Age-Stratified Trends in Nutrition and Lifestyle Transitions in Korea: Findings from KNHANES 2013–2022
Abstract
1. Introduction
2. Materials and Methods
2.1. Study Design and Participants
2.2. Participant Characteristics
2.3. Dietary Assessment
2.4. Biochemical Markers
2.5. Behavioral Lifestyle Factors
2.6. Statistical Analysis
3. Results
3.1. Population Characteristics and Overall Trend
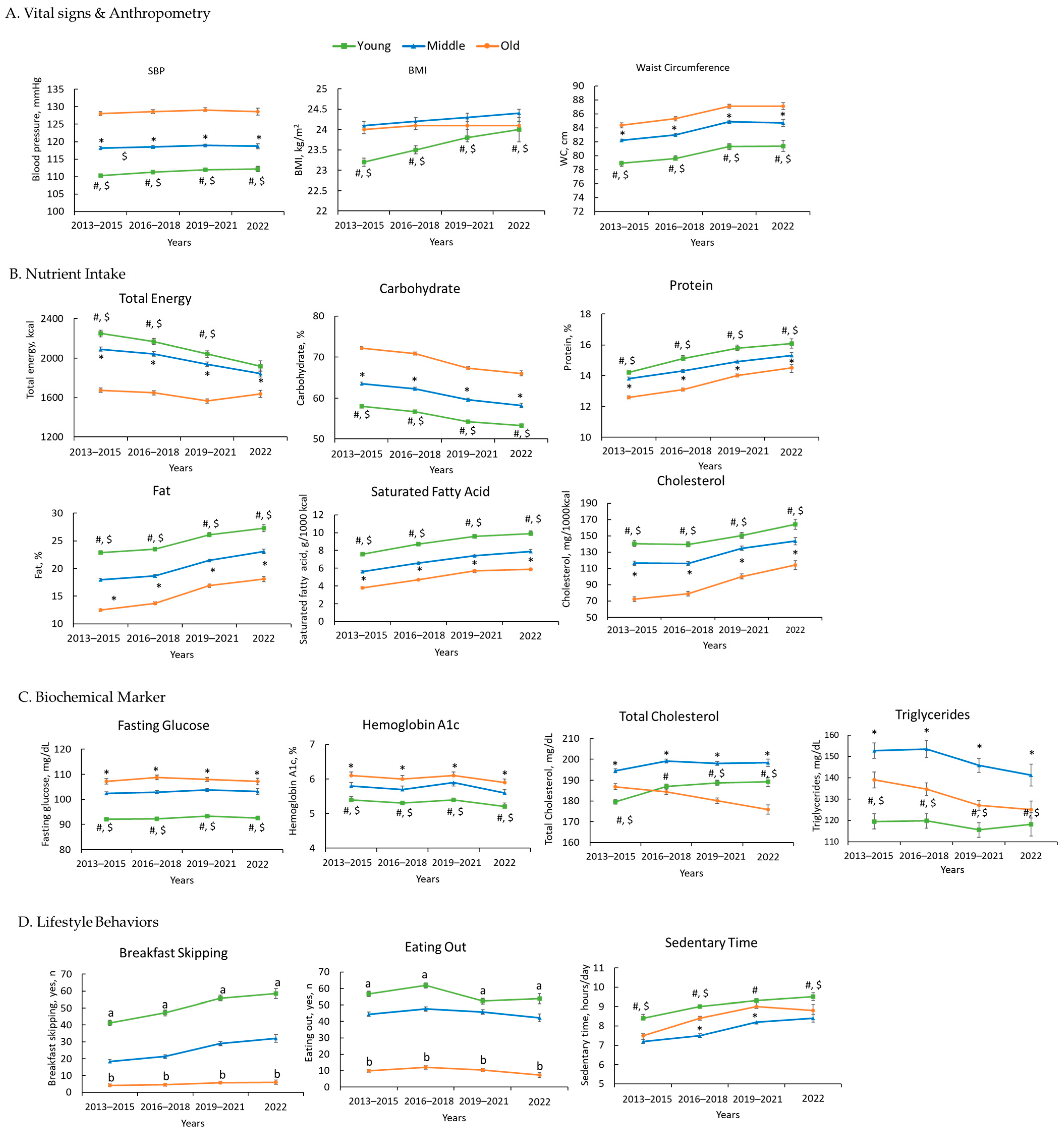
3.2. Age-Related Trajectories of Health Indicators (2013–2022)
3.3. Age-Stratified Percent Change in Health Indicators Between 2013–2015 and 2020–2022
4. Discussion
4.1. Summary of Key Findings
4.2. Comparison with Previous Studies
4.3. Strengths and Limitation
5. Conclusions
Supplementary Materials
Author Contributions
Funding
Institutional Review Board Statement
Informed Consent Statement
Data Availability Statement
Acknowledgments
Conflicts of Interest
References
- Statistics Korea. Population Projections for Korea: 2020–2070. 2021. Available online: https://kostat.go.kr/ (accessed on 10 September 2025).
