Reliability of a Modified 24 h Dietary Recall and Veggie Meter to Assess Fruit and Vegetable Intake in New Zealand Children
Abstract
1. Introduction
2. Materials and Methods
2.1. Study Design
2.2. Ethics
2.3. Participants, Sample Size, and Recruitment
2.4. Familiarisation
2.5. Modified 24 h MPR
2.6. Weighed Food Diary
2.7. Veggie Meter®
2.8. Data Processing and Analysis
2.9. Statistical Analysis
3. Results
3.1. Participants and Data
3.2. Carotenoids
3.3. Vegetable Intake
3.4. Fruit Intake
3.5. Total Fruit and Vegetable Intake
3.6. Skin Carotenoid Score vs. Median F + V Intake from the Modified 24 h Multiple Pass Recall and Weighed Food Diaries
3.7. Validity of the Modified 24 h Multiple Pass Recall
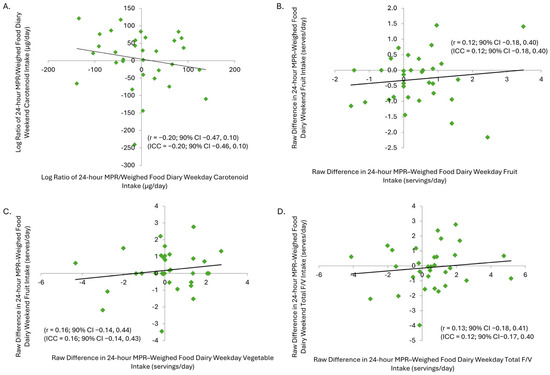
3.8. Reliability of the Modified 24 h MPR and Veggie Meter®
4. Discussion
4.1. Validity of the Modified 24 h MPR
4.2. Correlation Between F + V Intake and Skin Carotenoid Scores
4.3. Reliability of the Modified MPR
4.4. Reliability of the Veggie Meter®
4.5. Overestimation and Reporting Bias
4.6. Strengths and Limitations
5. Conclusions and Future Directions
Supplementary Materials
Author Contributions
Funding
Institutional Review Board Statement
Informed Consent Statement
Data Availability Statement
Conflicts of Interest
Abbreviations
| BMI | Body Mass Index |
| CV | Coefficient of Variation |
| FFQ | Food Frequency Questionnaire |
| F + V | Fruits and Vegetables |
| ICC | Intraclass Correlation Coefficient |
| MUHEC | Massey University Human Ethics Committee |
| MELAA | Middle Eastern, Latin American, African |
| MPR | Multiple Pass Recall |
| WFD | Weighed Food Diary |
| NSLP | National School Lunch Program |
| NCDs | Noncommunicable diseases |
| RS | Reflection Spectroscopy |
| RRS | Resonance Rama Spectroscopy |
| SPAN | School Physical Activity and Nutrition |
| STEAM | Science, Technology, Engineering, Arts, and Math |
| SCS | Skin Carotenoid Score |
| dCC | Derived Carotenoid Concentration |
| TEE | Typical Error of Estimate |
| VM® | Veggie Meter® |
References
- Parnell, W.; Scragg, R.; Wilson, N.; Schaaf, D.; Fitzgerald, E. NZ Food NZ Children: Key Results of the 2002 National Children’s Nutrition Survey; Ministry of Health: Wellington, New Zealand, 2003. [Google Scholar]
- Stats New Zealand. 2023 Census Population Counts (by Ethnic Group, Age, and Māori descent) and Dwelling Counts. Available online: https://www.stats.govt.nz/information-releases/2023-census-population-counts-by-ethnic-group-age-and-maori-descent-and-dwelling-counts/ (accessed on 18 August 2025).
- Vandevijvere, S.; Mackay, S.; D’Souza, E.; Swinburn, B. How Healthy Are New Zealand Food Environments? A Comprehensive Assessment 2014–2017; The University of Auckland: Auckland, New Zealand, 2018. [Google Scholar]
- Rush, E.; Savila, F.; Jalili-Moghaddam, S.; Amoah, I. Vegetables: New Zealand Children Are Not Eating Enough. Front. Nutr. 2019, 5, 134. [Google Scholar] [CrossRef]
- WHO. Increasing Fruit and Vegetable Consumption to Reduce the Risk of Noncommunicable Diseases. Available online: https://www.who.int/tools/elena/interventions/fruit-vegetables-ncds#:~:text=WHO%20Recommendations,the%20risk%20of%20certain%20NCDs. (accessed on 18 August 2025).
