Growth, Safety and Tolerance in Infants Fed Rice Protein Hydrolysate Formula: The GRITO Randomised Controlled Trial
Abstract
1. Introduction
2. Materials and Methods
2.1. Study Design
2.2. Study Population
2.3. Investigational Products
2.4. Randomisation Procedures and Blinding
2.5. Study Procedures
2.6. Study Variables
2.7. Statistical Analyses
3. Results
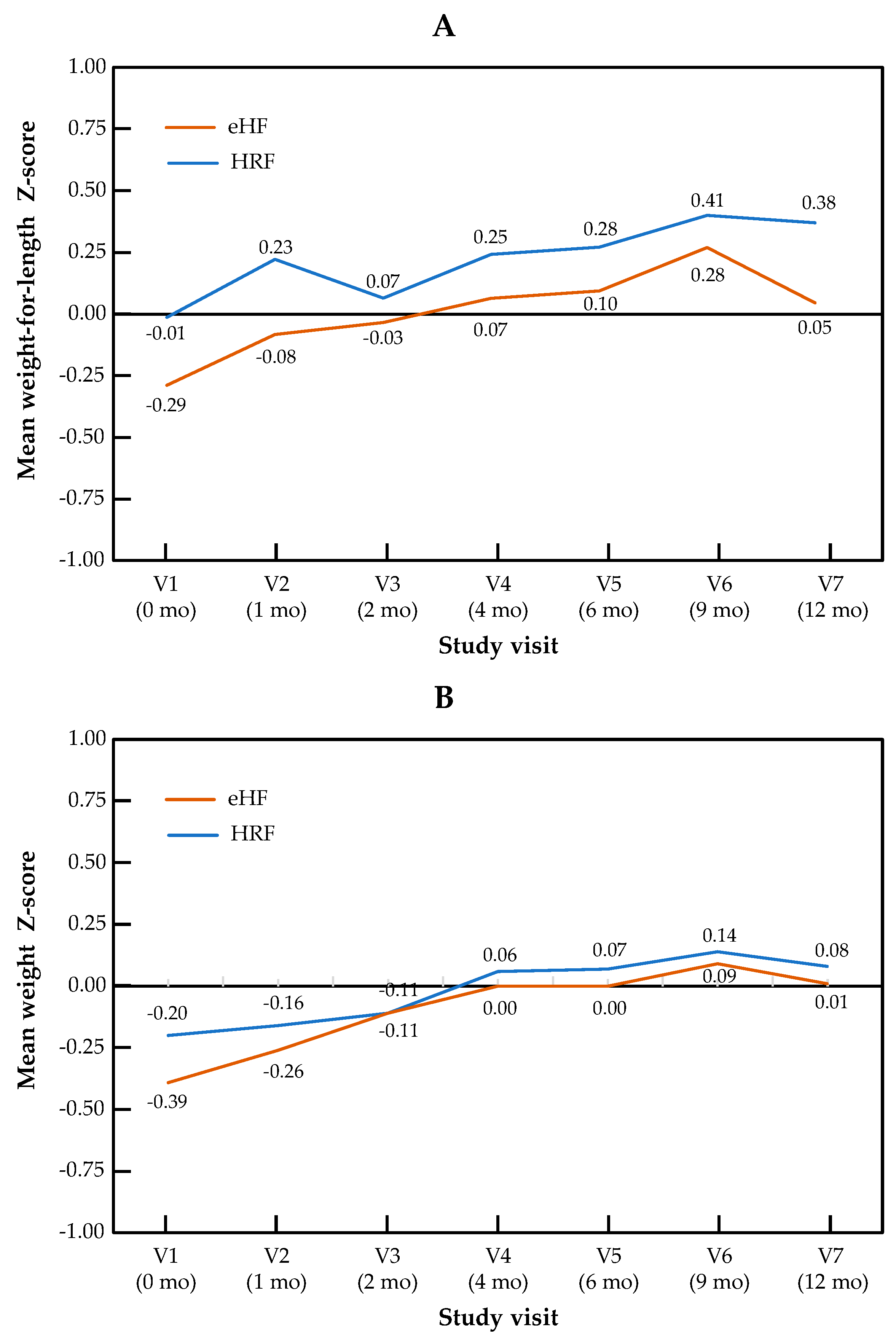
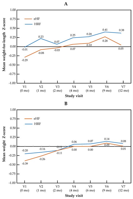
3.1. Primary Outcome Measure
3.2. Secondary Anthropometric Outcome Measures
3.3. Tolerance to Cow’s Milk Proteins
3.4. Digestive Tolerance
3.5. Arsenic
3.6. Adverse Events
4. Discussion
5. Conclusions
Supplementary Materials
Author Contributions
Funding
Institutional Review Board Statement
Informed Consent Statement
Data Availability Statement
Conflicts of Interest
References
- Vandenplas, Y.; Broekaert, I.; Domellöf, M.; Indrio, F.; Lapillonne, A.; Pienar, C.; Ribes-Koninckx, C.; Shamir, R.; Szajewska, H.; Thapar, N.; et al. An ESPGHAN position paper on the diagnosis, management and prevention of cow’s milk allergy. J. Pediatr. Gastroenterol. Nutr. 2023, 78, 386–413. [Google Scholar] [CrossRef] [PubMed]
- Vandenplas, Y.; Castrellon, P.G.; Rivas, R.; Gutierrez, C.J.; Garcia, L.D.; Jimenez, J.E.; Anzo, A.; Hegar, B.; Alarcon, P. Safety of soya-based infant formulas in children. Br. J. Nutr. 2014, 111, 1340–1360. [Google Scholar] [CrossRef]
- Agostoni, C.; Fiocchi, A.; Riva, E.; Terracciano, L.; Sarratud, T.; Martelli, A.; Lodi, F.; D’Auria, E.; Zuccotti, G.; Giovannini, M. Growth of infants with IgE-mediated cow’s milk allergy fed different formulas in the complementary feeding period. Pediatr. Allergy Immunol. 2007, 18, 599–606. [Google Scholar] [CrossRef]
- Zeiger, R.S.; Sampson, H.A.; Bock, S.A.; Burks, A.W., Jr.; Harden, K.; Noone, S.; Martin, D.; Leung, S.; Wilson, G. Soy allergy in infants and children with IgE-associated cow’s milk allergy. J. Pediatr. 1999, 134, 614–622. [Google Scholar] [CrossRef] [PubMed]
- Klemola, T.; Vanto, T.; Juntunen-Backman, K.; Kalimo, K.; Korpela, R.; Varjonen, E. Allergy to soy formula and to extensively hydrolyzed whey formula in infants with cow’s milk allergy: A prospective, randomized study with a follow-up to the age of 2 years. J. Pediatr. 2002, 140, 219–224. [Google Scholar] [CrossRef] [PubMed]
- Bhatia, J.; Greer, F.; The Committee on Nutrition. Use of soy protein-based formulas in infant feeding. Pediatrics 2008, 121, 1062–1068. [Google Scholar] [CrossRef]
- Vita, D.; Passalacqua, G.; Di Pasquale, G.; Caminiti, L.; Crisafulli, G.; Rulli, I.; Pajno, G.B. Ass’s milk in children with atopic dermatitis and cow’s milk allergy: Crossover comparison with goat’s milk. Pediatr. Allergy Immunol. 2007, 18, 594–598. [Google Scholar] [CrossRef]
