Neuroprotective Effects of Mushroom Biomass Digestive Fractions and Gut Microbiota Metabolites in Microglial and Caenorhabditis elegans Models of Neurodegeneration
Abstract
1. Introduction
2. Materials and Methods
2.1. Chemicals
2.2. Mushroom Biomass (MB) Samples
2.3. Fractions Resultant from the Simulated Digestive Process
2.4. Human Microglia Clone 3—(HMC3) Cell Line Assays
2.4.1. Human Microglia Clone 3 (HMC3) Cell Line Maintenance
2.4.2. Cell Viability Analysis
2.4.3. ROS Production
2.5. Caenorhabditis Elegans Assays
2.5.1. Strains Selection
2.5.2. Preparation of Nematode Growth Medium (NGM) Petri Plates and Bacterial Food Sources
2.5.3. C. elegans Maintenance and Age-Synchronization
2.5.4. Chemotaxis Assay with BR5270 and BR5271 Strains
2.5.5. Chemotaxis Assay with CL2355 and CL2122 Strains
2.5.6. Paralysis Assay
2.6. Statistical Analysis
3. Results and Discussion
3.1. Mushroom Biomass (MB) Antioxidant Potential and Impact of Gastrointestinal Tract Simulation
3.2. Microglia Cell-Based Assays with HMC3 Cells
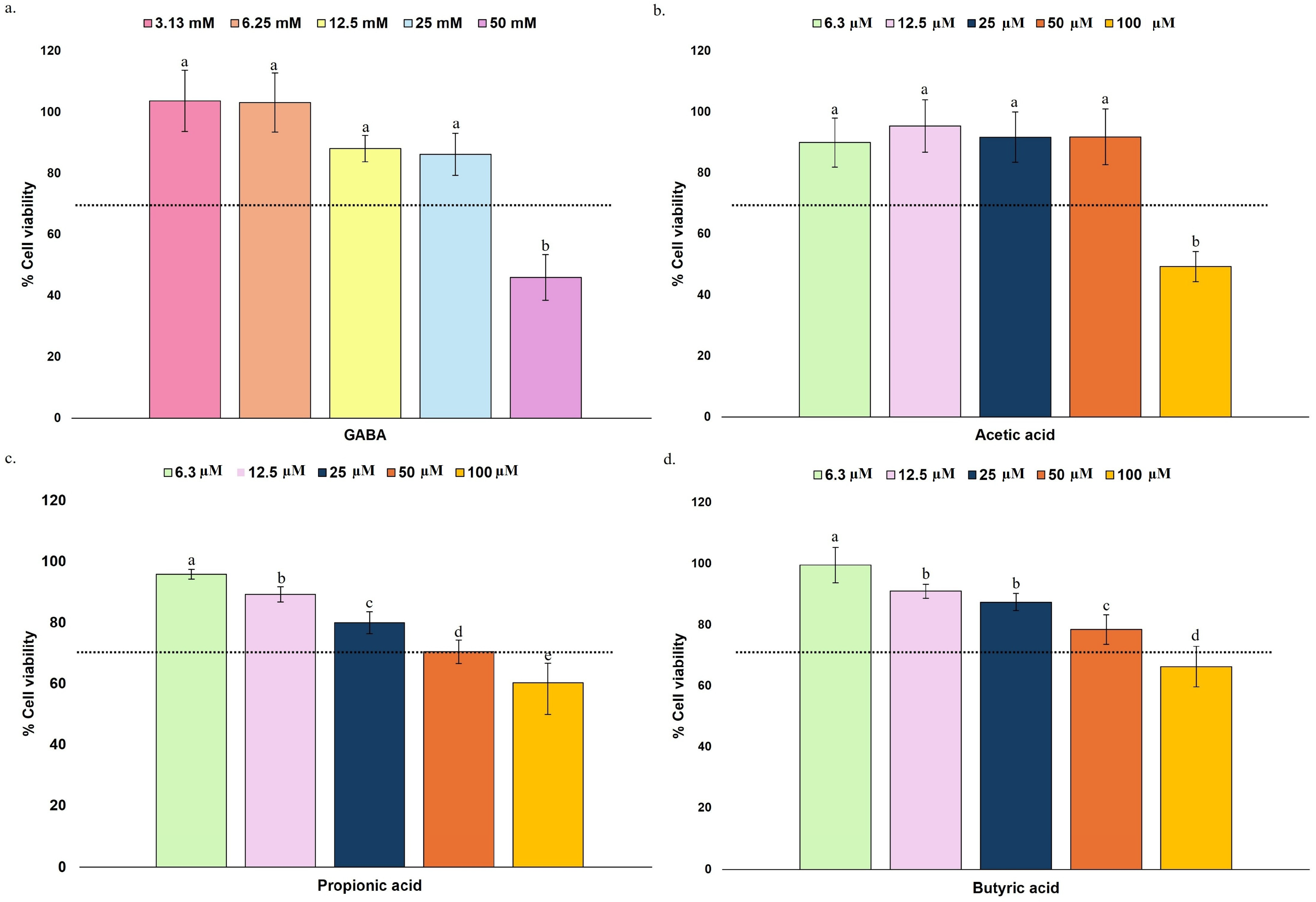
3.2.1. Cell Viability
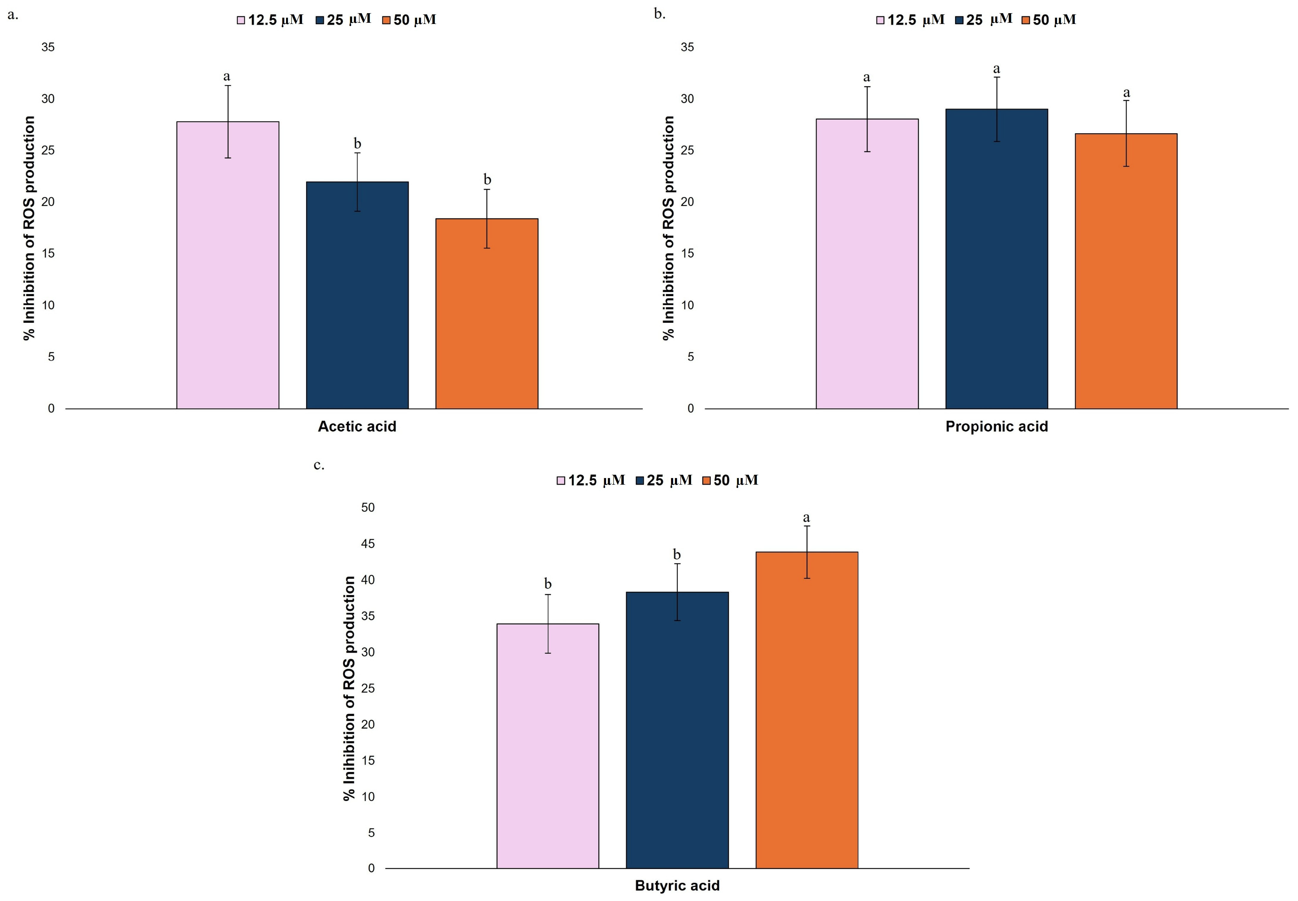
3.2.2. Impact of Different Treatments on ROS Production
3.3. Caenorhabditis Elegans-Based Assays
3.3.1. Impact of Different Treatments and Concentrations on Neuronal Tau Expression-Induced Defects in Chemotaxis Behavior
Gut Microbiota Metabolites
Simulated Digestive Fraction of Mushroom Biomasses
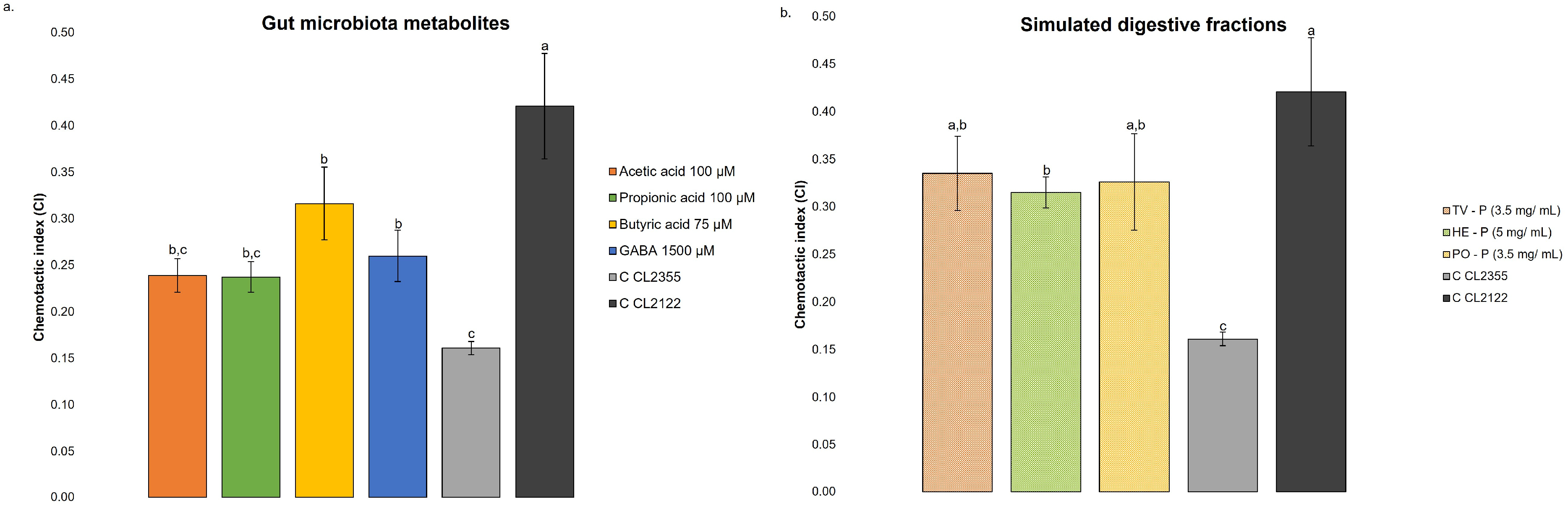
3.3.2. Impact of Gut Microbiota Metabolites and Simulated Digestive Fractions on Neuronal Aβ Expression-Induced Defects in Chemotaxis Behavior
3.3.3. Impact of Gut Microbiota Metabolites and Simulated Digestive Fractions on Body Paralysis in the CL4176 Strain
3.4. Result Integration
4. Conclusions
Author Contributions
Funding
Institutional Review Board Statement
Informed Consent Statement
Data Availability Statement
Acknowledgments
Conflicts of Interest
References
- Zhang, C. Etiology of Alzheimer’ s Disease. Discov. Med. 2023, 35, 757–776. [Google Scholar] [CrossRef]
- Dash, U.C.; Bhol, N.K.; Swain, S.K.; Samal, R.R.; Nayak, P.K.; Raina, V.; Panda, S.K.; Kerry, R.G.; Duttaroy, A.K.; Jena, A.B. Oxidative stress and inflammation in the pathogenesis of neurological disorders: Mechanisms and implications. Acta Pharm. Sin. B 2025, 15, 15–34. [Google Scholar] [CrossRef]