- Kim, S.; Moon, S.; Popkin, B.M. The nutrition transition in South Korea. Am. J. Clin. Nutr. 2000, 71, 44–53. [Google Scholar] [CrossRef]
- Lee, H.; Yim, Y.; Cho, Y.; Oh, J.; Kim, S.; Son, Y.; Jo, H.; Hong, S.; Rahmati, M.; Cho, H.; et al. Long-term trends and patterns in ultra-processed food consumption among Korean adults from 1998 to 2022. Sci. Rep. 2025, 15, 4131. [Google Scholar] [CrossRef]
- Han, Y.; Sung, H.; Choi, Y.; Kim, Y.S. Trends in obesity, leisure-time physical activity, and sedentary behavior in Korean adults: Korea national health and nutritional examinations survey from 2014 to 2021. PLoS ONE 2024, 19, e0296042. [Google Scholar] [CrossRef]
- Jang, D.K.; Nam, H.S.; Park, M.; Kim, Y.H. Differences in Associated Factors of Sedentary Behavior by Diabetes Mellitus Status: A Nationwide Cross-Sectional Study. J. Clin. Med. 2023, 12, 5453. [Google Scholar] [CrossRef]
- Lee, Y.; Son, J.S.; Eum, Y.H.; Kang, O.L. Association of Sedentary Time and Physical Activity with the 10-Year Risk of Cardiovascular Disease: Korea National Health and Nutrition Examination Survey 2014–2017. Korean J. Fam. Med. 2020, 41, 374–380. [Google Scholar] [CrossRef] [PubMed]
- Ministry of Health and Welfare, Korea Centers for Disease Control and Prevention. Korea Health Statistics. Annual KNHANES Reports. Available online: https://knhanes.kdca.go.kr/ (accessed on 10 September 2025).
- Kweon, S.; Kim, Y.; Jang, M.J.; Kim, Y.; Kim, K.; Choi, S.; Chun, C.; Khang, Y.H.; Oh, K. Data resource profile: The Korea National Health and Nutrition Examination Survey (KNHANES). Int. J. Epidemiol. 2014, 43, 69–77. [Google Scholar] [CrossRef] [PubMed]
- Chun, D.W.; Kwon, Y.J.; Heo, S.J.; Lee, J.W. Secular trends in dietary energy, carbohydrate, fat, and protein intake among Korean adults, 2010–2020 KHANES. Nutrition 2024, 121, 112360. [Google Scholar] [CrossRef]
- Kweon, S.; Park, J.Y.; Park, M.; Kim, Y.; Yeon, S.Y.; Yoon, L.; Yun, S.; Park, S.; Yang, J.E.; Kim, Y.; et al. Trends in food and nutrient intake over 20 years: Findings from the 1998–2018 Korea National Health and Nutrition Examination Survey. Epidemiol. Health 2021, 43, e2021027. [Google Scholar] [CrossRef] [PubMed]
- Yoon, S.R.; Choi, M.; Kim, O.Y. Effect of Breakfast Consumption and Meal Time Regularity on Nutrient Intake and Cardiometabolic Health in Korean Adults. J. Lipid Atheroscler. 2021, 10, 240–250. [Google Scholar] [CrossRef]
- Ekelund, U.; Steene-Johannessen, J.; Brown, W.J.; Fagerland, M.W.; Owen, N.; Powell, K.E.; Bauman, A.; Lee, I.M.; Lancet Physical Activity Series 2 Executive, C.; Lancet Sedentary Behaviour Working, G. Does physical activity attenuate, or even eliminate, the detrimental association of sitting time with mortality? A harmonised meta-analysis of data from more than 1 million men and women. Lancet 2016, 388, 1302–1310. [Google Scholar] [CrossRef]
