Dietary Iron Intake and Mental and Behavioral Disorders Due to Use of Tobacco: A UK Biobank Study
Highlights
- Moderate iron intake reduced the risk of mental and behavioral disorders due to tobacco use.
- A similar L-shaped nonlinear association was found between dietary iron intake and mental and behavioral disorders due to tobacco use.
- The main findings highlight the role of dietary iron intake as a dietary protective factor in preventing mental and behavioral disorders due to tobacco use.
Abstract
1. Introduction
2. Materials and Methods
2.1. Study Participant and Design
2.2. Exposure
2.3. Outcome
2.4. Covariates
2.5. Statistical Analysis
3. Results
3.1. Participant Baseline Characteristics
3.2. Cross-Sectional Analysis
3.3. Cohort Analysis
3.4. Stratified Analysis
3.5. Sensitivity Analysis
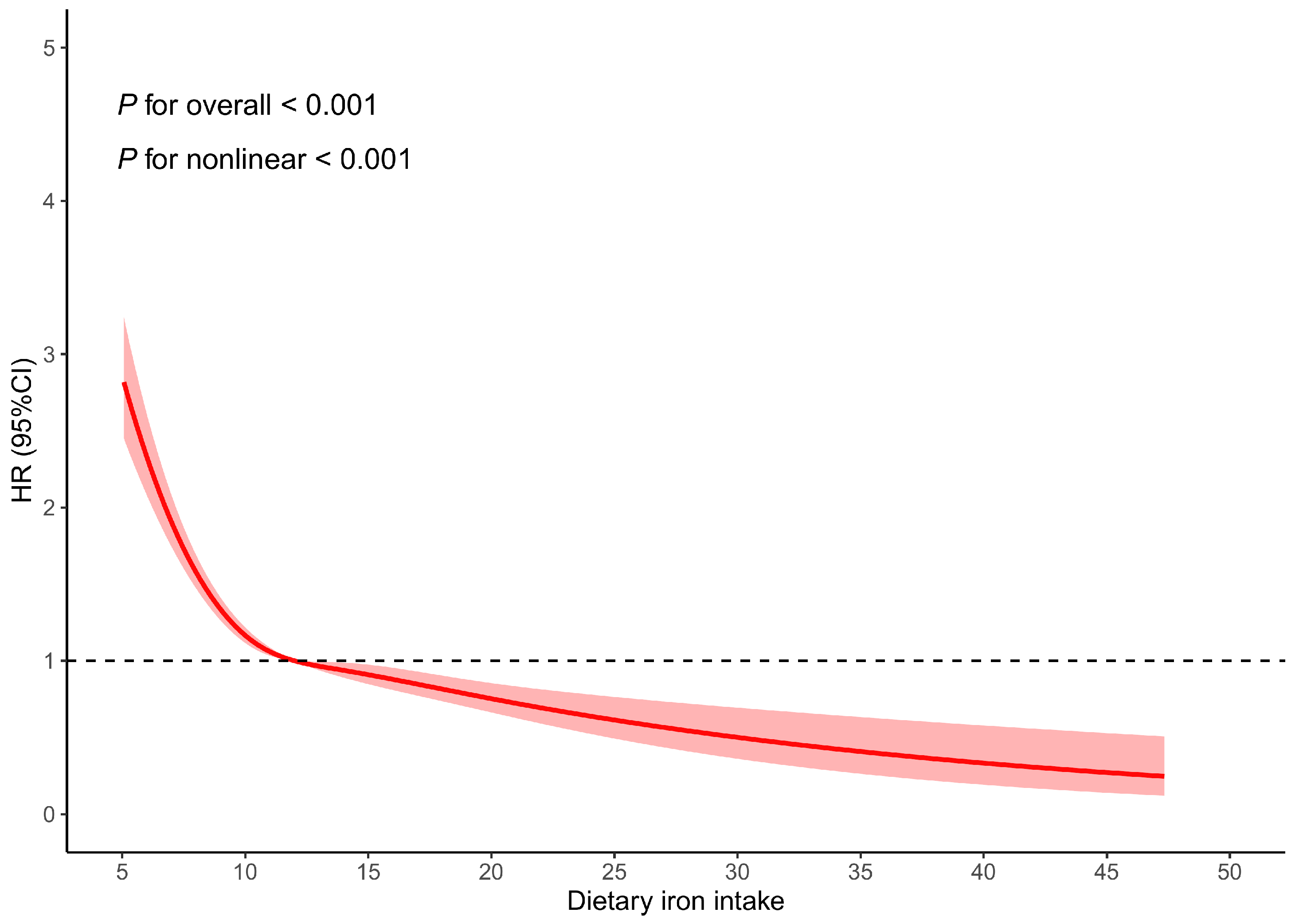
3.6. Restricted Cubic Spline
4. Discussion
5. Conclusions
Supplementary Materials
Author Contributions
Funding
Institutional Review Board Statement
Informed Consent Statement
Data Availability Statement
Acknowledgments
Conflicts of Interest
References
- Xiao, D.; Wang, C. Tobacco dependence should be recognised as a lethal non-communicable disease. BMJ 2019, 365, l2204. [Google Scholar] [CrossRef] [PubMed]
- Leiter, A.; Veluswamy, R.R.; Wisnivesky, J.P. The global burden of lung cancer: Current status and future trends. Nat. Rev. Clin. Oncol. 2023, 20, 624–639. [Google Scholar] [CrossRef] [PubMed]
- Padrão, E.; Oliveira, O.; Felgueiras, Ó.; Gaio, A.R.; Duarte, R. Tuberculosis and tobacco: Is there any epidemiological association? Eur. Respir. J. 2018, 51, 1702121. [Google Scholar] [CrossRef]
