A Risk Score to Identify Low Bone Mineral Density for Age in Young Patients with Anorexia Nervosa
Abstract
1. Introduction
2. Materials and Methods
2.1. Study Design
2.2. Subjects
2.3. Data Collection
2.3.1. Anthropometric Data
2.3.2. Medical and Menstrual Histories
2.3.3. Bone Mineral Density, Body Fat, and Fat-Free Soft Tissues
2.3.4. Classification of Patients According to aBMD Values
2.4. Statistical Analysis
3. Results
3.1. Participant Characteristics
3.2. Association of Various Parameters with Z-Score at Lumbar Spine (Table 2)
3.3. Association of Various Parameters with Z-Score at Hip (Table 3)
3.4. Constructing the Specific Risk Score for Predicting Classification of Patients as Normal or Below the Expected Z-Score Range for Age (Figure 1)
4. Discussion
5. Conclusions
Author Contributions
Funding
Institutional Review Board Statement
Informed Consent Statement
Data Availability Statement
Acknowledgments
Conflicts of Interest
Competing Interests Statement
Disclosure Statement
References
- Misra, M.; Prabhakaran, R.; Miller, K.K.; Goldstein, M.A.; Mickley, D.; Clauss, L.; Lockhart, P.; Cord, J.; Herzog, D.B.; Katzman, D.K.; et al. Weight gain and restoration of menses as predictors of bone mineral density change in adolescent girls with anorexia nervosa-1. J. Clin. Endocrinol. Metab. 2008, 93, 1231–1237. [Google Scholar] [CrossRef] [PubMed]
- Maimoun, L.; Garnero, P.; Mura, T.; Nocca, D.; Lefebvre, P.; Philibert, P.; Seneque, M.; Gaspari, L.; Vauchot, F.; Courtet, P.; et al. Specific Effects of Anorexia Nervosa and Obesity on Bone Mineral Density and Bone Turnover in Young Women. J. Clin. Endocrinol. Metab. 2020, 105, e1536–e1548. [Google Scholar] [CrossRef] [PubMed]
- Maimoun, L.; Guillaume, S.; Lefebvre, P.; Philibert, P.; Bertet, H.; Picot, M.C.; Gaspari, L.; Paris, F.; Courtet, P.; Thomas, E.; et al. Role of Sclerostin and Dickkopf-1 in the Dramatic Alteration in Bone Mass Acquisition in Adolescents and Young Women With Recent Anorexia Nervosa. J. Clin. Endocrinol. Metab. 2014, 99, E582–E590. [Google Scholar] [CrossRef]
- Grinspoon, S.; Thomas, E.; Pitts, S.; Gross, E.; Mickley, D.; Miller, K.; Herzog, D.; Klibanski, A. Prevalence and predictive factors for regional osteopenia in women with anorexia nervosa. Ann. Intern. Med. 2000, 133, 790–794. [Google Scholar] [CrossRef] [PubMed]
- Milos, G.; Spindler, A.; Ruegsegger, P.; Seifert, B.; Muhlebach, S.; Uebelhart, D.; Hauselmann, H.J. Cortical and trabecular bone density and structure in anorexia nervosa. Osteoporos. Int. 2005, 16, 783–790. [Google Scholar] [CrossRef][Green Version]
- Tuli, S.; Singhal, V.; Slattery, M.; Gupta, N.; Brigham, K.S.; Rosenblum, J.; Ebrahimi, S.; Eddy, K.T.; Miller, K.K.; Misra, M. Bone Density, Geometry, Structure and Strength Estimates in Adolescent and Young Adult Women with Atypical Anorexia Nervosa versus Typical Anorexia Nervosa and Normal-Weight Healthy Controls. Nutrients 2023, 15, 3946. [Google Scholar] [CrossRef]