- Jarvinen, K.M.; Chatchatee, P. Mammalian milk allergy: Clinical suspicion, cross-reactivities and diagnosis. Curr. Opin. Allergy Clin. Immunol. 2009, 9, 251–258. [Google Scholar] [CrossRef] [PubMed]
- Savino, F.; Castagno, E.; Monti, G.; Serraino, P.; Peltran, A.; Oggero, R.; Fanaro, S.; Vigi, V.; Silvestro, L. Z-score of weight for age of infants with atopic dermatitis and cow’s milk allergy fed with a rice-hydrolysate formula during the first two years of life. Acta Paediatr. 2005, 94, 115–119. [Google Scholar] [CrossRef]
- Hojsak, I.; Braegger, C.; Bronsky, J.; Campoy, C.; Colomb, V.; Decsi, T.; Domellof, M.; Fewtrell, M.; Mis, N.F.; Mihatsch, W.; et al. Arsenic in rice: A cause for concern. J. Pediatr. Gastroenterol. Nutr. 2015, 60, 142–145. [Google Scholar] [CrossRef]
- Lasekan, J.B.; Koo, W.W.; Walters, J.; Neylan, M.; Luebbers, S. Growth, tolerance and biochemical measures in healthy infants fed a partially hydrolyzed rice protein-based formula: A randomized, blinded, prospective trial. J. Am. Coll. Nutr. 2006, 25, 12–19. [Google Scholar] [CrossRef] [PubMed]
- Girardet, J.P.; Rivero, M.; Orbegozo, J.; David, T.; Boulanger, S.; Moisson de Vaux, A.; Johnston, S.; Marin, V. Growth and tolerance in infants fed an infant formula based on hydrolyzed rice proteins. Arch. Pediatr. Organe Off. Soc. Fr. Pediatr. 2013, 20, 323–328. [Google Scholar] [CrossRef]
- Reche, M.; Pascual, C.; Fiandor, A.; Polanco, I.; Rivero-Urgell, M.; Chifre, R.; Johnston, S.; Martin-Esteban, M. The effect of a partially hydrolysed formula based on rice protein in the treatment of infants with cow’s milk protein allergy. Pediatr. Allergy Immunol. 2010, 21, 577–585. [Google Scholar] [CrossRef]
- Dupont, C.; Bocquet, A.; Tome, D.; Bernard, M.; Campeotto, F.; Dumond, P.; Essex, A.; Frelut, M.L.; Guenard-Bilbault, L.; Lack, G.; et al. Hydrolyzed Rice Protein-Based Formulas, a Vegetal Alternative in Cow’s Milk Allergy. Nutrients 2020, 12, 2654. [Google Scholar] [CrossRef] [PubMed]
- Berni Canani, R.; Nocerino, R.; Terrin, G.; Frediani, T.; Lucarelli, S.; Cosenza, L.; Passariello, A.; Leone, L.; Granata, V.; Di Costanzo, M.; et al. Formula selection for management of children with cow’s milk allergy influences the rate of acquisition of tolerance: A prospective multicenter study. J. Pediatr. 2013, 163, 771–777.e1. [Google Scholar] [CrossRef] [PubMed]
- Terracciano, L.; Bouygue, G.R.; Sarratud, T.; Veglia, F.; Martelli, A.; Fiocchi, A. Impact of dietary regimen on the duration of cow’s milk allergy: A random allocation study. Clin. Exp. Allergy 2010, 40, 637–642. [Google Scholar] [CrossRef]
- Sampson, H.A. Anaphylaxis and emergency treatment. Pediatrics 2003, 111, 1601–1608. [Google Scholar] [CrossRef] [PubMed]