- Jouanne, M.; Oddoux, S.; Noël, A.; Voisin-Chiret, A.S. Nutrient Requirements during Pregnancy and Lactation. Nutrients 2021, 13, 692. [Google Scholar] [CrossRef]
- Joachim, G.E.; Bohnert, K.M.; As-Sanie, S.; Harris, H.R.; Upson, K. Cannabis smoking, tobacco cigarette smoking, and adenomyosis risk. Fertil. Steril. 2023, 119, 838–846. [Google Scholar] [CrossRef]
- Sargent, J.D.; Halenar, M.; Steinberg, A.W.; Ozga, J.; Tang, Z.; Stanton, C.A.; Paulin, L.M. Childhood Cigarette Smoking and Risk of Chronic Obstructive Pulmonary Disease in Older U.S. Adults. Am. J. Respir. Crit. Care Med. 2023, 208, 428–434. [Google Scholar] [CrossRef]
- International Classification of Diseases, 10th ed. Available online: https://icd.who.int/browse10/2019/en# (accessed on 2 December 2024).
- Carlin, J.B.; Gurrin, L.C.; Sterne, J.A.; Morley, R.; Dwyer, T. Regression models for twin studies: A critical review. Int. J. Epidemiol. 2005, 34, 1089–1099. [Google Scholar] [CrossRef]
- GBD 2019 Tobacco Collaborators. Spatial, temporal, and demographic patterns in prevalence of smoking tobacco use and attributable disease burden in 204 countries and territories, 1990–2019: A systematic analysis from the Global Burden of Disease Study 2019. Lancet 2021, 397, 2337–2360. [Google Scholar] [CrossRef]
- Behavioral Health & Tobacco Use. Available online: https://www.lung.org/quit-smoking/smoking-facts/impact-of-tobacco-use/behavioral-health-tobacco-use (accessed on 2 December 2024).