- Ministry of Health. Eating for Healthy Children. Available online: https://healthed.govt.nz/products/eating-for-healthy-children-aged-2-to-12-nga-kai-totika-mo-te-hunga-kohungahunga (accessed on 18 August 2025).
- Ministry of Health. New Zealand Health Survey Annual Data. Available online: https://www.health.govt.nz/publications/annual-update-of-key-results-202223-new-zealand-health-survey (accessed on 18 August 2025).
- Nelson, M.; Atkinson, M.; Meyer, K. A Photographic Atlas of Food Portion Sizes; Ministry of Agriculture, Fisheries and Food: London, UK, 1997. [Google Scholar]
- Martinelli, S.; Acciai, F.; Tasevska, N.; Ohri-Vachaspati, P. Using the Veggie Meter in Elementary Schools to Objectively Measure Fruit and Vegetable Intake: A Pilot Study. Methods Protoc. 2021, 4, 33. [Google Scholar] [CrossRef]
- May, K.; Jilcott Pitts, S.; Stage, V.C.; Kelley, C.J.; Burkholder, S.; Fang, X.; Zeng, A.; Lazorick, S. Use of the Veggie Meter® as a tool to objectively approximate fruit and vegetable intake among youth for evaluation of preschool and school-based interventions. J. Hum. Nutr. Diet. 2020, 33, 869–875. [Google Scholar] [CrossRef]
- Varghese, V.; Cepni, A.B.; Chang, J.; Kim, H.; Moran, N.E.; Ledoux, T.A. Skin Carotenoids Measured by Reflection Spectroscopy Correlate With Dietary Carotenoid Intake in Racially and Ethnically Diverse US Toddlers From Houston, Texas. J. Acad. Nutr. Diet. 2024, 124, 628–635.e1. [Google Scholar] [CrossRef] [PubMed]
- Hasnin, S.; Bhatti, N.; Dev, D.A. Criterion Validity of Veggie Meter® to Estimate Fruit and Vegetable Consumption in Non-Hispanic White Preschool Children. J. Nutr. Educ. Behav. 2023, 55, 66. [Google Scholar] [CrossRef]
- Hasnin, S.; Dev, D.A.; Pitts, S.J. Evidence for Criterion-Related Validity of Pressure-Mediated Reflection Spectroscopy for Approximating Fruit and Vegetable Consumption among Preschool Children. J. Nutr. 2024, 154, 261–270. [Google Scholar] [CrossRef]
- Burrows, T.L.; Martin, R.J.; Collins, C.E. A Systematic Review of the Validity of Dietary Assessment Methods in Children when Compared with the Method of Doubly Labeled Water. J. Am. Diet. Assoc. 2010, 110, 1501–1510. [Google Scholar] [CrossRef]
- Nightingale, H.; Walsh, K.J.; Olupot-Olupot, P.; Engoru, C.; Ssenyondo, T.; Nteziyaremye, J.; Amorut, D.; Nakuya, M.; Arimi, M.; Frost, G.; et al. Validation of triple pass 24-hour dietary recall in Ugandan children by simultaneous weighed food assessment. BMC Nutr. 2016, 2, 56. [Google Scholar] [CrossRef]
- Hopkins, W.G. Measures of Reliability in Sports Medicine and Science. Sports Med. 2000, 30, 1–15. [Google Scholar] [CrossRef]
- Hopkins, W.G. Spreadsheets for analysis of validity and reliability. Sportscience 2015, 19, 36–42. [Google Scholar]
- Borg, D.N.; Bach, A.J.E.; O’Brien, J.L.; Sainani, K.L. Calculating sample size for reliability studies. PM&R 2022, 14, 1018–1025. [Google Scholar] [CrossRef]