- Bock, S.A.; Sampson, H.A.; Atkins, F.M.; Zeiger, R.S.; Lehrer, S.; Sachs, M.; Bush, R.K.; Metcafe, D.D. Double-blind, placebo-controlled food challenge (DBPCFC) as an office procedure: A manual. J. Allergy Clin. Immunol. 1988, 82, 986–997. [Google Scholar] [CrossRef] [PubMed]
- Turjanmaa, K. “Atopy patch tests” in the diagnosis of delayed food hypersensitivity. Allerg. Immunol. 2002, 34, 95–97. [Google Scholar]
- The WHO Multicentre Growth Reference Study (MGRS). WHO Child Growth Standards: Length/Height-for-Age, Weight-for-Age, Weight-for-Length, Weight-for Height and Body Mass Index-for-Age: Methods and Development; WHO Library Cataloguing-in-Publication Data. World Health Organization: Geneva, Switzerland, 2006; Available online: https://www.who.int/publications/i/item/924154693X (accessed on 27 December 2024).
- Cole, T.J.; Freeman, J.V.; Preece, M.A. British 1990 growth reference centiles for weight, height, body mass index and head circumference fitted by maximum penalized likelihood. Stat. Med. 1998, 17, 407–429. [Google Scholar] [CrossRef]
- StataCorp. Stata 17 Base Reference Manual; Stata Press: College Station, TX, USA, 2021. [Google Scholar]
- Fiocchi, A.; Bognanni, A.; Brozek, J.; Ebisawa, M.; Schunemann, H.; the WAO DRACMA guideline group. World Allergy Organization (WAO) Diagnosis and Rationale for Action against Cow’s Milk Allergy (DRACMA) Guidelines update—I—Plan and definitions. World Allergy Organ. J. 2022, 15, 100609. [Google Scholar] [CrossRef]
- Keller, M.D.; Shuker, M.; Heimall, J.; Cianferoni, A. Severe malnutrition resulting from use of rice milk in food elimination diets for atopic dermatitis. Isr. Med. Assoc. J. 2012, 14, 40–42. [Google Scholar] [PubMed]
- Fiocchi, A.; Schunemann, H.J.; Brozek, J.; Restani, P.; Beyer, K.; Troncone, R.; Martelli, A.; Terracciano, L.; Bahna, S.L.; Rance, F.; et al. Diagnosis and Rationale for Action Against Cow’s Milk Allergy (DRACMA): A summary report. J. Allergy Clin. Immunol. 2010, 126, 1119–1128.e12. [Google Scholar] [CrossRef] [PubMed]
- European Commission Publication Office. Commission Regulation (EU) 2023/915 of 25 April 2023 on Maximum Levels for Certain Contaminants in Food and Repealing Regulation (EC) No 1881/2006; EU: Brussels, Belgium, 2023. [Google Scholar]
- EFSA Panel on Contaminants in the Food Chain (CONTAM). Scientific Opinion on Arsenic in Food. EFSA J. 2009, 7, 1351. [Google Scholar] [CrossRef]
- Schoemaker, A.A.; Sprikkelman, A.B.; Grimshaw, K.E.; Roberts, G.; Grabenhenrich, L.; Rosenfeld, L.; Siegert, S.; Dubakiene, R.; Rudzeviciene, O.; Reche, M.; et al. Incidence and natural history of challenge-proven cow’s milk allergy in European children—EuroPrevall birth cohort. Allergy 2015, 70, 963–972. [Google Scholar] [CrossRef] [PubMed]







| Variable | HRF | eHF |
|---|---|---|
| Age at baseline (months) Mean ± SD | n = 50 6.8 ± 2.2 | n = 55 6.4 ± 2.4 |