- Goyal, J.; Rakhra, G. Sedentarism and Chronic Health Problems. Korean J. Fam. Med. 2024, 45, 239–257. [Google Scholar] [CrossRef]
- Sakai, Y.; Rahayu, Y.Y.S.; Zhao, Y.; Araki, T. Dietary pattern transition and its nutrient intakes and diet quality among Japanese population: Results from the 2003–2019 National Survey. Public Health Nutr. 2024, 27, e231. [Google Scholar] [CrossRef] [PubMed]
- Zhai, F.Y.; Du, S.F.; Wang, Z.H.; Zhang, J.G.; Du, W.W.; Popkin, B.M. Dynamics of the Chinese diet and the role of urbanicity, 1991–2011. Obes. Rev. 2014, 15 (Suppl. 1), 16–26. [Google Scholar] [CrossRef]
- Winkvist, A.; Klingberg, S.; Nilsson, L.M.; Wennberg, M.; Renstrom, F.; Hallmans, G.; Boman, K.; Johansson, I. Longitudinal 10-year changes in dietary intake and associations with cardio-metabolic risk factors in the Northern Sweden Health and Disease Study. Nutr. J. 2017, 16, 20. [Google Scholar] [CrossRef]
- Jo, G.; Park, D.; Lee, J.; Kim, R.; Subramanian, S.V.; Oh, H.; Shin, M.J. Trends in Diet Quality and Cardiometabolic Risk Factors Among Korean Adults, 2007–2018. JAMA Netw. Open 2022, 5, e2218297. [Google Scholar] [CrossRef]
- Yang, H.J.; Park, S.; Yoon, T.Y.; Ryoo, J.H.; Park, S.K.; Jung, J.Y.; Lee, J.H.; Oh, C.M. Nationwide changes in physical activity, nutrient intake, and obesity in South Korea during the COVID-19 pandemic era. Front. Endocrinol. 2022, 13, 965842. [Google Scholar] [CrossRef]
- von Elm, E.; Altman, D.G.; Egger, M.; Pocock, S.J.; Gotzsche, P.C.; Vandenbroucke, J.P.; Initiative, S. The Strengthening the Reporting of Observational Studies in Epidemiology (STROBE) statement: Guidelines for reporting observational studies. J. Clin. Epidemiol. 2008, 61, 344–349. [Google Scholar] [CrossRef]
- WHO. Obesity: Preventing and Managing the Global Epidemic. Report of a WHO Consultation; World Health Organization Technical Report Series; WHO: Geneva, Switzerland, 2000; Volume 894, pp. 1–253. [Google Scholar]
- Park, S.; Ahn, J.; Lee, B.K. Self-rated Subjective Health Status Is Strongly Associated with Sociodemographic Factors, Lifestyle, Nutrient Intakes, and Biochemical Indices, but Not Smoking Status: KNHANES 2007–2012. J. Korean Med. Sci. 2015, 30, 1279–1287. [Google Scholar] [CrossRef] [PubMed]
- Jeon, J.Y.; Kim, D.J.; Ko, S.H.; Kwon, H.S.; Lim, S.; Choi, S.H.; Kim, C.S.; An, J.H.; Kim, N.H.; Won, J.C.; et al. Current status of glycemic control of patients with diabetes in Korea: The fifth Korea national health and nutrition examination survey. Diabetes Metab. J. 2014, 38, 197–203. [Google Scholar] [CrossRef] [PubMed]