- Prochaska, J.J.; Das, S.; Young-Wolff, K.C. Smoking, Mental Illness, and Public Health. Annu. Rev. Public Health 2017, 38, 165–185. [Google Scholar] [CrossRef]
- Wittenberg, R.E.; Wolfman, S.L.; De Biasi, M.; Dani, J.A. Nicotinic acetylcholine receptors and nicotine addiction: A brief introduction. Neuropharmacology 2020, 177, 108256. [Google Scholar] [CrossRef]
- Mineur, Y.S.; Soares, A.R.; Etherington, I.M.; Abdulla, Z.I.; Picciotto, M.R. Pathophysiology of nAChRs: Limbic circuits and related disorders. Pharmacol. Res. 2023, 191, 106745. [Google Scholar] [CrossRef] [PubMed]
- Torti, S.V.; Manz, D.H.; Paul, B.T.; Blanchette-Farra, N.; Torti, F.M. Iron and Cancer. Annu. Rev. Nutr. 2018, 38, 97–125. [Google Scholar] [CrossRef] [PubMed]
- Liang, Y.; Luo, S.; Wong, T.H.T.; He, B.; Schooling, C.M.; Au Yeung, S.L. Association of iron homeostasis biomarkers in type 2 diabetes and glycaemic traits: A bidirectional two-sample Mendelian randomization study. Int. J. Epidemiol. 2023, 52, 1914–1925. [Google Scholar] [CrossRef] [PubMed]
- Tan, L.; Zhou, Q.; Liu, J.; Liu, Z.; Shi, R. Association of iron status with non-alcoholic fatty liver disease and liver fibrosis in US adults: A cross-sectional study from NHANES 2017–2018. Food Funct. 2023, 14, 5653–5662. [Google Scholar] [CrossRef]
- Xu, J.; Zhang, S.; Tian, Y.; Si, H.; Zeng, Y.; Wu, Y.; Liu, Y.; Li, M.; Sun, K.; Wu, L.; et al. Genetic Causal Association between Iron Status and Osteoarthritis: A Two-Sample Mendelian Randomization. Nutrients 2022, 14, 3683. [Google Scholar] [CrossRef]
- Qiu, J.; Lian, F.; Fang, X. Iron status and mental disorders: A Mendelian randomization study. Front. Nutr. 2022, 9, 1084860. [Google Scholar] [CrossRef]
- Hare, D.; Ayton, S.; Bush, A.; Lei, P. A delicate balance: Iron metabolism and diseases of the brain. Front. Aging Neurosci. 2013, 5, 34. [Google Scholar] [CrossRef]
- Shah, H.E.; Bhawnani, N.; Ethirajulu, A.; Alkasabera, A.; Onyali, C.B.; Anim-Koranteng, C.; Mostafa, J.A. Iron Deficiency-Induced Changes in the Hippocampus, Corpus Striatum, and Monoamines Levels That Lead to Anxiety, Depression, Sleep Disorders, and Psychotic Disorders. Cureus 2021, 13, e18138. [Google Scholar] [CrossRef]
- Kunugi, H. Depression and lifestyle: Focusing on nutrition, exercise, and their possible relevance to molecular mechanisms. Psychiatry Clin. Neurosci. 2023, 77, 420–433. [Google Scholar] [CrossRef]
- Yao, S.; Zhong, Y.; Xu, Y.; Qin, J.; Zhang, N.; Zhu, X.; Li, Y. Quantitative Susceptibility Mapping Reveals an Association between Brain Iron Load and Depression Severity. Front. Hum. Neurosci. 2017, 11, 442. [Google Scholar] [CrossRef]
- Islam, M.R.; Islam, M.R.; Shalahuddin Qusar, M.M.A.; Islam, M.S.; Kabir, M.H.; Mustafizur Rahman, G.K.M.; Islam, M.S.; Hasnat, A. Alterations of serum macro-minerals and trace elements are associated with major depressive disorder: A case-control study. BMC Psychiatry 2018, 18, 94. [Google Scholar] [CrossRef] [PubMed]
- McGrath, J.; Brown, A.; St Clair, D. Prevention and schizophrenia—the role of dietary factors. Schizophr. Bull. 2011, 37, 272–283. [Google Scholar] [CrossRef] [PubMed]