| Gender, n (%) Male | n = 50 24 (48.0%) | n = 55 35 (63.6%) |
| Weight (kg) Mean ± SD | n = 44 7.686 ±1.274 | n = 48 7.406 ± 1.314 |
| Length (cm) Mean ± SD | n = 44 67.2 ± 4.5 | n = 48 66.9 ± 5.6 |
| BMI (kg/m2) Mean ± SD | n = 44 16.9 ± 1.5 | n = 48 16.4 ± 1.2 |
| Head circumference (cm) Mean ± SD | n = 44 43.4 ± 2.4 | n = 44 43.5 ± 3.3 |
| Triceps skin fold (mm) Mean ± SD | n = 44 10.11 ± 2.55 | n = 44 9.92 ± 2.66 |
| Mid arm circumference (cm) Mean ± SD | n = 44 13.8 ± 1.9 | n = 44 13.3 ± 1.8 |
| Arm muscle area (cm2) Mean ± SD | n = 44 10.6 ± 3.6 | n = 44 10.3 ± 3.7 |
| CMP IgE positive (n, %) | n = 50 27 (54.0%) | n = 55 29 (52.7%) |
| Breastfed infants (n, %) | n = 50 27 (54.0%) | N = 55 25 (45.5%) |
Disclaimer/Publisher’s Note: The statements, opinions and data contained in all publications are solely those of the individual author(s) and contributor(s) and not of MDPI and/or the editor(s). MDPI and/or the editor(s) disclaim responsibility for any injury to people or property resulting from any ideas, methods, instructions or products referred to in the content. |
© 2024 by the authors. Licensee MDPI, Basel, Switzerland. This article is an open access article distributed under the terms and conditions of the Creative Commons Attribution (CC BY) license (https://creativecommons.org/licenses/by/4.0/).
Share and Cite
Lemoine, A.; Nieto-García, A.; Nieto-Cid, M.; Espín-Jaime, B.; Mazón, Á.; Salhi, H.; Salamouras, D.; Kalach, N.; de Castellar-Sansó, R.; Delgado Ojeda, J.; et al. Growth, Safety and Tolerance in Infants Fed Rice Protein Hydrolysate Formula: The GRITO Randomised Controlled Trial. Nutrients 2025, 17, 162. https://doi.org/10.3390/nu17010162
Lemoine A, Nieto-García A, Nieto-Cid M, Espín-Jaime B, Mazón Á, Salhi H, Salamouras D, Kalach N, de Castellar-Sansó R, Delgado Ojeda J, et al. Growth, Safety and Tolerance in Infants Fed Rice Protein Hydrolysate Formula: The GRITO Randomised Controlled Trial. Nutrients. 2025; 17(1):162. https://doi.org/10.3390/nu17010162
Chicago/Turabian StyleLemoine, Anaïs, Antonio Nieto-García, María Nieto-Cid, Beatriz Espín-Jaime, Ángel Mazón, Hocine Salhi, Dimitrios Salamouras, Nicolas Kalach, Roser de Castellar-Sansó, Jesús Delgado Ojeda, and et al. 2025. "Growth, Safety and Tolerance in Infants Fed Rice Protein Hydrolysate Formula: The GRITO Randomised Controlled Trial" Nutrients 17, no. 1: 162. https://doi.org/10.3390/nu17010162
APA StyleLemoine, A., Nieto-García, A., Nieto-Cid, M., Espín-Jaime, B., Mazón, Á., Salhi, H., Salamouras, D., Kalach, N., de Castellar-Sansó, R., Delgado Ojeda, J., & Navas-López, V. M. (2025). Growth, Safety and Tolerance in Infants Fed Rice Protein Hydrolysate Formula: The GRITO Randomised Controlled Trial. Nutrients, 17(1), 162. https://doi.org/10.3390/nu17010162

