplasmic Reticulum Stress and Autophagy. Mol. Nutr. Food Res. 2022, 66, 2100791. [Google Scholar] [CrossRef]
- Iranshahy, M.; Javadi, B.; Iranshahi, M.; Jahanbakhsh, S.P.; Mahyari, S.; Hassani, F.V.; Karimi, G. A Review of Traditional Uses, Phytochemistry and Pharmacology of Portulaca oleracea L. J. Ethnopharmacol. 2017, 205, 158–172. [Google Scholar] [CrossRef]
- Kim, Y.; Lim, H.J.; Jang, H.-J.; Lee, S.; Jung, K.; Lee, S.W.; Lee, S.-J.; Rho, M.-C. Portulaca oleracea Extracts and Their Active Compounds Ameliorate Inflammatory Bowel Diseases in Vitro and in Vivo by Modulating TNF-α, IL-6 and IL-1β Signalling. Food Res. Int. 2018, 106, 335–343. [Google Scholar] [CrossRef]
- Lebda, M.A.; El-Far, A.H.; Noreldin, A.E.; Elewa, Y.H.A.; Al Jaouni, S.K.; Mousa, S.A. Protective Effects of Miswak (Salvadora persica) against Experimentally Induced Gastric Ulcers in Rats. Oxid. Med. Cell. Longev. 2018, 2018, 6703296. [Google Scholar] [CrossRef] [PubMed]
- Filimban, W.; ElSawy, N.; Header, E.A.; El-Boshy, M. Evaluation of Aqueous Extract of Salvadora persica and Glycyrrhiza glabra in Treatment of Gastric Ulcer. Jokull J. 2015, 65, 275–293. [Google Scholar]
- Ahmad, H.; Ahamed, N.; Dar, J.M.; Mohammad, U.J. Ethnobotany, Pharmacology and Chemistry of Salvadora persica L. A Review. Res. Plant Biol. 2012, 2, 22–31. [Google Scholar]
- Rawat, A.; Upadhyay, M.; Singh, O. Exploring the Pharmacological Potential and Traditional Use of Solanum lycopersicum L. (Tomato): A Review. J. Pharmacogn. Phytochem. 2024, 13, 768–771. [Google Scholar] [CrossRef]
- Jiang, C.; Shao, Y. The Effects of Specific Vegetable Subtypes on Constipation Incidence in the General United States Population. Front. Nutr. 2024, 11, 1403636. [Google Scholar] [CrossRef] [PubMed]
- Zarghi, A.; Haddadi, M.; Tabarraie, Y.; Movahedzadeh, D.; Ghobadi, F.; Sarpooshi, H.R. Effect of Fenugreek (Trigonella foenum-graceum L.) Seeds Powder on Gastrointestinal Bleeding in Mechanically Ventilated Patients: A Double-Blind, Randomized Controlled Clinical Trial. J. Tradit. Chin. Med. Sci. 2021, 8, 150–154. [Google Scholar] [CrossRef]
- Selmi, S.; Alimi, D.; Rtibi, K.; Jedidi, S.; Grami, D.; Marzouki, L.; Hosni, K.; Sebai, H. Gastroprotective and Antioxidant Properties of Trigonella foenum graecum Seeds Aqueous Extract (Fenugreek) and Omeprazole Against Ethanol-Induced Peptic Ulcer. J. Med. Food 2022, 25, 513–522. [Google Scholar] [CrossRef] [PubMed]
- Singaravelu, S.; Sankarapillai, J.; Chandrakumari, A.S.; Sinha, P. Effect of Trigonella foenum gracecum (Fenugreek) Seed Extract in Experimentally Induced Gastric Ulcer in Wistar Rats. Pharmacogn. J. 2018, 10, 1169–1173. [Google Scholar] [CrossRef]
- Kheirandish, R.; Azari, O.; Samadieh, H.; Rasa, Z. Protective Effect of Trigonella foenum graecum (Fenugreek) Seed Extract on Experimental Intestinal Ischemia/Reperfusion Injury in Rats. Iran. J. Vet. Surg. 2011, 06, 37–46. [Google Scholar]
- Punukollu, R.S.; Chadalawada, A.K.; Siddabattuni, K.; Gogineni, N.T. A Blend of Withania somnifera (L.) Dunal Root and Abelmoschus esculentus (L.) Moench Fruit Extracts Relieves Constipation and Improves Bowel Function: A Proof-of-Concept Clinical Investigation. J. Ethnopharmacol. 2024, 318, 116997. [Google Scholar] [CrossRef]
- Pawar, P.; Gilda, S.; Sharma, S.; Jagtap, S.; Paradkar, A.; Mahadik, K.; Ranjekar, P.; Harsulkar, A. Rectal Gel Application of Withania somnifera Root Extract Expounds Anti-Inflammatory and Muco-Restorative Activity in TNBS-Induced Inflammatory Bowel Disease. BMC Complement. Altern. Med. 2011, 11, 34. [Google Scholar] [CrossRef] [PubMed]