- Galante, J.; Adamska, L.; Young, A.; Young, H.; Littlejohns, T.J.; Gallacher, J.; Allen, N. The acceptability of repeat Internet-based hybrid diet assessment of previous 24-h dietary intake: Administration of the Oxford WebQ in UK Biobank. Br. J. Nutr. 2016, 115, 681–686. [Google Scholar] [CrossRef] [PubMed]
- Liu, B.; Young, H.; Crowe, F.L.; Benson, V.S.; Spencer, E.A.; Key, T.J.; Appleby, P.N.; Beral, V. Development and evaluation of the Oxford WebQ, a low-cost, web-based method for assessment of previous 24 h dietary intakes in large-scale prospective studies. Public Health Nutr. 2011, 14, 1998–2005. [Google Scholar] [CrossRef]
- Perez-Cornago, A.; Pollard, Z.; Young, H.; van Uden, M.; Andrews, C.; Piernas, C.; Key, T.J.; Mulligan, A.; Lentjes, M. Description of the updated nutrition calculation of the Oxford WebQ questionnaire and comparison with the previous version among 207,144 participants in UK Biobank. Eur. J. Nutr. 2021, 60, 4019–4030. [Google Scholar] [CrossRef]
- Xiang, A.H.; Martinez, M.P.; Chow, T.; Carter, S.A.; Negriff, S.; Velasquez, B.; Spitzer, J.; Zuberbuhler, J.C.; Zucker, A.; Kumar, S. Depression and Anxiety Among US Children and Young Adults. JAMA Netw. Open 2024, 7, e2436906. [Google Scholar] [CrossRef]
- Queiroga, L.L.; Kaufmann, O.; Ritti-Dias, R.M.; da Cunha, P.M.; Minanni, C.A.; Pitta, R.M.; Wolosker, N. Physical activity levels are associated with depressive symptoms: A cross-sectional study of 58,445 adults. J. Affect. Disord. 2025, 369, 298–302. [Google Scholar] [CrossRef]
- Dakanalis, A.; Mentzelou, M.; Papadopoulou, S.K.; Papandreou, D.; Spanoudaki, M.; Vasios, G.K.; Pavlidou, E.; Mantzorou, M.; Giaginis, C. The Association of Emotional Eating with Overweight/Obesity, Depression, Anxiety/Stress, and Dietary Patterns: A Review of the Current Clinical Evidence. Nutrients 2023, 15, 1173. [Google Scholar] [CrossRef]
- Qi, X.; Jia, Y.; Pan, C.; Li, C.; Wen, Y.; Hao, J.; Liu, L.; Cheng, B.; Cheng, S.; Yao, Y.; et al. Index of multiple deprivation contributed to common psychiatric disorders: A systematic review and comprehensive analysis. Neurosci. Biobehav. Rev. 2022, 140, 104806. [Google Scholar] [CrossRef]
- Wang, G.; Sabran, K. Assessing depression and anxiety among young adults after epidemics and pandemics: A cross-sectional study in Anyang, China. Sci. Rep. 2024, 14, 2759. [Google Scholar] [CrossRef]
- Lee, S.K.; Kwon, Y.J. Socioeconomic disparities in alcohol-related depression: A national cohort study of low-income medical aid beneficiaries and national health insurance beneficiaries in Korea. BMC Public Health 2024, 24, 2189. [Google Scholar] [CrossRef] [PubMed]
- Menzies, V.; Webb, F.; Lyon, D.E.; Pruinelli, L.; Kelly, D.L.; Jacobs, M. Anxiety and depression among individuals with long COVID: Associations with social vulnerabilities. J. Affect. Disord. 2024, 367, 286–296. [Google Scholar] [CrossRef] [PubMed]
- Huang, H.; Meng, F.; Qi, Y.; Yan, X.; Qi, J.; Wu, Y.; Lin, Y.; Chen, X.; He, F. Association of hypertension and depression with mortality: An exploratory study with interaction and mediation models. BMC Public Health 2024, 24, 1068. [Google Scholar] [CrossRef] [PubMed]