- Castellano, J.M.; Garcia-Rodriguez, S.; Espinosa, J.M.; Millan-Linares, M.C.; Rada, M.; Perona, J.S. Oleanolic Acid Exerts a Neuroprotective Effect Against Microglial Cell Activation by Modulating Cytokine Release and Antioxidant Defense Systems. Biomolecules 2019, 9, 683. [Google Scholar] [CrossRef]
- Simpson, D.S.A.; Oliver, P.L. ROS Generation in Microglia: Understanding Oxidative Stress and Inflammation in Neurodegenerative Disease. Antioxidants 2020, 9, 743. [Google Scholar] [CrossRef]
- Dalile, B.; Van Oudenhove, L.; Vervliet, B.; Verbeke, K. The role of short-chain fatty acids in microbiota–gut–brain communication. Nat. Rev. Gastroenterol. Hepatol. 2019, 16, 461–478. [Google Scholar] [CrossRef] [PubMed]
- Mitrea, L.; Nemeş, S.A.; Szabo, K.; Teleky, B.E.; Vodnar, D.C. Guts Imbalance Imbalances the Brain: A Review of Gut Microbiota Association With Neurological and Psychiatric Disorders. Front. Med. 2022, 9, 813204. [Google Scholar] [CrossRef]
- Sochocka, M.; Donskow-Łysoniewska, K.; Diniz, B.S.; Kurpas, D.; Brzozowska, E.; Leszek, J. The Gut Microbiome Alterations and Inflammation-Driven Pathogenesis of Alzheimer’s Disease—A Critical Review. Mol. Neurobiol. 2019, 56, 1841–1851. [Google Scholar] [CrossRef] [PubMed]
- Tuigunov, D.; Sinyavskiy, Y.; Nurgozhin, T.; Zholdassova, Z.; Smagul, G.; Omarov, Y.; Dolmatova, O.; Yeshmanova, A.; Omarova, I. Precision Nutrition and Gut–Brain Axis Modulation in the Prevention of Neurodegenerative Diseases. Nutrients 2025, 17, 3068. [Google Scholar] [CrossRef] [PubMed]
- Araújo-Rodrigues, H.; Sofia Sousa, A.; Pintado, M.E. Chapter 6. Macromolecules in Fungi with Pharmaceutical Potential. In Edible Fungi: Chemical Composition, Nutrition and Health Effects; Stojković, D., Barros, L., Eds.; Royal Society of Chemistry: Croydon, UK, 2022; pp. 232–272. [Google Scholar]
- Araújo-Rodrigues, H.; Sousa, A.S.; Relvas, J.B.; Tavaria, F.K.; Pintado, M. An Overview on Mushroom Polysaccharides: Health-promoting Properties, Prebiotic and Gut Microbiota Modulation Effects and Structure-function Correlation. Carbohydr. Polym. 2024, 333, 121978. [Google Scholar] [CrossRef]