- Yi, D.W.; Khang, A.R.; Lee, H.W.; Son, S.M.; Kang, Y.H. Relative handgrip strength as a marker of metabolic syndrome: The Korea National Health and Nutrition Examination Survey (KNHANES) VI (2014–2015). Diabetes Metab. Syndr. Obes. 2018, 11, 227–240. [Google Scholar] [CrossRef]
- Ofori-Asenso, R.; Owen, A.J.; Liew, D. Skipping Breakfast and the Risk of Cardiovascular Disease and Death: A Systematic Review of Prospective Cohort Studies in Primary Prevention Settings. J. Cardiovasc. Dev. Dis. 2019, 6, 30. [Google Scholar] [CrossRef]
- Kant, A.K.; Whitley, M.I.; Graubard, B.I. Away from home meals: Associations with biomarkers of chronic disease and dietary intake in American adults, NHANES 2005–2010. Int. J. Obes. 2015, 39, 820–827. [Google Scholar] [CrossRef] [PubMed]
- Shan, Z.; Rehm, C.D.; Rogers, G.; Ruan, M.; Wang, D.D.; Hu, F.B.; Mozaffarian, D.; Zhang, F.F.; Bhupathiraju, S.N. Trends in Dietary Carbohydrate, Protein, and Fat Intake and Diet Quality Among US Adults, 1999–2016. JAMA 2019, 322, 1178–1187. [Google Scholar] [CrossRef]
- Bertheke Post, G.; de Vente, W.; Kemper, H.C.; Twisk, J.W. Longitudinal trends in and tracking of energy and nutrient intake over 20 years in a Dutch cohort of men and women between 13 and 33 years of age: The Amsterdam growth and health longitudinal study. Br. J. Nutr. 2001, 85, 375–385. [Google Scholar] [CrossRef]
- Sung, H.; Park, J.M.; Oh, S.U.; Ha, K.; Joung, H. Consumption of Ultra-Processed Foods Increases the Likelihood of Having Obesity in Korean Women. Nutrients 2021, 13, 698. [Google Scholar] [CrossRef]
- Monteiro, C.A.; Cannon, G.; Levy, R.B.; Moubarac, J.C.; Louzada, M.L.; Rauber, F.; Khandpur, N.; Cediel, G.; Neri, D.; Martinez-Steele, E.; et al. Ultra-processed foods: What they are and how to identify them. Public Health Nutr. 2019, 22, 936–941. [Google Scholar] [CrossRef] [PubMed]
- Song, S.; Shim, J.E.; Song, W.O. Trends in total fat and fatty acid intakes and chronic health conditions in Korean adults over 2007–2015. Public Health Nutr. 2019, 22, 1341–1350. [Google Scholar] [CrossRef] [PubMed]
- Oh, H.; Jo, G.; Kim, O.Y.; Lim, H.; Song, S.; Choi, J.H.; Bae, J.H.; Jin, E.S.; Kim, R.; Lee, Y.; et al. Fact sheet: Nationwide trends in dietary intakes among Korean adults, 2013–2022. Korean J. Intern. Med. 2025, 40, 427–437. [Google Scholar] [CrossRef]
- Bae, S.; Park, H. Composite Meal-Related Behaviors and Health Indicators: Insight from Large-Scale Nationwide Data on Korean Adults. Nutrients 2025, 17, 2982. [Google Scholar] [CrossRef]
- Bauer, J.; Biolo, G.; Cederholm, T.; Cesari, M.; Cruz-Jentoft, A.J.; Morley, J.E.; Phillips, S.; Sieber, C.; Stehle, P.; Teta, D.; et al. Evidence-based recommendations for optimal dietary protein intake in older people: A position paper from the PROT-AGE Study Group. J. Am. Med. Dir. Assoc. 2013, 14, 542–559. [Google Scholar] [CrossRef]