- Chieh, A.; Chu, J.; Wallace, L.A.; Li, L.; Xie, R. Depression prevalence, screening, and treatment in adult outpatients with type 1 and type 2 diabetes: A nationally representative cross-sectional study (National Ambulatory Medical Care Survey 2014–2019). J. Affect. Disord. 2025, 368, 471–476. [Google Scholar] [CrossRef] [PubMed]
- Cassidy, S.; Chau, J.Y.; Catt, M.; Bauman, A.; Trenell, M.I. Cross-sectional study of diet, physical activity, television viewing and sleep duration in 233,110 adults from the UK Biobank; the behavioural phenotype of cardiovascular disease and type 2 diabetes. BMJ Open 2016, 6, e010038. [Google Scholar] [CrossRef]
- Liu, S.; Chen, J.; Guan, L.; Xu, L.; Cai, H.; Wang, J.; Zhu, D.M.; Zhu, J.; Yu, Y. The brain, rapid eye movement sleep, and major depressive disorder: A multimodal neuroimaging study. Prog. Neuropsychopharmacol. Biol. Psychiatry 2024, 136, 111151. [Google Scholar] [CrossRef]
- Chen, M.H.; Su, T.P.; Chen, Y.S.; Hsu, J.W.; Huang, K.L.; Chang, W.H.; Chen, T.J.; Bai, Y.M. Association between psychiatric disorders and iron deficiency anemia among children and adolescents: A nationwide population-based study. BMC Psychiatry 2013, 13, 161. [Google Scholar] [CrossRef]
- Stewart, R.; Hirani, V. Relationship between depressive symptoms, anemia, and iron status in older residents from a national survey population. Psychosom. Med. 2012, 74, 208–213. [Google Scholar] [CrossRef]
- Lee, H.S.; Chao, H.H.; Huang, W.T.; Chen, S.C.; Yang, H.Y. Psychiatric disorders risk in patients with iron deficiency anemia and association with iron supplementation medications: A nationwide database analysis. BMC Psychiatry 2020, 20, 216. [Google Scholar] [CrossRef]
- Beard, J.L.; Erikson, K.M.; Jones, B.C. Neurobehavioral analysis of developmental iron deficiency in rats. Behav. Brain Res. 2002, 134, 517–524. [Google Scholar] [CrossRef]
- Benowitz, N.L. Nicotine addiction. N. Engl. J. Med. 2010, 362, 2295–2303. [Google Scholar] [CrossRef] [PubMed]
- Bullen, C. Electronic cigarettes for smoking cessation. Curr. Cardiol. Rep. 2014, 16, 538. [Google Scholar] [CrossRef] [PubMed]
- Arastoo, S.; Haptonstall, K.P.; Choroomi, Y.; Moheimani, R.; Nguyen, K.; Tran, E.; Gornbein, J.; Middlekauff, H.R. Acute and chronic sympathomimetic effects of e-cigarette and tobacco cigarette smoking: Role of nicotine and non-nicotine constituents. Am. J. Physiol. Heart Circ. Physiol. 2020, 319, H262–H270. [Google Scholar] [CrossRef] [PubMed]
- Drug and Therapeutics Bulletin. Republished: Nicotine and health. BMJ 2014, 349, 2014.7.0264rep. [Google Scholar]
- Martin-Soelch, C. Neuroadaptive changes associated with smoking: Structural and functional neural changes in nicotine dependence. Brain Sci. 2013, 3, 159–176. [Google Scholar] [CrossRef]
- Burhans, M.S.; Dailey, C.; Beard, Z.; Wiesinger, J.; Murray-Kolb, L.; Jones, B.C.; Beard, J.L. Iron deficiency: Differential effects on monoamine transporters. Nutr. Neurosci. 2005, 8, 31–38. [Google Scholar] [CrossRef]
- Youdim, M.B.; Ben-Shachar, D.; Yehuda, S. Putative biological mechanisms of the effect of iron deficiency on brain biochemistry and behavior. Am. J. Clin. Nutr. 1989, 50, 607–615, discussion 15–17. [Google Scholar] [CrossRef]