- Faje, A.T.; Fazeli, P.K.; Miller, K.K.; Katzman, D.K.; Ebrahimi, S.; Lee, H.; Mendes, N.; Snelgrove, D.; Meenaghan, E.; Misra, M.; et al. Fracture risk and areal bone mineral density in adolescent females with anorexia nervosa. Int. J. Eat. Disord. 2014, 47, 458–466. [Google Scholar] [CrossRef]
- Lopes, M.P.; Ahmed, S.; Beaman, L.; Stubbs, B.; Campbell, I.C.; Schmidt, U.; Robinson, L. Bone Fracture History in Women With First Episode or With Persistent Anorexia Nervosa. Eur. Eat. Disord. Rev. 2024. [Google Scholar] [CrossRef] [PubMed]
- Bonnick, S.L. Densitometry techniques. In Bone Densitometry in Clinical Practice: Application and Interpretation, 3rd ed.; Humana Press: New York, NY, USA, 2010; pp. 1–30. [Google Scholar]
- Lewiecki, E.M.; Watts, N.B.; McClung, M.R.; Petak, S.M.; Bachrach, L.K.; Shepherd, J.A.; Downs, R.W., Jr. Official positions of the international society for clinical densitometry. J. Clin. Endocrinol. Metab. 2004, 89, 3651–3655. [Google Scholar] [CrossRef] [PubMed]
- French Health Authority. Good Clinical Practice Recommendations for the Management of Anorexia Nervosa in France. June 2010. Available online: https://www.has-sante.fr/upload/docs/application/pdf/2010-09/reco_anorexie_mentale.pdf (accessed on 3 September 2024).
- Legroux-Gerot, I.; Vignau, J.; D’Herbomez, M.; Collier, F.; Marchandise, X.; Duquesnoy, B.; Cortet, B. Evaluation of bone loss and its mechanisms in anorexia nervosa. Calcif. Tissue Int. 2007, 81, 174–182. [Google Scholar] [CrossRef] [PubMed]
- Goebel, G.; Schweiger, U.; Kruger, R.; Fichter, M.M. Predictors of bone mineral density in patients with eating disorders. Int. J. Eat. Disord. 1999, 25, 143–150. [Google Scholar] [CrossRef]
- Soyka, L.A.; Grinspoon, S.; Levitsky, L.L.; Herzog, D.B.; Klibanski, A. The effects of anorexia nervosa on bone metabolism in female adolescents. J. Clin. Endocrinol. Metab. 1999, 84, 4489–4496. [Google Scholar] [PubMed]
- Audi, L.; Vargas, D.M.; Gussinye, M.; Yeste, D.; Marti, G.; Carrascosa, A. Clinical and biochemical determinants of bone metabolism and bone mass in adolescent female patients with anorexia nervosa. Pediatr. Res. 2002, 51, 497–504. [Google Scholar] [CrossRef] [PubMed][Green Version]
- Compston, J.E.; McConachie, C.; Stott, C.; Hannon, R.A.; Kaptoge, S.; Debiram, I.; Love, S.; Jaffa, A. Changes in bone mineral density, body composition and biochemical markers of bone turnover during weight gain in adolescents with severe anorexia nervosa: A 1-year prospective study. Osteoporos. Int. 2006, 17, 77–84. [Google Scholar] [CrossRef]
- Misra, M.; Miller, K.K.; Cord, J.; Prabhakaran, R.; Herzog, D.B.; Goldstein, M.; Katzman, D.K.; Klibanski, A. Relationships between serum adipokines, insulin levels, and bone density in girls with anorexia nervosa. J. Clin. Endocrinol. Metab. 2007, 92, 2046–2052. [Google Scholar] [CrossRef] [PubMed]