- Sousa, A.S.; Araújo-Rodrigues, H.; Pintado, M.E. The Health-promoting Potential of Edible Mushroom Proteins. Curr. Pharm. Des. 2023, 29, 804–823. [Google Scholar] [CrossRef]
- Trovato, A.; Siracusa, R.; Di Paola, R.; Scuto, M.; Ontario, M.L.; Bua, O.; Di Mauro, P.; Toscano, M.A.; Petralia, C.C.T.; Maiolino, L.; et al. Redox modulation of cellular stress response and lipoxin A4 expression by Hericium Erinaceus in rat brain: Relevance to Alzheimer’s disease pathogenesis. Immun. Ageing 2016, 13, 23. [Google Scholar] [CrossRef] [PubMed]
- Trovato, A.; Siracusa, R.; Di Paola, R.; Scuto, M.; Fronte, V.; Koverech, G.; Calabrese, V. Redox modulation of cellular stress response and lipoxin A4 expression by Coriolus versicolor in rat brain: Relevance to Alzheimer’s disease pathogenesis. Neurotoxicology 2016, 53, 350–358. [Google Scholar] [CrossRef]
- Suckau, O.; Gross, I.; Schrötter, S.; Yang, F.; Luo, J.; Wree, A.; Chun, J.; Baska, D.; Baumgart, J.; Kano, K.; et al. LPA1, LPA 2, LPA4, and LPA6 receptor expression during mouse brain development. Dev. Dyn. 2019, 248, 375–395. [Google Scholar] [CrossRef] [PubMed]
- Cordaro, M.; Modafferi, S.; D’Amico, R.; Fusco, R.; Genovese, T.; Peritore, A.F.; Gugliandolo, E.; Crupi, R.; Interdonato, L.; Di Paola, D.; et al. Natural Compounds Such as Hericium erinaceus and Coriolus versicolor Modulate Neuroinflammation, Oxidative Stress and Lipoxin A4 Expression in Rotenone-Induced Parkinson’s Disease in Mice. Biomedicines 2022, 10, 2505. [Google Scholar] [CrossRef] [PubMed]
- Trovato Salinaro, A.; Pennisi, M.; Di Paola, R.; Scuto, M.; Crupi, R.; Cambria, M.T.; Ontario, M.L.; Tomasello, M.; Uva, M.; Maiolino, L.; et al. Neuroinflammation and neurohormesis in the pathogenesis of Alzheimer’s disease and Alzheimer-linked pathologies: Modulation by nutritional mushrooms. Immun. Ageing 2018, 15, 8. [Google Scholar] [CrossRef]
- Ferreiro, E.; Pita, I.R.; Mota, S.I.; Valero, J.; Ferreira, N.R.; Fernandes, T.; Calabrese, V.; Fontes-Ribeiro, C.A.; Pereira, F.C.; Rego, A.C. Coriolus versicolor biomass increases dendritic arborization of newly-generated neurons in mouse hippocampal dentate gyrus. Oncotarget 2018, 9, 32929–32942. [Google Scholar] [CrossRef]