- Coelho-Junior, H.J.; Calvani, R.; Tosato, M.; Landi, F.; Picca, A.; Marzetti, E. Protein intake and physical function in older adults: A systematic review and meta-analysis. Ageing Res. Rev. 2022, 81, 101731. [Google Scholar] [CrossRef]
- Wycherley, T.P.; Moran, L.J.; Clifton, P.M.; Noakes, M.; Brinkworth, G.D. Effects of energy-restricted high-protein, low-fat compared with standard-protein, low-fat diets: A meta-analysis of randomized controlled trials. Am. J. Clin. Nutr. 2012, 96, 1281–1298. [Google Scholar] [CrossRef]
- Seidelmann, S.B.; Claggett, B.; Cheng, S.; Henglin, M.; Shah, A.; Steffen, L.M.; Folsom, A.R.; Rimm, E.B.; Willett, W.C.; Solomon, S.D. Dietary carbohydrate intake and mortality: A prospective cohort study and meta-analysis. Lancet Public Health 2018, 3, e419–e428. [Google Scholar] [CrossRef]
- Kim, H.C.; Cho, S.M.J.; Lee, H.; Lee, H.H.; Baek, J.; Heo, J.E.; Korean Society of Hypertension—Hypertension Epidemiology Research Working, G. Korea hypertension fact sheet 2020: Analysis of nationwide population-based data. Clin. Hypertens. 2021, 27, 8. [Google Scholar] [CrossRef]
- Cho, S.M.J.; Lee, H.; Lee, H.H.; Baek, J.; Heo, J.E.; Joo, H.J.; Hong, S.J.; Kim, H.C.; Korean Society of, L.; Atherosclerosis Public Relations, C. Dyslipidemia Fact Sheets in Korea 2020: An Analysis of Nationwide Population-based Data. J. Lipid Atheroscler. 2021, 10, 202–209. [Google Scholar] [CrossRef] [PubMed]
- Gao, Y.; Shah, L.M.; Ding, J.; Martin, S.S. US Trends in Cholesterol Screening, Lipid Levels, and Lipid-Lowering Medication Use in US Adults, 1999 to 2018. J. Am. Heart Assoc. 2023, 12, e028205. [Google Scholar] [CrossRef]
- Kim, H.M.; Kang, H.J.; Lee, D.H.; Jeong, S.M.; Joh, H.K. Association between breakfast frequency and metabolic syndrome among young adults in South Korea. Sci. Rep. 2023, 13, 16826. [Google Scholar] [CrossRef]
- Parker, J.; Kaur, S.; Medalla, J.M.; Imbert-Sanchez, A.; Bautista, J. Dietary trends among young adults during the COVID-19 lockdown: Socioeconomic and gender disparities. BMC Nutr. 2023, 9, 107. [Google Scholar] [CrossRef] [PubMed]
- Susanto, M.; Hubbard, R.E.; Gardiner, P.A. Association of 12-Year Trajectories of Sitting Time With Frailty in Middle-Aged Women. Am. J. Epidemiol. 2018, 187, 2387–2396. [Google Scholar] [CrossRef]
- Grontved, A.; Ried-Larsen, M.; Moller, N.C.; Kristensen, P.L.; Wedderkopp, N.; Froberg, K.; Hu, F.B.; Ekelund, U.; Andersen, L.B. Youth screen-time behaviour is associated with cardiovascular risk in young adulthood: The European Youth Heart Study. Eur. J. Prev. Cardiol. 2014, 21, 49–56. [Google Scholar] [CrossRef] [PubMed]


| Variables | Total | 2013–2015 | 2016–2018 | 2019–2021 | 2022 | p for Trend |
|---|---|---|---|---|---|---|
| Overall, n | 61,488 | 18,047 | 19,417 | 18,704 | 5320 | |