- Golden, N.H.; Lanzkowsky, L.; Schebendach, J.; Palestro, C.J.; Jacobson, M.S.; Shenker, I.R. The effect of estrogen-progestin treatment on bone mineral density in anorexia nervosa. J. Pediatr. Adolesc. Gynecol. 2002, 15, 135–143. [Google Scholar] [CrossRef]
- Bemer, P.; Di Lodovico, L.; Haykanush, O.; Theodon, H.; Briot, K.; Carlier, R.; Dicembre, M.; Duquesnoy, M.; Melchior, J.C.; Hanachi, M. Bone mineral density at extremely low weight in patients with anorexia nervosa. Clin. Endocrinol. 2021, 95, 423–429. [Google Scholar] [CrossRef]
- Maimoun, L.; Renard, E.; Huguet, H.; Lefebvre, P.; Boudousq, V.; Mahadea, K.; Picot, M.C.; Dore, R.; Philibert, P.; Seneque, M.; et al. The quantitative ultrasound method for assessing low bone mass in women with anorexia nervosa. Arch. Osteoporos. 2021, 16, 13. [Google Scholar] [CrossRef]
- Maïmoun, L.; Renard, E.; Lefebvre, P.; Bertet, H.; Philibert, P.; Seneque, M.; Picot, M.C.; Dupuy, A.M.; Gaspari, L.; Ben Bouallègue, F.; et al. Oral contraceptives partially protect from bone loss in young women with anorexia nervosa. Fertil. Steril. 2019, 11, 1020–1029. [Google Scholar] [CrossRef]
- Seeman, E.; Szmukler, G.I.; Formica, C.; Tsalamandris, C.; Mestrovic, R. Osteoporosis in anorexia nervosa: The influence of peak bone density, bone loss, oral contraceptive use, and exercise. J. Bone Miner. Res. 1992, 7, 1467–1474. [Google Scholar] [CrossRef] [PubMed]
- Association, A.P. Diagnostic and Statistical Manual of Mental Disorders, 5th ed.; American Psychiatric Press: Washington, DC, USA, 2013. [Google Scholar]
- Guillaume, S.; Jaussent, I.; Maimoun, L.; Ryst, A.; Seneque, M.; Villain, L.; Hamroun, D.; Lefebvre, P.; Renard, E.; Courtet, P. Associations between adverse childhood experiences and clinical characteristics of eating disorders. Sci. Rep. 2016, 6, 35761. [Google Scholar] [CrossRef] [PubMed]
- Sheehan, D.V.; Lecrubier, Y.; Sheehan, K.H.; Amorim, P.; Janavs, J.; Weiller, E.; Hergueta, T.; Baker, R.; Dunbar, G.C. The Mini-International Neuropsychiatric Interview (M.I.N.I.): The development and validation of a structured diagnostic psychiatric interview for DSM-IV and ICD-10. J. Clin. Psychiatry 1998, 59 (Suppl. 20), 22–33; quiz 34–57. [Google Scholar] [PubMed]
- Garcia, F.D.; Grigioni, S.; Chelali, S.; Meyrignac, G.; Thibaut, F.; Dechelotte, P. Validation of the French version of SCOFF questionnaire for screening of eating disorders among adults. World J. Biol. Psychiatry 2010, 11, 888–893. [Google Scholar] [CrossRef]
- Krueger, D.; Tanner, S.B.; Szalat, A.; Malabanan, A.; Prout, T.; Lau, A.; Rosen, H.N.; Shuhart, C. DXA Reporting Updates: 2023 Official Positions of the International Society for Clinical Densitometry. J. Clin. Densitom. 2023, 27, 101437. [Google Scholar] [CrossRef]