- Radtke, M.D.; Poe, M.; Stookey, J.; Jilcott Pitts, S.; Moran, N.E.; Landry, M.J.; Rubin, L.P.; Stage, V.C.; Scherr, R.E. Recommendations for the Use of the Veggie Meter® for Spectroscopy-Based Skin Carotenoid Measurements in the Research Setting. Curr. Dev. Nutr. 2021, 5, nzab104. [Google Scholar] [CrossRef] [PubMed]
- Amoah, I.; Cairncross, C.; Rush, E. Vegetable-enriched bread: Pilot and feasibility study of measurement of changes in skin carotenoid concentrations by reflection spectroscopy as a biomarker of vegetable intake. Food Sci. Nutr. 2023, 11, 3376–3384. [Google Scholar] [CrossRef] [PubMed]
- Xyris Pty Ltd. Foodworks.online, V.2.0; Xyris Pty Ltd.: Brisbane, Australia, 2024. [Google Scholar]
- Mackie, D. Food and Nutrition Guidelines for Healthy Children and Young People (Aged 2–18 Years); Ministry of Health: Wellington, New Zealand, 2015; pp. 1–236. [Google Scholar]
- Hair, J.; Hult, G.; Ringle, C.; Sarstedt, M. A Primer on Partial Least Squares Structural Equation Modeling (PLS-SEM), 3rd ed.; Sage: Thousand Oaks, CA, USA, 2022. [Google Scholar]
- Berman, J.J. Data Simplification: Taming Information with Open Source Tools; Green, T., Ed. Elsevier: Amsterdam, The Netherlands, 2016. [Google Scholar]
- Hopkins, W.G. Understanding Statistics by Using Spreadsheets to Generate and Analyze Samples. Available online: https://sportsci.org/2007/wghstats.htm (accessed on 18 August 2025).
- Hopkins, W.G.; Marshall, S.W.; Batterham, A.M.; Hanin, J. Progressive statistics for studies in sports medicine and exercise science. Med. Sci. Sports Exerc. 2009, 41, 3–13. [Google Scholar] [CrossRef] [PubMed]
- Cormack, B. Neonatal and Paediatric Nutrition Handbook; Starship Child Health: Auckland, New Zealand, 2022; p. 147. [Google Scholar]
- Ministry of Health. New Serving Size Advice. Available online: https://www.tewhatuora.govt.nz/assets/Health-services-and-programmes/Nutrition/new-serving-size-advice-dec20-v3.pdf (accessed on 18 August 2025).
- Foster, E.; Bradley, J. Methodological considerations and future insights for 24-hour dietary recall assessment in children. Nutr. Res. 2018, 51, 1–11. [Google Scholar] [CrossRef]
- Ermakov, I.V.; Gellermann, W. Dermal carotenoid measurements via pressure mediated reflection spectroscopy. J. Biophotonics 2012, 5, 559–570. [Google Scholar] [CrossRef]
- Mayne, S.T.; Cartmel, B.; Scarmo, S.; Lin, H.; Leffell, D.J.; Welch, E.; Ermakov, I.; Bhosale, P.; Bernstein, P.S.; Gellermann, W. Noninvasive assessment of dermal carotenoids as a biomarker of fruit and vegetable intake. Am. J. Clin. Nutr. 2010, 92, 794–800. [Google Scholar] [CrossRef]
- Jahns, L.; Johnson, L.K.; Mayne, S.T.; Cartmel, B.; Picklo, M.J., Sr.; Ermakov, I.V.; Gellermann, W.; Whigham, L.D. Skin and plasma carotenoid response to a provided intervention diet high in vegetables and fruit: Uptake and depletion kinetics. Am. J. Clin. Nutr. 2014, 100, 930–937. [Google Scholar] [CrossRef]
- Gibson, R.S.; Charrondiere, U.R.; Bell, W. Measurement Errors in Dietary Assessment Using Self-Reported 24-Hour Recalls in Low-Income Countries and Strategies for Their Prevention. Adv. Nutr. Int. Rev. J. 2017, 8, 980–991. [Google Scholar] [CrossRef]