- Daubner, S.C.; Le, T.; Wang, S. Tyrosine hydroxylase and regulation of dopamine synthesis. Arch. Biochem. Biophys. 2011, 508, 1–12. [Google Scholar] [CrossRef]
- Tekin, I.; Roskoski, R., Jr.; Carkaci-Salli, N.; Vrana, K.E. Complex molecular regulation of tyrosine hydroxylase. J. Neural Transm. 2014, 121, 1451–1481. [Google Scholar] [CrossRef]


| Characteristic | Dietary Iron Intake (mg/day) | p for Groups | |||
|---|---|---|---|---|---|
| Q1 ≤9.35 | Q2 >9.35 and ≤12.04 | Q3 >12.04 and ≤15.10 | Q4 >15.10 | ||
| Age (mean (SD)) | 55.79 (8.24) | 56.55 (8.05) | 56.70 (8.10) | 56.58 (8.23) | <0.001 |
| Sex (N (%)) | <0.001 | ||||
| Female | 8183 (29.66%) | 7468 (27.07%) | 6712 (24.33%) | 5223 (18.93%) | |
| Male | 4548 (19.49%) | 5262 (22.55%) | 6018 (25.79%) | 7507 (32.17%) | |
| Ethnicity (N (%)) | <0.001 | ||||
| White | 11,527 (24.05%) | 12,089 (25.23%) | 12,182 (25.42%) | 12,125 (25.3%) | |
| Other | 1204 (40.16%) | 641 (21.38%) | 548 (18.28%) | 605 (20.18%) | <0.001 |
| BMI (mean (SD)) | 27.50 (5.00) | 27.03 (4.64) | 27.03 (4.61) | 27.17 (4.66) | |
| Physical activity level (N (%)) | <0.001 | ||||
| Low | 2550 (29.16%) | 2229 (25.49%) | 2052 (23.46%) | 1915 (21.90%) | |
| Moderate | 5301 (25.20%) | 5360 (25.48%) | 5352 (25.44%) | 5021 (23.87%) | |
| High | 4880 (23.08%) | 5141 (24.32%) | 5326 (25.19%) | 5794 (27.41%) | |
| Energy intake (mean (SD)) | |||||
| All | 6085.99 (1763.05) | 7872.04 (1729.02) | 9136.24 (1931.98) | 11,640.68 (3042.33) | <0.001 |
| Female | 5926.63 (1686.01) | 7610.64 (1643.24) | 8728.24 (1794.75) | 10,848.70 (2695.20) | <0.001 |
| Male | 6372.72 (1859.90) | 8243.04 (1779.31) | 9591.29 (1977.57) | 12,191.71 (3146.82) | <0.001 |
| TDI (mean (SD)) | −1.04 (2.94) | −1.44 (2.74) | −1.47 (2.74) | −1.34 (2.79) | <0.001 |
| Education qualifications (N (%)) | <0.001 | ||||
| College and above | 4980 (21.87%) | 5672 (24.91%) | 5917 (25.98%) | 6203 (27.24%) | |
| Below College | 7751 (27.54%) | 7058 (25.07%) | 6813 (24.20%) | 6527 (23.19%) | |
| Alcohol consumption (N (%)) | |||||
| All | <0.001 | ||||
| Never | 658 (36.04%) | 438 (23.99%) | 400 (21.91%) | 330 (18.07%) | |
| Previous | 594 (33.07%) | 424 (23.61%) | 385 (21.44%) | 393 (21.88%) | |
| Current | 11,479 (24.27%) | 11,868 (25.09%) | 11,945 (25.25%) | 12,007 (25.39%) | |
| Female | <0.001 | ||||
| Never | 498 (37.67%) | 313 (23.68%) | 287 (21.71%) | 224 (16.94%) | |
| Previous | 350 (35.07%) | 245 (24.55%) | 221 (22.14%) | 182 (18.24%) | |
| Current | 7335 (29.03%) | 6910 (27.35%) | 6204 (24.55%) | 4817 (19.07%) | |
| Male | <0.001 | ||||
| Never | 160 (31.75%) | 125 (24.80%) | 113 (22.42%) | 106 (21.03%) | |
| Previous | 244 (30.58%) | 179 (22.43%) | 164 (20.55%) | 211 (26.44%) | |
| Current | 4144 (18.81%) | 4958 (22.50%) | 5741 (26.06%) | 7190 (32.63%) | |
| Employment status (N (%)) | <0.001 | ||||
| Full-time work | 7610 (25.75%) | 7445 (25.19%) | 7268 (24.59%) | 7232 (24.47%) | |
| Non-full-time work | 5121 (23.97%) | 5285 (24.74%) | 5462 (25.56%) | 5498 (25.73%) | |
| Hypertension (N (%)) | 0.083 | ||||
| Yes | 3662 (24.92%) | 3621 (24.64%) | 3628 (24.69%) | 3784 (25.75%) | |
| No | 9069 (25.03%) | 9109 (25.14%) | 9102 (25.13%) | 8946 (24.69%) | |