- Shuhart, C.R.; Yeap, S.S.; Anderson, P.A.; Jankowski, L.G.; Lewiecki, E.M.; Morse, L.R.; Rosen, H.N.; Weber, D.R.; Zemel, B.S.; Shepherd, J.A. Executive Summary of the 2019 ISCD Position Development Conference on Monitoring Treatment, DXA Cross-calibration and Least Significant Change, Spinal Cord Injury, Peri-prosthetic and Orthopedic Bone Health, Transgender Medicine, and Pediatrics. J. Clin. Densitom. 2019, 22, 453–471. [Google Scholar] [CrossRef] [PubMed]
- Hosmer, D.W.; Lemeshow, S. Assessing the fit of the model. In Applied Logistic Regression; Shewhart, W.A., Wilks, S.S., Hosmer, D.W., Lemeshow, S., Eds.; Wiley: New York, NY, USA, 2000; pp. 143–202. [Google Scholar]
- Misra, M.; Miller, K.K.; Bjornson, J.; Hackman, A.; Aggarwal, A.; Chung, J.; Ott, M.; Herzog, D.B.; Johnson, M.L.; Klibanski, A. Alterations in growth hormone secretory dynamics in adolescent girls with anorexia nervosa and effects on bone metabolism. J. Clin. Endocrinol. Metab. 2003, 88, 5615–5623. [Google Scholar] [CrossRef]
- Singhal, V.; Sanchita, S.; Malhotra, S.; Bose, A.; Flores, L.P.T.; Valera, R.; Stanford, F.C.; Slattery, M.; Rosenblum, J.; Goldstein, M.A.; et al. Suboptimal bone microarchitecure in adolescent girls with obesity compared to normal-weight controls and girls with anorexia nervosa. Bone 2019, 122, 246–253. [Google Scholar] [CrossRef]
- Schorr, M.; Fazeli, P.K.; Bachmann, K.N.; Faje, A.T.; Meenaghan, E.; Kimball, A.; Singhal, V.; Ebrahimi, S.; Gleysteen, S.; Mickley, D.; et al. Differences in trabecular plate and rod structure in premenopausal women across the weight spectrum. J. Clin. Endocrinol. Metab. 2019, 104, 4501–4510. [Google Scholar] [CrossRef] [PubMed]
- Gordon, C.M.; Goodman, E.; Emans, S.J.; Grace, E.; Becker, K.A.; Rosen, C.J.; Gundberg, C.M.; Leboff, M.S. Physiologic regulators of bone turnover in young women with anorexia nervosa. J. Pediatr. 2002, 141, 64–70. [Google Scholar] [CrossRef]
- Grinspoon, S.; Miller, K.; Coyle, C.; Krempin, J.; Armstrong, C.; Pitts, S.; Herzog, D.; Klibanski, A. Severity of osteopenia in estrogen-deficient women with anorexia nervosa and hypothalamic amenorrhea. J. Clin. Endocrinol. Metab. 1999, 84, 2049–2055. [Google Scholar] [PubMed]
- Maimoun, L.; Mariano-Goulart, D.; Huguet, H.; Renard, E.; Lefebvre, P.; Picot, M.C.; Dupuy, A.M.; Cristol, J.P.; Courtet, P.; Boudousq, V.; et al. In patients with anorexia nervosa, myokine levels are altered but are not associated with bone mineral density loss and bone turnover alteration. Endocr. Connect. 2022, 11, e210488. [Google Scholar] [CrossRef] [PubMed]
- Lucas, A.R.; Melton, L.J., 3rd; Crowson, C.S.; O’Fallon, W.M. Long-term fracture risk among women with anorexia nervosa: A population-based cohort study. Mayo Clin. Proc. 1999, 74, 972–977. [Google Scholar] [CrossRef]