- Singh, G.; Dixit, I.; Kalman, D.; Gogineni, N.T. A Novel Herbal Composition Alleviates Functional Constipation, Reduces Gastrointestinal Transit Time, and Improves Bowel Function in Adults: A Double-Blind, Randomized Clinical Study. J. Am. Nutr. Assoc. 2024, 43, 553–566. [Google Scholar] [CrossRef] [PubMed]
- Bekkar, N.E.H.; Bouabsa, F.; Meddah, B.; Keskin, B.; Cakmak, Y.S.; Tou, A. Acute Toxicity and Therapeutic Application of Zizyphus lotus and Ruta chalepensis Phenolic Extracts in Treatment of Gastroenteritis Induced by Salmonella enterica subsp. Arizonae. Acta Biol. Szeged. 2023, 67, 123–144. [Google Scholar] [CrossRef]
- Wahida, B.; Abderrahman, B.; Nabil, C. Antiulcerogenic Activity of Zizyphus lotus (L.) Extracts. J. Ethnopharmacol. 2007, 112, 228–231. [Google Scholar] [CrossRef] [PubMed]
- Agrawal, P.; Singh, T.; Pathak, D.; Chopra, H. An Updated Review of Ziziphus jujube: Major Focus on Its Phytochemicals and Pharmacological Properties. Pharmacol. Res.—Mod. Chin. Med. 2023, 8, 100297. [Google Scholar] [CrossRef]
- Mesmar, J.; Abdallah, R.; Badran, A.; Maresca, M.; Shaito, A.; Baydoun, E. Ziziphus nummularia: A Comprehensive Review of Its Phytochemical Constituents and Pharmacological Properties. Molecules 2022, 27, 4240. [Google Scholar] [CrossRef]
- Hani, A.F.; Zaouani, M.; Mimoune, N.; Ainouz, L.; Djellout, B.; Remichi, H.; Boudjellaba, S.; Bouchoucha, A. Evaluation of Anti-Inflammatory and Anti-Diarrhoeal Activity of Leaf Aqueous Extracts of Zizyphus lotus (L) in Albino Wistar Rats. Bull. Univ. Agric. Sci. Vet. Med. Cluj-Napoca Vet. Med. 2020, 77, 53–60. [Google Scholar] [CrossRef]
- Sakna, S.T.; Maghraby, Y.R.; Abdelfattah, M.S.; Farag, M.A. Phytochemical Diversity and Pharmacological Effects of Triterpenes from Genus Ziziphus: A Comprehensive Review. Phytochem. Rev. 2023, 22, 1611–1636. [Google Scholar] [CrossRef]



| Medicinal Plant (Used Part) | Activity Against Pathogens | References | |||||||||
|---|---|---|---|---|---|---|---|---|---|---|---|
| S. aureus | E. coli | C. albicans | MRSA | B. cereus | K. pneumoniae | S. mutans | E. faecalis | L. monocytogenes | P. aeruginosa | ||
| A. cepa (onion) (onion peel) | + | − | − | − | − | − | − | − | − | − | [15] |
| A. sativum (garlic) (Pulp) | + | + | + | + | − | − | − | − | + | + | [81] |
| Capparis spinosa (fruit flower, stem, shoots roots) | + | + | − | − | − | − | − | − | − | − | [163] |
| C. schoenanthus (lemongrass) (methanolic extract) | + | + | − | + | + | − | − | − | − | − | [37,98] |
| L. inermis (henna) (leaves, juice of leaves, oil extract) | + | + | + | − | − | + | − | − | − | − | [105] |
| M. aurea (golden chamomile) (EO from M. aurea) | + | − | − | − | − | − | − | − | − | + | [109] |
| P. dactylifera
(date palm) (palm fruit) | + | + | + | − | + | − | − | − | − | − | [121] |
| P. oleracea (purslane) (roots) | + | + | + | − | − | + | − | + | − | + | [127] |
| R. tingitana
(poppy-leaved) (shoot extract) | + | + | − | − | + | − | − | − | − | − | [47] |
| S. persica
miswak) (roots, twigs, or stems) | + | − | − | − | − | − | + | + | − | − | [52,164] |
| S. lycopersicum
(tomato) (fruit) | + | − | − | − | − | − | − | − | − | − | [141] |
| Trigonella
(fenugreek) (seeds) | + | + | − | − | − | − | − | − | − | + | [35,61,62] |
| W. somnifera
(ashwagandha) (fruits, leaves, roots) | + | + | + | − | − | − | − | − | − | + | [67,69] |
| Z. lotus
(sedra) (leaves, branches, fruit and root and stem barks) | + | + | − | + | − | − | − | − | + | + | [70,72,165] |
| Pathogen | Point Estimate | 95% Confidence Interval | p-Value | |
|---|---|---|---|---|
| Lower | Upper | |||
| B. cereus | 0.207 | 0.000 | 0.240 | 0.872 ns |
| C. albicans | 0.322 | 0.056 | 0.372 | 0.553 ns |
| E. coli | 0.127 | 0.000 | 0.132 | 0.005 ** |