- Kushairi, N.; Tarmizi, N.A.K.A.; Phan, C.W.; Macreadie, I.; Sabaratnam, V.; Naidu, M.; David, P. Modulation of neuroinflammatory pathways by medicinal mushrooms, with particular relevance to Alzheimer’s disease. Trends Food Sci. Technol. 2020, 104, 153–162. [Google Scholar] [CrossRef]
- Bonfili, L.; Cecarini, V.; Gogoi, O.; Gong, C.; Cuccioloni, M.; Angeletti, M.; Rossi, G.; Eleuteri, A.M. Microbiota modulation as preventative and therapeutic approach in Alzheimer’s disease. FEBS J. 2021, 288, 2836–2855. [Google Scholar] [CrossRef]
- Parker, A.; Fonseca, S.; Carding, S.R. Gut microbes and metabolites as modulators of blood-brain barrier integrity and brain health. Gut Microbes 2020, 11, 135–157. [Google Scholar] [CrossRef]
- Rojo, A.I.; McBean, G.; Cindric, M.; Egea, J.; López, M.G.; Rada, P.; Zarkovic, N.; Cuadrado, A. Redox control of microglial function: Molecular mechanisms and functional significance. Antioxidants Redox Signal. 2014, 21, 1766–1801. [Google Scholar] [CrossRef]
- Bordt, E.A.; Polster, B.M. NADPH oxidase- and mitochondria-derived reactive oxygen species in proinflammatory microglial activation: A Bipartisan affair? Free Radic. Biol. Med. 2014, 76, 34–46. [Google Scholar] [CrossRef]
- Ayuda-Durán, B.; Garzón-García, L.; González-Manzano, S.; Santos-Buelga, C.; González-Paramás, A.M. Insights into the Neuroprotective Potential of Epicatechin: Effects against Aβ-Induced Toxicity in Caenorhabditis elegans. Antioxidants 2024, 13, 79. [Google Scholar] [CrossRef]
- Garzón-García, L.; Ayuda-Durán, B.; González-Manzano, S.; Santos-Buelga, C.; González-Paramás, A.M. Neuroprotective Potential of the Flavonoids Quercetin and Epicatechin in a C. elegans Tauopathy Model. Mol. Nutr. Food Res. 2025, 69, e70108. [Google Scholar] [CrossRef] [PubMed]
- Kittimongkolsuk, P.; Pattarachotanant, N.; Chuchawankul, S.; Wink, M.; Tencomnao, T. Neuroprotective effects of extracts from tiger milk mushroom lignosus rhinocerus against glutamate-induced toxicity in HT22 hippocampal neuronal cells and neurodegenerative diseases in caenorhabditis elegans. Biology 2021, 10, 30. [Google Scholar] [CrossRef]