- Resch, H.; Newrkla, S.; Grampp, S.; Resch, A.; Zapf, S.; Piringer, S.; Hockl, A.; Weiss, P. Ultrasound and X-ray-based bone densitometry in patients with anorexia nervosa. Calcif. Tissue Int. 2000, 66, 338–341. [Google Scholar] [CrossRef] [PubMed]
- Trombetti, A.; Richert, L.; Herrmann, F.R.; Chevalley, T.; Graf, J.D.; Rizzoli, R. Selective determinants of low bone mineral mass in adult women with anorexia nervosa. Int. J. Endocrinol. 2013, 2013, 897193. [Google Scholar] [CrossRef] [PubMed]
- Hergenroeder, A.C. Bone mineralization, hypothalamic amenorrhea, and sex steroid therapy in female adolescents and young adults. J. Pediatr. 1995, 126, 683–689. [Google Scholar] [CrossRef] [PubMed]
- Maimoun, L.; Coste, O.; Mura, T.; Philibert, P.; Galtier, F.; Mariano-Goulart, D.; Paris, F.; Sultan, C. Specific bone mass acquisition in elite female athletes. J. Clin. Endocrinol. Metab. 2013, 98, 4961–4969. [Google Scholar] [CrossRef]
- Biller, B.M.; Saxe, V.; Herzog, D.B.; Rosenthal, D.I.; Holzman, S.; Klibanski, A. Mechanisms of osteoporosis in adult and adolescent women with anorexia nervosa. J. Clin. Endocrinol. Metab. 1989, 68, 548–554. [Google Scholar] [CrossRef]
- Steyerberg, E.W.; Pencina, M.J.; Lingsma, H.F.; Kattan, M.W.; Vickers, A.J.; Van Calster, B. Assessing the incremental value of diagnostic and prognostic markers: A review and illustration. Eur. J. Clin. Investig. 2012, 42, 216–228. [Google Scholar] [CrossRef]
- Wynants, L.; Collins, G.S.; Van Calster, B. Key steps and common pitfalls in developing and validating risk models. BJOG 2017, 124, 423–432. [Google Scholar] [CrossRef] [PubMed]
- Schebendach, J.E.; Porter, K.J.; Wolper, C.; Walsh, B.T.; Mayer, L.E. Accuracy of self-reported energy intake in weight-restored patients with anorexia nervosa compared with obese and normal weight individuals. Int. J. Eat. Disord. 2012, 45, 570–574. [Google Scholar] [CrossRef] [PubMed]

| Parameter | Controls | All AN Patients | Z-Score > −2 SD (Normal) | Z-Score ≤ −2 SD (Low aBMD for Age) |
|---|---|---|---|---|
| Number of subjects | 121 | 313 | 235 | 78 |
| Age (year) | 21.1 ± 4.2 | 21.6 ± 5.2 | 20.6 ± 4.7 | 24.4 ± 5.6 * |
| Anthropometric data | ||||
| Weight (kg) | 59.2 ± 7.6 | 43.1 ± 5.6 # | 44.2 ± 4.8 | 40.0 ± 6.6 * |
| Weight (SD) | 0.94 ± 1.24 | −1.66 ± 0.95 # | −1.48 ± 0.79 | −2.21 ± 1.16 * |
| Height (cm) | 165.2 ± 6.0 | 164.4 ± 6.2 | 165.0 ± 6.2 | 162.6 ± 5.9 * |
| Height (SD) | 0.48 ± 1.09 | 0.31 ± 1.13 | 0.43 ± 1.11 | −0.06 ± 1.11 * |
| BMI (kg·m−2) | 21.6 ± 2.3 | 15.9 ± 1.6 # | 16.2 ± 1.3 | 15.1 ± 2.1 * |
| WB fat mass (%) | 27.8 ± 4.9 | 16.2 ± 5.5 # | 16.8 ±5.2 | 14.5 ± 5.9 * |
| WB fat mass (kg) | 16.6 ± 4.7 | 7.3 ± 3.3 # | 7.7 ± 3.2 | 6.1 ± 3.1 * |
| WB fat-free soft tissue (kg) | 40.5 ± 4.4 | 34.6 ± 4.6 # | 35.2 ± 4.3 | 32.8 ± 4.8 * |
| Characteristics of AN | ||||
| Age of AN onset (year) | - | 17.5 ± 3.8 | 17.3 ± 3.5 | 18.1 ± 4.5 |