| E. faecalis | 0.118 | 0.000 | 0.117 | <0.001 *** |
| K. pneumoniae | 0.230 | 0.000 | 0.269 | 0.123 ns |
| L. monocytogenes | 0.303 | 0.039 | 0.352 | 0.069 ns |
| MRSA | 0.671 | 0.482 | 0.709 | <0.001 *** |
| P. aeruginosa | 0.591 | 0.369 | 0.636 | 0.626 ns |
| S. aureus | 0.082 | 0.000 | 0.054 | 0.009 ** |
| S. mutans | 0.392 | 0.126 | 0.445 | <0.001 ** |
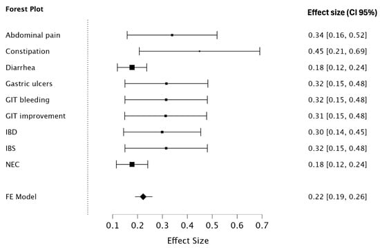
| Disease | ES (Eta Squared) | SE | 95% Confidence Interval | (p-Value) | |
|---|---|---|---|---|---|
| Lower | Upper | ||||
| Abdominal pain | 0.339 | 0.092 | 0.0 | 0.361 | 0.348 ns |
| Constipation | 0.449 | 0.123 | 0.0 | 0.484 | 0.135 ns |
| Diarrhea | 0.178 | 0.030 | 0.0 | 0.118 | 0.858 ns |
| Gastric ulcers | 0.316 | 0.085 | 0.0 | 0.333 | 0.412 ns |
| GIT bleeding | 0.315 | 0.084 | 0.0 | 0.331 | 0.416 ns |
| GIT improvement | 0.313 | 0.084 | 0.0 | 0.329 | 0.422 ns |
| IBD | 0.299 | 0.079 | 0.0 | 0.310 | 0.465 ns |
| IBS | 0.315 | 0.084 | 0.0 | 0.331 | 0.416 ns |
| NEC | 0.178 | 0.032 | 0.0 | 0.126 | 0.845 ns |
Disclaimer/Publisher’s Note: The statements, opinions and data contained in all publications are solely those of the individual author(s) and contributor(s) and not of MDPI and/or the editor(s). MDPI and/or the editor(s) disclaim responsibility for any injury to people or property resulting from any ideas, methods, instructions or products referred to in the content. |
© 2025 by the authors. Licensee MDPI, Basel, Switzerland. This article is an open access article distributed under the terms and conditions of the Creative Commons Attribution (CC BY) license (https://creativecommons.org/licenses/by/4.0/).
Share and Cite
Almasri, R.S.; Bedir, A.S.; Al Raish, S.M. Comprehensive Ethnopharmacological Analysis of Medicinal Plants in the UAE: Lawsonia inermis, Nigella sativa, Ziziphus spina-christi, Allium cepa, Allium sativum, Cymbopogon schoenanthus, Matricaria aurea, Phoenix dactylifera, Portulaca oleracea, Reichardia tingitana, Salvadora persica, Solanum lycopersicum, Trigonella foenum-graecum, Withania somnifera, and Ziziphus lotus. Nutrients 2025, 17, 411. https://doi.org/10.3390/nu17030411
Almasri RS, Bedir AS, Al Raish SM. Comprehensive Ethnopharmacological Analysis of Medicinal Plants in the UAE: Lawsonia inermis, Nigella sativa, Ziziphus spina-christi, Allium cepa, Allium sativum, Cymbopogon schoenanthus, Matricaria aurea, Phoenix dactylifera, Portulaca oleracea, Reichardia tingitana, Salvadora persica, Solanum lycopersicum, Trigonella foenum-graecum, Withania somnifera, and Ziziphus lotus. Nutrients. 2025; 17(3):411. https://doi.org/10.3390/nu17030411
Chicago/Turabian StyleAlmasri, Razan S., Alaa S. Bedir, and Seham M. Al Raish. 2025. "Comprehensive Ethnopharmacological Analysis of Medicinal Plants in the UAE: Lawsonia inermis, Nigella sativa, Ziziphus spina-christi, Allium cepa, Allium sativum, Cymbopogon schoenanthus, Matricaria aurea, Phoenix dactylifera, Portulaca oleracea, Reichardia tingitana, Salvadora persica, Solanum lycopersicum, Trigonella foenum-graecum, Withania somnifera, and Ziziphus lotus" Nutrients 17, no. 3: 411. https://doi.org/10.3390/nu17030411
APA StyleAlmasri, R. S., Bedir, A. S., & Al Raish, S. M. (2025). Comprehensive Ethnopharmacological Analysis of Medicinal Plants in the UAE: Lawsonia inermis, Nigella sativa, Ziziphus spina-christi, Allium cepa, Allium sativum, Cymbopogon schoenanthus, Matricaria aurea, Phoenix dactylifera, Portulaca oleracea, Reichardia tingitana, Salvadora persica, Solanum lycopersicum, Trigonella foenum-graecum, Withania somnifera, and Ziziphus lotus. Nutrients, 17(3), 411. https://doi.org/10.3390/nu17030411