| Stroke (N (%)) | 0.685 | ||||
| Yes | 266 (25.29%) | 252 (23.95%) | 256 (24.33%) | 278 (26.43%) | |
| No | 12,465 (25.00%) | 12,478 (25.02%) | 12,474 (25.01%) | 12,452 (24.97%) | |
| Diabetes (N (%)) | 0.040 | ||||
| Yes | 685 (26.13%) | 641 (24.45%) | 604 (23.04%) | 692 (26.39%) | |
| No | 12,046 (24.94%) | 12,089 (25.03%) | 12,126 (25.11%) | 12,038 (24.92%) | <0.001 |
| Model | Q2 | Q3 | Q4 | |||
|---|---|---|---|---|---|---|
| OR (95% CI) | p-Value | OR (95% CI) | p-Value | OR (95% CI) | p-Value | |
| Model 1 | 0.42 (0.22–0.80) | 0.008 | 0.29 (0.14–0.61) | 0.001 | 0.55 (0.30–0.99) | 0.046 |
| Model 2 | 0.44 (0.23–0.85) | 0.014 | 0.29 (0.14–0.62) | 0.001 | 0.51 (0.28–0.94) | 0.030 |
| Model 3 | 0.42 (0.21–0.83) | 0.013 | 0.27 (0.12–0.61) | 0.002 | 0.43 (0.18–1.01) | 0.053 |
| Model 4 | 0.42 (0.21–0.83) | 0.012 | 0.26 (0.12–0.60) | 0.001 | 0.41 (0.18–0.98) | 0.044 |
| Model | Q2 | Q3 | Q4 | ||||||
|---|---|---|---|---|---|---|---|---|---|
| HR (95% CI) | p-Value | RR (95% CI) | HR (95% CI) | p-Value | RR (95% CI) | HR (95% CI) | p-Value | RR (95% CI) | |
| Model 1 | 0.60 (0.53–0.68) | <0.001 | 0.64 (0.57–0.72) | 0.59 (0.52–0.67) | <0.001 | 0.69 (0.61–0.77) | 0.50 (0.43–0.59) | <0.001 | 0.74 (0.66–0.83) |
| Model 2 | 0.67 (0.59–0.75) | <0.001 | 0.70 (0.63–0.79) | <0.001 | 0.71 (0.63–0.79) | <0.001 | |||
| Model 3 | 0.60 (0.53–0.68) | <0.001 | 0.59 (0.52–0.67) | <0.001 | 0.50 (0.43–0.59) | <0.001 | |||
| Model 4 | 0.60 (0.53–0.68) | <0.001 | 0.59 (0.52–0.67) | <0.001 | 0.50 (0.43–0.58) | <0.001 | |||
Disclaimer/Publisher’s Note: The statements, opinions and data contained in all publications are solely those of the individual author(s) and contributor(s) and not of MDPI and/or the editor(s). MDPI and/or the editor(s) disclaim responsibility for any injury to people or property resulting from any ideas, methods, instructions or products referred to in the content. |
© 2024 by the authors. Licensee MDPI, Basel, Switzerland. This article is an open access article distributed under the terms and conditions of the Creative Commons Attribution (CC BY) license (https://creativecommons.org/licenses/by/4.0/).
Share and Cite
Qi, X.; Zhang, R.; Zhu, H.; Luo, J.; Zhang, Q.; Wang, W.; Wang, T.; Zhang, D. Dietary Iron Intake and Mental and Behavioral Disorders Due to Use of Tobacco: A UK Biobank Study. Nutrients 2025, 17, 39. https://doi.org/10.3390/nu17010039
Qi X, Zhang R, Zhu H, Luo J, Zhang Q, Wang W, Wang T, Zhang D. Dietary Iron Intake and Mental and Behavioral Disorders Due to Use of Tobacco: A UK Biobank Study. Nutrients. 2025; 17(1):39. https://doi.org/10.3390/nu17010039
Chicago/Turabian StyleQi, Xueting, Ronghui Zhang, Hailong Zhu, Jia Luo, Qiuge Zhang, Weijing Wang, Tong Wang, and Dongfeng Zhang. 2025. "Dietary Iron Intake and Mental and Behavioral Disorders Due to Use of Tobacco: A UK Biobank Study" Nutrients 17, no. 1: 39. https://doi.org/10.3390/nu17010039
APA StyleQi, X., Zhang, R., Zhu, H., Luo, J., Zhang, Q., Wang, W., Wang, T., & Zhang, D. (2025). Dietary Iron Intake and Mental and Behavioral Disorders Due to Use of Tobacco: A UK Biobank Study. Nutrients, 17(1), 39. https://doi.org/10.3390/nu17010039