| Sex, weighted % (95% CI) | 0.286 | |||||
| Male | 44.2 (43.8 to 44.7) | 43.7 (42.9 to 44.4) | 44.3 (43.6 to 45.1) | 45.0 (44.2 to 45.7) | 43.4 (42.0 to 44.8) | |
| Female | 55.8 (55.3 to 56.2) | 56.3 (55.6 to 57.1) | 55.7 (54.9 to 56.4) | 55.0 (54.3 to 55.8) | 56.6 (55.2 to 58.0) | |
| Age group, weighted % (95% CI) | <0.001 | |||||
| Young adults (18–39 y) | 28.7 (28.3 to 29.1) | 30.4 (29.7 to 31.1) | 29.6 (28.9 to 30.3) | 27.0 (26.3 to 27.7) | 26.3 (25.1 to 27.6) | |
| Middle-aged (40–64 y) | 45.7 (45.3 to 46.1) | 45.4 (44.6 to 46.2) | 45.7 (44.9 to 46.4) | 46.1 (45.4 to 46.9) | 45.0 (44.2 to 45.7) | |
| Older adults (≥65 y) | 25.6 (25.2 to 26.0) | 24.2 (23.5 to 24.8) | 24.7 (24.0 to 25.3) | 26.9 (26.2 to 27.6) | 28.6 (27.3 to 29.9) | |
| Household income, weighted % (95% CI) | <0.001 | |||||
| Lowest quartile | 29.0 (28.6 to 29.4) | 27.5 (26.8 to 28.2) | 28.8 (28.1 to 29.5) | 30.2 (29.5 to 30.9) | 30.0 (28.7 to 31.3) | |
| Second quartile | 27.4 (27.0 to 27.8) | 27.2 (26.6 to 27.9) | 27.5 (26.8 to 28.2) | 27.3 (26.6 to 28.0) | 27.7 (26.4 to 29.0) | |
| Third quartile | 24.7 (24.3 to 25.0) | 25.5 (24.8 to 26.2) | 24.6 (23.9 to 25.2) | 24.3 (23.6 to 25.0) | 23.4 (22.2 to 24.6) | |
| Highest quartile | 19.0 (18.7 to 19.3) | 19.7 (19.1 to 20.3) | 19.1 (18.5 to 19.7) | 18.2 (17.7 to 18.7) | 18.9 (17.8 to 20.0) | |
| Living along, weighted % (95% CI) | <0.001 | |||||
| Yes | 12.1 (11.9 to 12.4) | 9.5 (9.1 to 10.0) | 12.1 (11.6 to 12.6) | 13.5 (13.0 to 14.1) | 15.6 (14.6 to 16.6) | |
| Vital signs & Anthropometry, weighted mean (95% CI) | ||||||
| SBP, mmHg | 117.7 (117.5 to 117.8) | 116.7 (116.4 to 117.0) | 117.6 (117.3 to 117.8) | 118.4 (118.2 to 118.7) | 118.6 (118.1 to 119.1) | <0.001 |
| BMI, kg/m2 | 24.0 (23.9 to 24.0) | 23.7 (23.7 to 23.8) | 23.9 (23.9 to 24.0) | 24.1 (24.0 to 24.2) | 24.2 (24.1 to 24.3) | <0.001 |
| Waist circumference, cm | 82.7 (82.6 to 82.8) | 81.3 (81.1 to 81.4) | 82.1 (82.0 to 82.3) | 84.1 (83.9 to 84.3) | 84.1 (83.8 to 84.5) | <0.001 |
| Nutrient intake, weighted mean (95% CI) | ||||||
| Total energy, kcal | 1984 (1975 to 1993) | 2087 (2070 to 2105) | 2023 (2007 to 2040) | 1904 (1888 to 1920) | 1823 (1798 to 1848) | <0.001 |
| Carbohydrate, % | 60.8 (60.7 to 61.0) | 62.8 (62.5 to 63.0) | 61.6 (61.4 to 61.9) | 59.2 (58.9 to 59.4) | 58.3 (57.8 to 58.7) | <0.001 |
| Protein, % | 14.5 (14.5 to 14.6) | 13.8 (13.7 to 13.8) | 14.4 (14.3 to 14.5) | 15.1 (15.0 to 15.1) | 15.4 (15.3 to 15.5) | <0.001 |
| Fat, % | 20.6 (20.5 to 20.7) | 19.0 (18.8 to 19.2) | 19.6 (19.4 to 19.8) | 22.2 (22.1 to 22.4) | 23.4 (23.1 to 23.7) | <0.001 |
| Saturated fatty, g/1000 kcal | 7.1 (7.1 to 7.2) | 6.1 (6.0 to 6.2) | 7.1 (7.0 to 7.2) | 7.9 (7.8 to 7.9) | 8.1 (8.0 to 8.3) | <0.001 |