| Duration of AN (year) | - | 4.1 ± 4.4 | 2.6 ± 3.4 | 5.7 ± 5.2 * |
| Hyperactivities (n (%)) | - | 88 (28) | 70 (30) | 18 (23) |
| Lowest disease-related BMI (kg·m−2) | - | 14.5 ± 1.7 | 15.0 ± 1.4 | 13.1 ± 1.9 * |
| Age at lowest disease-related BMI (year) | - | 20.0 ± 4.7 | 19.4 ± 4.3 | 22.0 ± 5.5 * |
| Highest disease-related BMI (kg·m−2) | - | 20.7 ± 3.1 | 20.7 ± 2.6 | 20.7 ± 4.2 |
| Age at highest disease-related BMI (year) | 17.6 ± 3.7 | 17.5 ± 3.6 | 17.9 ± 4.0 | |
| Gynecological profile | ||||
| Age of menarche (year) | 12.7 ± 1.5 | 12.9 ± 1.5 | 12.8 ± 1.4 | 13.0 ± 1.6 |
| Menstrual disorders (n (%)) | 17 (14) $ | 214 (69) # | 149 (64) | 65 (83) * |
| Duration of amenorrhea (mo) a | - | 24.9 ± 43.8 | 13.9 ± 31.8 | 51.4 ± 56.1 * |
| Duration of amenorrhea without contraceptive (mo) (n (%)) b | ||||
| <18 months | 111(100) | 250 (81) | 210 (90) | 40 (52) * |
| ≥18 months | 0 (0) | 60 (19) | 23 (10) | 37 (48) * |
| Contraceptive used (n(%)) | 68 (56) | 106 (34) # | 88 (38) | 18 (23) * |
| Duration of contraceptive used (year) | 1.9 ± 2.7 | 1.1 ± 2.8 # | 1.1 ± 2.6 | 1.2 ± 3.3 |
| Duration of contraceptive during AN (year) c | - | 0.75 ± 1.99 | 0.76 ± 1.94 | 0.72 ± 2.13 |
| Duration of contraceptive during AN (year) (n (%)) | ||||
| Without contraceptive | - | 205 (69) | 145 (66) | 60 (77) |
| [0;1] years | - | 34 (11) | 31 (14) | 3 (4) |
| [1;3] years | - | 36 (12) | 26 (12) | 10 (13) |
| >3 years | - | 23 (8) | 18 (8) | 5 (6) |
| Areal bone mineral density | ||||
| Lumbar spine (g/cm2) | 0.983 ± 0.106 | 0.872 ± 0.116 # | 0.918 ± 0.090 | 0.732 ± 0.064 * |
| Lumbar spine Z-score | −0.2 ± 1.0 | −1.2 ± 1.1 # | −0.7 ± 0.9 | −2.7 ± 0.6 * |
| Hip (g/cm2) | 0.944 ± 0.143 | 0.808 ± 0.131 # | 0.856 ± 0.101 | 0.663 ± 0.103 * |
| Hip Z-score | −0.1 ± 0.9 | −1.2 ± 1.1 # | −0.8 ± 0.8 | −2.4 ± 0.9 * |
| Hip Z-score (n (%)) | ||||
| Normal (Z-score > −2SD) | 245 (79) | 221 (94) | 24 (31) * | |
| Low aBMD for age (Z-score ≤ −2SD) | 66 (21) | 13 (6) | 53 (69) * |
| Univariate Analysis | Multivariate Analysis (n = 308) | Scores for the Categories of Each Model | |||||
|---|---|---|---|---|---|---|---|
| Variable | OR [95% CI] | p-Value | OR [95% CI] | p-Value | Parameter Estimates by Logistic Regression | Tentative Score a | Final Score b |
| Age (≥20 year vs. <20 year) | 4.58 [2.55;8.23] | <0.001 | 3.72 [1.86;7.44] | <0.001 | 1.314 | 13 | 2 |
| BMI (<16 kg/m2 vs. ≥16 kg/m2) | 2.64 [1.55;4.50] | <0.001 | - | - | |||
| Age of AN onset (year) | 1.05 [0.99;1.12] | 0.122 | - | - | |||
| Duration of AN (year) * | 1.15 [1.09;1.22] | <0.001 | - | - | |||
| Lowest disease-related BMI (kg/m2) | 0.47 [0.38;0.58] | <0.001 | 0.55 [0.44;0.68] | <0.001 | −0.606 | −6 | −1 |
| Highest disease-related BMI (<20 kg/m2 vs. ≥20 kg/m2) | 1.26 [0.75;2.11] | 0.390 | - | - | |||
| Menstrual disorders (no vs. yes) | 2.85 [1.49;5.48] | 0.002 | - | - | |||