- Krinsky, N.I.; Johnson, E.J. Carotenoid actions and their relation to health and disease. Mol. Asp. Med. 2005, 26, 459–516. [Google Scholar] [CrossRef]
- St. George, S.M.; Van Horn, M.L.; Lawman, H.G.; Wilson, D.K. Reliability of 24-Hour Dietary Recalls as a Measure of Diet in African-American Youth. J. Acad. Nutr. Diet. 2016, 116, 1551–1559. [Google Scholar] [CrossRef]
- Nagao-Sato, S.; Baltaci, A.; Peralta Reyes, A.O.; Zhang, Y.; Hurtado Choque, G.A.; Reicks, M. Skin Carotenoid Scores Assessed with Reflection Spectroscopy Are Associated with Self-Reported Fruit and Vegetable Intake Among Latino Early Adolescents. J. Acad. Nutr. Diet. 2021, 121, 1507–1514. [Google Scholar] [CrossRef]
- Takeuchi, J.; Kusunoki, T.; Morimoto, T. Association of Skin Carotenoid Score and Food Intake among School Children: A Multicenter Cross-Sectional Study. J. Nutr. Sci. Vitaminol. 2022, 68, 127–130. [Google Scholar] [CrossRef]
- Gemming, L.; Jiang, Y.; Swinburn, B.; Utter, J.; Mhurchu, C.N. Under-reporting remains a key limitation of self-reported dietary intake: An analysis of the 2008/09 New Zealand Adult Nutrition Survey. Eur. J. Clin. Nutr. 2014, 68, 259–264. [Google Scholar] [CrossRef]
- Ralph, J.; Von Ah, D.; Scheett, A.; Hoverson, B.; Anderson, C. Diet assessment methods: A guide for oncology nurses. Clin. J. Oncol. Nurs. 2011, 15, E114–E121. [Google Scholar] [CrossRef]




| Attribute | Sample | Pearson Coefficient | Mean Standardised Bias at x (Predictor) Value |
|---|---|---|---|
| Total Fruit (servings) | WDAY: | 0.76 (0.61, 0.86) | 0.35 (0.09, 0.61) |
| WEND: | 0.69 (0.49, 0.82) | −0.28 (−0.51, −0.04) | |
| COMB: | 0.80 (0.66, 0.89) | 0.06 (−0.16, 0.29) | |
| Total Vegetable (servings) | WDAY: | 0.67 (0.46, 0.81) | 0.04 (−0.21, 0.29) |
| WEND: | 0.66 (0.45, 0.80) | 0.14 (−0.14, 0.41) | |
| COMB: | 0.71 (0.53, 0.83) | 0.09 (−0.13, 0.30) | |
| Total Fruit + Vegetable (servings) | WDAY: | 0.71 (0.52, 0.83) | 0.20 (−0.03, 0.44) |
| WEND: | 0.69 (0.50, 0.82) | −0.06 (−0.30, 0.18) | |
| COMB: | 0.78 (0.63, 0.88) | 0.10 (−0.09, 0.29) | |
| Carotenoids (μg) | WDAY: | 0.84 (0.72, 0.91) | −0.02 (−0.29, 0.24) |
| WEND: | 0.65 (0.44, 0.79) | 0.06 (−0.35, 0.47) | |
| COMB: | 0.82 (0.69, 0.90) | 0.15 (−0.09, 0.39) |
| Attribute (Servings) | Standardised Raw Change in Mean | Standardised Mean Raw Typical Error (90% CL) | Mean Raw Pearson Correlation |
|---|---|---|---|
| Modified 24 h MPR vs. Weighed Fruit Intake | −2.2 (−3.4, −1.0) | 0.94 (0.78, 1.2) | 0.12 (−0.18, 0.40) |
| Modified 24 h MPR vs. Weighed Vegetable Intake | −0.2 (−0.8, 1.2) | 0.92 (0.76, 1.2) | 0.16 (−0.14, 0.44) |
| Modified 24 h MPR vs. Weighed F + V Intake | −1.0 (−2.2, 0.1) | 0.94 (0.78, 1.2) | 0.13 (−0.18, 0.41) |
| Statistic | |||
|---|---|---|---|
| Attribute | Change in Mean (%) | Typical Error as a CV (%) | Pearson Correlation |