- Zheng, J.; Enright, F.; Keenan, M.; Finley, J.; Zhou, J.; Ye, J.; Greenway, F.; Senevirathne, R.N.; Gissendanner, C.R.; Manaois, R.; et al. Resistant starch, fermented resistant starch, and short-chain fatty acids reduce intestinal fat deposition in Caenorhabditis elegans. J. Agric. Food Chem. 2010, 58, 4744–4748. [Google Scholar] [CrossRef]
- Zhang, S.; Wang, H.; Wang, J.; Jin, W.; Yan, X.; Chen, X.; Wang, D.; Zhao, D.; Wang, Y.; Cong, D.; et al. Ginsenoside Rf inhibits human tau proteotoxicity and causes specific LncRNA, miRNA and mRNA expression changes in Caenorhabditis elegans model of tauopathy. Eur. J. Pharmacol. 2022, 922, 174887. [Google Scholar] [CrossRef] [PubMed]
- Wang, C.; Saar, V.; Leung, K.L.; Chen, L.; Wong, G. Human amyloid β peptide and tau co-expression impairs behavior and causes specific gene expression changes in Caenorhabditis elegans. Neurobiol. Dis. 2018, 109, 88–101. [Google Scholar] [CrossRef] [PubMed]
- Scuto, M.; Di Mauro, P.; Ontario, M.L.; Amato, C.; Modafferi, S.; Ciavardelli, D.; Trovato Salinaro, A.; Maiolino, L.; Calabrese, V. Nutritional Mushroom Treatment in Meniere’s Disease with Coriolus versicolor: A Rationale for Therapeutic Intervention in Neuroinflammation and Antineurodegeneration. Int. J. Mol. Sci. 2019, 21, 284. [Google Scholar] [CrossRef]
- Sawangwan, T.; Wansanit, W.; Pattani, L.; Noysang, C. Study of prebiotic properties from edible mushroom extraction. Agric. Nat. Resour. 2018, 52, 519–524. [Google Scholar] [CrossRef]
- Synytsya, A.; Míčková, K.; Synytsya, A.; Jablonský, I.; Spěváček, J.; Erban, V.; Kováříková, E.; Čopíková, J. Glucans from fruit bodies of cultivated mushrooms Pleurotus ostreatus and Pleurotus eryngii: Structure and potential prebiotic activity. Carbohydr. Polym. 2009, 76, 548–556. [Google Scholar] [CrossRef]
- Brodkorb, A.; Egger, L.; Alminger, M.; Alvito, P.; Assunção, R.; Ballance, S.; Bohn, T.; Bourlieu-Lacanal, C.; Boutrou, R.; Carrière, F.; et al. INFOGEST static in vitro simulation of gastrointestinal food digestion. Nat. Protoc. 2019, 14, 991–1014. [Google Scholar] [CrossRef]
- Janabi, N.; Peudenier, S.; Héron, B.; Ng, K.H.; Tardieu, M. Establishment of human microglial cell lines after transfection of primary cultures of embryonic microglial cells with the SV40 large T antigen. Neurosci. Lett. 1995, 195, 105–108. [Google Scholar] [CrossRef]