| Cholesterol, mg/1000 kcal | 125.9 (124.9 to 126.9) | 118.7 (116.8 to 120.6) | 118.5 (116.9 to 120.2) | 133.7 (131.8 to 135.6) | 144.0 (140.8 to 147.1) | <0.001 |
| Biochemical marker, weighted mean (95% CI) | ||||||
| Fasting glucose, mg/dL | 100.1 (99.8 to 100.3) | 99.0 (98.6 to 99.4) | 99.9 (99.5 to 100.3) | 100.9 (100.6 to 101.3) | 100.5 (99.8 to 101.2) | <0.001 |
| Hemoglobin A1c, % | 5.7 (5.7 to 5.7) | 5.7 (5.7 to 5.7) | 5.6 (5.6 to 5.6) | 5.8 (5.7 to 5.8) | 5.6 (5.5 to 5.6) | <0.001 |
| Total cholesterol, mg/dL | 190.7 (190.3 to 191.0) | 187.7 (187.0 to 188.3) | 192.4 (191.8 to 193.0) | 191.6 (190.9 to 192.3) | 190.8 (189.6 to 192.0) | <0.001 |
| Triglycerides, mg/dL | 135.3 (134.1 to136.5) | 137.9 (135.6 to 140.2) | 138.1 (135.8 to 140.4) | 131.9 (129.9 to 133.9) | 130.4 (127.3 to 133.5) | <0.001 |
| Meal-related behavior, weighted % (95% CI) | ||||||
| Breakfast skipping, yes | 29.6 (29.2 to 30.1) | 25.0 (24.2 to 25.8) | 28.0 (27.1 to 28.8) | 33.9 (33.0 to 34.8) | 35.1 (33.6 to 36.7) | <0.001 |
| Frequent eating out, yes | 43.4 (42.9 to 43.9) | 43.8 (42.9 to 44.7) | 46.9 (46.0 to 47.8) | 41.5 (40.5 to 42.4) | 38.6 (37.0 to 40.2) | <0.001 |
| Physical activity, weighted mean (95% CI) | ||||||
| Sedentary time, hours/day | 8.3 (8.3 to 8.4) | 7.7 (7.6 to 7.8) | 8.2 (8.2 to 8.3) | 8.7 (8.6 to 8.8) | 8.9 (8.7 to 9.0) | <0.001 |
Disclaimer/Publisher’s Note: The statements, opinions and data contained in all publications are solely those of the individual author(s) and contributor(s) and not of MDPI and/or the editor(s). MDPI and/or the editor(s) disclaim responsibility for any injury to people or property resulting from any ideas, methods, instructions or products referred to in the content. |
© 2025 by the authors. Licensee MDPI, Basel, Switzerland. This article is an open access article distributed under the terms and conditions of the Creative Commons Attribution (CC BY) license (https://creativecommons.org/licenses/by/4.0/).
Share and Cite
Bae, S.; Park, H. Age-Stratified Trends in Nutrition and Lifestyle Transitions in Korea: Findings from KNHANES 2013–2022. Nutrients 2025, 17, 3282. https://doi.org/10.3390/nu17203282
Bae S, Park H. Age-Stratified Trends in Nutrition and Lifestyle Transitions in Korea: Findings from KNHANES 2013–2022. Nutrients. 2025; 17(20):3282. https://doi.org/10.3390/nu17203282
Chicago/Turabian StyleBae, Seongryu, and Hyuntae Park. 2025. "Age-Stratified Trends in Nutrition and Lifestyle Transitions in Korea: Findings from KNHANES 2013–2022" Nutrients 17, no. 20: 3282. https://doi.org/10.3390/nu17203282
APA StyleBae, S., & Park, H. (2025). Age-Stratified Trends in Nutrition and Lifestyle Transitions in Korea: Findings from KNHANES 2013–2022. Nutrients, 17(20), 3282. https://doi.org/10.3390/nu17203282