| Modified 24 h MPR Carotenoid Intake (μg) | 8 (−23, 53) | 126 (97, 181) | −0.20 (−0.47, 0.10) |
| Weekday VM® SCS | 2-1: 1.0 (−0.6, 2.7) | 2-1: 4.0 (3.3, 5.1) | 2-1: 0.97 (0.97, 0.99) |
| 3-2: 1.0 (−1.5, 3.6) | 3-2: 6.2 (5.1, 8.0) | 3-2: 0.96 (0.93, 0.98) | |
| Weekend VM® dCC (μmol/L) | 2-1: 1.0 (−0.7, 2.7) | 2-1: 4.1 (3.4, 5.2) | 2-1: 0.98 (0.97, 0.99) |
| 3-2: 1.2 (−0.4, 2.8) | 3-2: 3.8 (3.2, 4.9) | 3-2: 0.99 (0.97, 0.99) | |
| Combined VM® dCC (within day) (μmol/L) | 2-1: 1.0 (−0.6, 2.7) | 2-1: 4.0 (3.3, 5.1) | 2-1: 0.98 (0.97, 0.99) |
| 3-2: 1.0 (−1.5, 3.6) | 3-2: 6.2 (5.1, 8.0) | 3-2: 0.96 (0.93, 0.98) | |
| 4-3: −0.5 (−3.2, 2.3) | 4-3: 6.7 (5.5, 8.5) | 4-3: 0.96 (0.92, 0.98) | |
| 5-4: 1.0 (−0.7, 2.7) | 5-4: 4.1 (3.4, 5.2) | 5-4: 0.98 (0.97, 0.99) | |
| 6-5: 1.2 (−0.4, 2.8) | 6-5: 3.8 (3.2, 4.9) | 6-5: 0.99 (0.97, 0.99) | |
| Between Weekday and Weekend VM® dCC (μmol/L) | 2-1: 1.5 (−0.2, 3.3) | 2-1: 4.2 (3.5, 5.3) | 2-1: 0.98 (0.97, 0.99) |
| 3-2: −0.5 (−2.2, 1.2) | 3-2: 4.2 (3.5, 5.4) | 3-2: 0.98 (0.97, 0.99) | |
| 4-3: 1.5 (0.0, 3.0) | 4-3: 3.5 (2.9, 4.5) | 4-3: 0.99 (0.98, 0.99) | |
| 5-4: −0.5 (−2.9, 2.1) | 5-4: 6.2 (5.1, 7.9) | 5-4: 0.96 (0.93, 0.98) | |
| 6-5: 1.7 (−0.7, 4.1) | 6-5: 5.8 (4.8, 7.4) | 6-5: 0.97 (0.94, 0.98) | |
Disclaimer/Publisher’s Note: The statements, opinions and data contained in all publications are solely those of the individual author(s) and contributor(s) and not of MDPI and/or the editor(s). MDPI and/or the editor(s) disclaim responsibility for any injury to people or property resulting from any ideas, methods, instructions or products referred to in the content. |
© 2025 by the authors. Licensee MDPI, Basel, Switzerland. This article is an open access article distributed under the terms and conditions of the Creative Commons Attribution (CC BY) license (https://creativecommons.org/licenses/by/4.0/).
Share and Cite
Patel, V.V.; Perera, T.S.H.; Rush, E.; McArley, S.; Wham, C.; Rowlands, D.S. Reliability of a Modified 24 h Dietary Recall and Veggie Meter to Assess Fruit and Vegetable Intake in New Zealand Children. Nutrients 2025, 17, 3293. https://doi.org/10.3390/nu17203293
Patel VV, Perera TSH, Rush E, McArley S, Wham C, Rowlands DS. Reliability of a Modified 24 h Dietary Recall and Veggie Meter to Assess Fruit and Vegetable Intake in New Zealand Children. Nutrients. 2025; 17(20):3293. https://doi.org/10.3390/nu17203293
Chicago/Turabian StylePatel, Varshika V., Thalagalage Shalika Harshani Perera, Elaine Rush, Sarah McArley, Carol Wham, and David S. Rowlands. 2025. "Reliability of a Modified 24 h Dietary Recall and Veggie Meter to Assess Fruit and Vegetable Intake in New Zealand Children" Nutrients 17, no. 20: 3293. https://doi.org/10.3390/nu17203293
APA StylePatel, V. V., Perera, T. S. H., Rush, E., McArley, S., Wham, C., & Rowlands, D. S. (2025). Reliability of a Modified 24 h Dietary Recall and Veggie Meter to Assess Fruit and Vegetable Intake in New Zealand Children. Nutrients, 17(20), 3293. https://doi.org/10.3390/nu17203293