- Salsinha, A.S.; Socodato, R.; Rodrigues, A.; Vale-Silva, R.; Relvas, J.B.; Pintado, M.; Rodríguez-Alcalá, L.M. Potential of omega-3 and conjugated fatty acids to control microglia inflammatory imbalance elicited by obesogenic nutrients. Biochim. Biophys. Acta-Mol. Cell Biol. Lipids 2023, 1868, 159331. [Google Scholar] [CrossRef]
- Martínez Leo, E.E.; Segura Campos, M.R. Neuroprotective effect from Salvia hispanica peptide fractions on pro-inflammatory modulation of HMC3 microglial cells. J. Food Biochem. 2020, 44, e13207. [Google Scholar] [CrossRef] [PubMed]
- Fang, E.F.; Hou, Y.; Palikaras, K.; Adriaanse, B.A.; Kerr, J.S.; Yang, B.; Lautrup, S.; Hasan-Olive, M.M.; Caponio, D.; Dan, X.; et al. Mitophagy inhibits amyloid-β and tau pathology and reverses cognitive deficits in models of Alzheimer’s disease. Nat. Neurosci. 2019, 22, 401–412. [Google Scholar] [CrossRef]
- Araújo-Rodrigues, H.; Amorim, M.; Sousa, C.; Salsinha, A.S.; Marçal, S.; de Freitas, V.; Relvas, J.B.; Tavaria, F.K.; Pintado, M.E. Chemical Composition of Trametes versicolor, Hericium erinaceus, and Pleurotus ostreatus Mushroom Biomass: Deciphering Their Rich α-glucan Composition and Nutritional Value. J. Food Compos. Anal. 2025, 143, 107612. [Google Scholar] [CrossRef]
- Itrat, N.; Hasanath, S.A.F.; Ali, A. Mushrooms as Natural Antioxidants and Their Role in Oxidative Stress Management. In Mushroom Bioactives: Bridging Food, Biotechnology, and Nanotechnology for Health and Innovation; Springer: Cham, Switzerland, 2025; pp. 45–67. [Google Scholar]
- Wagner, A.; Yan, Z.; Kulka, M. A Human Microglial Cell Line Expresses γ-Aminobutyric Acid (GABA) Receptors and Responds to GABA and Muscimol by Increasing Production of IL-8. Neuroglia 2023, 4, 172–187. [Google Scholar] [CrossRef]
- Wagner, A.; Pehar, M.; Yan, Z.; Kulka, M. Amanita muscaria extract potentiates production of proinflammatory cytokines by dsRNA-activated human microglia. Front. Pharmacol. 2023, 14, 1102465. [Google Scholar] [CrossRef]
- ISO 10993-5:2009(E); Biological Evaluation of Medical Devices—Part 5: Tests for In Vitro Cytotoxicity. ISO: Geneva, Switzerland, 2009.
- Ke, Y.; Cohen, B.M.; Bang, J.Y.; Yang, M.; Renshaw, P.F. Assessment of GABA concentration in human brain using two-dimensional proton magnetic resonance spectroscopy. Psychiatry Res.-Neuroimaging 2000, 100, 169–178. [Google Scholar] [CrossRef]
- Weis, J.; Persson, J.; Frick, A.; Åhs, F.; Versluis, M.; Alamidi, D. GABA quantification in human anterior cingulate cortex. PLoS ONE 2021, 16, e0240641. [Google Scholar] [CrossRef]
- Caetano-Silva, M.E.; Rund, L.; Hutchinson, N.T.; Woods, J.A.; Steelman, A.J.; Johnson, R.W. Inhibition of inflammatory microglia by dietary fiber and short-chain fatty acids. Sci. Rep. 2023, 13, 2819. [Google Scholar] [CrossRef]
- Xin, Y.; Fang, F.; Yue, Q.; Luo, Y.; Tian, S.; Cheng, L.; Wang, X.; Yang, X.; Luo, L.; Meng, F. Microenvironment modulating nanogels by Shiitake-derived lentinan and a reactive oxygen species scavenging conjugated polymer for the treatment of Alzheimer’s disease. Nano Today 2024, 55, 102178. [Google Scholar] [CrossRef]
- Ahmed, H.A.; Ticar, B.F.; Black, I.; Mahdi, F.; Shami, A.A.; Misra, S.K.; Heiss, C.; Paris, J.J.; Sharp, J.S.; Azadi, P.; et al. Structural characterization and biological activity of an α-glucan from the mollusk Marcia hiantina (Lamarck, 1818). Glycoconj. J. 2023, 40, 33–46. [Google Scholar] [CrossRef]
- Muchtaridi, M.; Az-Zahra, F.; Wongso, H.; Setyawati, L.U.; Novitasari, D.; Ikram, E.H.K. Molecular Mechanism of Natural Food Antioxidants to Regulate ROS in Treating Cancer: A Review. Antioxidants 2024, 13, 207. [Google Scholar] [CrossRef]
- Nitha, B.; Janardhanan, K.K. Aqueous-ethanolic extract of morel mushroom mycelium Morchella esculenta, protects cisplatin and gentamicin induced nephrotoxicity in mice. Food Chem. Toxicol. 2008, 46, 3193–3199. [Google Scholar] [CrossRef]
- Hu, Y.N.; Sung, T.J.; Chou, C.H.; Liu, K.L.; Hsieh, L.P.; Hsieh, C.W. Characterization and antioxidant activities of yellow strain Flammulina velutipes (Jinhua mushroom) polysaccharides and their effects on ROS content in L929 cell. Antioxidants 2019, 8, 298. [Google Scholar] [CrossRef]
- Apparoo, Y.; Wei Phan, C.; Rani Kuppusamy, U.; Chan, E.W.C. Potential role of ergothioneine rich mushroom as anti-aging candidate through elimination of neuronal senescent cells. Brain Res. 2024, 1824, 148693. [Google Scholar] [CrossRef]
- Shao, H.J.; Jeong, J.B.; Kim, K.J.; Lee, S.H. Anti-inflammatory activity of mushroom-derived hispidin through blocking of NF-κB activation. J. Sci. Food Agric. 2015, 95, 2482–2486. [Google Scholar] [CrossRef] [PubMed]
- Jiang, G.; Lei, A.; Chen, Y.; Yu, Q.; Xie, J.; Yang, Y.; Yuan, T.; Su, D. The protective effects of the Ganoderma atrum polysaccharide against acrylamide-induced inflammation and oxidative damage in rats. Food Funct. 2021, 12, 397–407. [Google Scholar] [CrossRef] [PubMed]
- Chao, M.W.; Liao, C.W.; Lin, C.H.; Tseng, C.Y. Immunomodulatory protein from ganoderma microsporum protects against oxidative damages and cognitive impairments after traumatic brain injury. Mol. Cell. Neurosci. 2022, 120, 103735. [Google Scholar] [CrossRef] [PubMed]
- Lim, D.W.; Lee, J.E.; Lee, C.; Kim, Y.T. Natural Products and Their Neuroprotective Effects in Degenerative Brain Diseases: A Comprehensive Review. Int. J. Mol. Sci. 2024, 25, 11223. [Google Scholar] [CrossRef]
- Aliashrafi, M.; Nasehi, M.; Zarrindast, M.R.; Joghataei, M.T.; Zali, H.; Siadat, S.D. Association of microbiota-derived propionic acid and Alzheimer’s disease; bioinformatics analysis. J. Diabetes Metab. Disord. 2020, 19, 783–804. [Google Scholar] [CrossRef]
- Di Chiano, M.; Rocchetti, M.T.; Spano, G.; Russo, P.; Allegretta, C.; Milior, G.; Gadaleta, R.M.; Sallustio, F.; Pontrelli, P.; Gesualdo, L.; et al. Lactobacilli Cell-Free Supernatants Modulate Inflammation and Oxidative Stress in Human Microglia via NRF2-SOD1 Signaling. Cell. Mol. Neurobiol. 2024, 44, 60. [Google Scholar] [CrossRef] [PubMed]
- Ahmed, S.; Busetti, A.; Fotiadou, P.; Vincy Jose, N.; Reid, S.; Georgieva, M.; Brown, S.; Dunbar, H.; Beurket-Ascencio, G.; Delday, M.I.; et al. In vitro Characterization of Gut Microbiota-Derived Bacterial Strains With Neuroprotective Properties. Front. Cell. Neurosci. 2019, 13, 402. [Google Scholar] [CrossRef] [PubMed]
- Fatouros, C.; Pir, G.J.; Biernat, J.; Koushika, S.P.; Mandelkow, E.; Mandelkow, E.M.; Schmidt, E.; Baumeister, R. Inhibition of Tau aggregation in a novel caenorhabditis elegans model of tauopathy mitigates proteotoxicity. Hum. Mol. Genet. 2012, 21, 3587–3603. [Google Scholar] [CrossRef] [PubMed]
- Walker, A.C.; Bhargava, R.; Vaziriyan-Sani, A.S.; Pourciau, C.; Donahue, E.T.; Dove, A.S.; Gebhardt, M.J.; Ellward, G.L.; Romeo, T.; Czyż, D.M. Colonization of the Caenorhabditis Elegans gut with Human Enteric Bacterial Pathogens Leads to Proteostasis Disruption That Is Rescued by Butyrate. PLOS Pathog. 2021, 17, e1009510. [Google Scholar] [CrossRef]
- Urrutia, A.; García-Angulo, V.A.; Fuentes, A.; Caneo, M.; Legüe, M.; Urquiza, S.; Delgado, S.E.; Ugalde, J.; Burdisso, P.; Calixto, A. Bacterially Produced Metabolites Protect C. elegans Neurons from Degeneration. PLOS Biol. 2020, 18, e3000638. [Google Scholar] [CrossRef]
- Zhang, J.; Shi, R.; Li, H.; Xiang, Y.; Xiao, L.; Hu, M.; Ma, F.; Ma, C.W.; Huang, Z. Antioxidant and neuroprotective effects of Dictyophora indusiata polysaccharide in Caenorhabditis elegans. J. Ethnopharmacol. 2016, 192, 413–422. [Google Scholar] [CrossRef]
- Sillapachaiyaporn, C.; Wongwan, C.; Mongkolpobsin, K.; Nilkhet, S.; Isidoro, C.; Chuchawankul, S.; Tencomnao, T. Ergosterol promotes neurite outgrowth, inhibits amyloid-beta synthesis, and extends longevity: In vitro neuroblastoma and in vivo Caenorhabditis elegans evidence. Life Sci. 2024, 345, 122606. [Google Scholar] [CrossRef] [PubMed]
- Shi, Y.C.; Pan, T.M.; Liao, V.H.C. Monascin from Monascus-Fermented Products Reduces Oxidative Stress and Amyloid-β Toxicity via DAF-16/FOXO in Caenorhabditis elegans. J. Agric. Food Chem. 2016, 64, 7114–7120. [Google Scholar] [CrossRef]









Disclaimer/Publisher’s Note: The statements, opinions and data contained in all publications are solely those of the individual author(s) and contributor(s) and not of MDPI and/or the editor(s). MDPI and/or the editor(s) disclaim responsibility for any injury to people or property resulting from any ideas, methods, instructions or products referred to in the content. |
© 2025 by the authors. Licensee MDPI, Basel, Switzerland. This article is an open access article distributed under the terms and conditions of the Creative Commons Attribution (CC BY) license (https://creativecommons.org/licenses/by/4.0/).
Share and Cite
Araújo-Rodrigues, H.; Garzón-García, L.; Salsinha, A.S.; Relvas, J.B.; Tavaria, F.K.; Santos-Buelga, C.; González-Paramás, A.M.; Pintado, M.E. Neuroprotective Effects of Mushroom Biomass Digestive Fractions and Gut Microbiota Metabolites in Microglial and Caenorhabditis elegans Models of Neurodegeneration. Nutrients 2025, 17, 3867. https://doi.org/10.3390/nu17243867
Araújo-Rodrigues H, Garzón-García L, Salsinha AS, Relvas JB, Tavaria FK, Santos-Buelga C, González-Paramás AM, Pintado ME. Neuroprotective Effects of Mushroom Biomass Digestive Fractions and Gut Microbiota Metabolites in Microglial and Caenorhabditis elegans Models of Neurodegeneration. Nutrients. 2025; 17(24):3867. https://doi.org/10.3390/nu17243867
Chicago/Turabian StyleAraújo-Rodrigues, Helena, Lidia Garzón-García, Ana Sofia Salsinha, João Bettencourt Relvas, Freni K. Tavaria, Celestino Santos-Buelga, Ana M. González-Paramás, and Manuela E. Pintado. 2025. "Neuroprotective Effects of Mushroom Biomass Digestive Fractions and Gut Microbiota Metabolites in Microglial and Caenorhabditis elegans Models of Neurodegeneration" Nutrients 17, no. 24: 3867. https://doi.org/10.3390/nu17243867
APA StyleAraújo-Rodrigues, H., Garzón-García, L., Salsinha, A. S., Relvas, J. B., Tavaria, F. K., Santos-Buelga, C., González-Paramás, A. M., & Pintado, M. E. (2025). Neuroprotective Effects of Mushroom Biomass Digestive Fractions and Gut Microbiota Metabolites in Microglial and Caenorhabditis elegans Models of Neurodegeneration. Nutrients, 17(24), 3867. https://doi.org/10.3390/nu17243867