| Duration of amenorrhea without contraceptive use (≥18 months vs. <18 months) | 8.44 [4.54;15.71] | <0.001 | 3.68 [1.77;7.65] | <0.001 | 1.303 | 13 | 2 |
| Contraceptive use (no vs. yes) | 2.02 [1.12;3.65] | 0.019 | - | - | |||
| Duration of contraceptive use (year) | 1.02 [0.93;1.11] | 0.732 | - | - | |||
| Duration of contraceptive use during AN (year) | 0.123 | - | - | ||||
| Without contraceptive use vs. >3 years | 1.49 [0.53;4.20] | ||||||
| [0;1] years vs. >3 years | 0.35 [0.07;1.63] | ||||||
| [1;3] years vs. >3 years | 1.38 [0.40;4.74] | ||||||
| Univariate Analysis | Multivariate Analysis (n = 305) | Scores for the Categories of Each Model | |||||
|---|---|---|---|---|---|---|---|
| Variable | OR [95% CI] | p-Value | OR [95% CI] | p-Value | Parameter Estimates by Logistic Regression | Tentative Score a | Final Score b |
| Age (≥20 year vs. < 20 year) | 3.27 [1.80;5.95] | <0.001 | 2.34 [1.17;4.69] | 0.017 | 0.850 | 9 | 2 |
| BMI (<16 kg/m2 vs. ≥16 kg/m2) | 2.71 [1.53;4.80] | <0.001 | - | - | |||
| Age of AN onset (year) | 1.01 [0.94;1.08] | 0.882 | - | - | |||
| Duration of AN (year) * | 1.18 [1.11;1.25] | <0.001 | - | - | |||
| Lowest disease-related BMI (kg/m2) | 0.51 [0.42;0.62] | <0.001 | 0.61 [0.49;0.75] | <0.001 | −0.500 | −5 | −1 |
| Highest disease-related BMI (<20 kg/m2 vs. ≥20 kg/m2) | 1.69 [0.96;2.98] | 0.067 | - | - | |||
| Menstrual disorders (no vs. yes) | 2.41 [1.22;4.74] | 0.011 | - | - | |||
| Duration of amenorrhea without contraceptive use (≥18 months vs. <18 months) | 9.15 [4.85;17.26] | <0.001 | 4.29 [2.09;8.80] | <0.001 | 1.457 | 15 | 3 |
| Contraceptive use (no vs. yes) | 2.17 [1.14;4.13] | 0.019 | - | - | |||
| Duration of contraceptive use (year) | 1.01 [0.91;1.11] | 0.858 | - | - | |||
| Duration of contraceptive use during AN (year) | 0.128 | - | - | ||||
| Without contraceptive use vs. >3 years | 1.20 [0.42;3.40] | ||||||
| [0;1] years vs. >3 years | 0.23 [0.04;1.32] | ||||||
| [1;3] years vs. >3 years | 0.72 [0.19;2.70] | ||||||
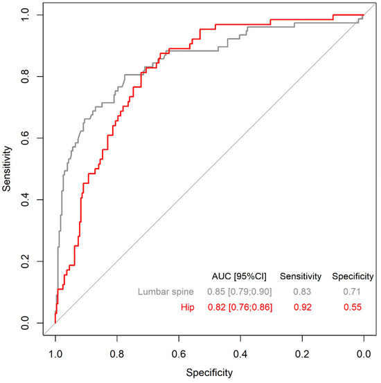
| AUC [95% CI] * | Cut-Off a | Sensitivity | Specificity | TP | TN | FP | FN | PPV | NPV | |
|---|---|---|---|---|---|---|---|---|---|---|
| Lumbar spine | 0.85 [0.79;0.90] | 0.9 | 0.83 | 0.71 | 64 | 164 | 67 | 13 | 0.49 | 0.93 |
| Hip | 0.82 [0.76;0.86] | 1.33 | 0.92 | 0.55 | 59 | 134 | 107 | 5 | 0.36 | 0.96 |
| Risk score for low BMD in lumbar spine. Calculation of score: 14—lowest disease-related BMI + 2 if subject is over 20 + 2 if subject presents amenorrhea for more than 18 months. A net score greater than 0.9 indicates a risk of low aBMD for age. Risk score for low BMD in hip. Calculation of score: 12—lowest lifetime BMI + 2 if subject is over 20 + 3 if subject presents amenorrhea for more than 18 months. A net score greater than 1.33 indicates a risk of low aBMD. | ||||
| Patient 1 | Patient 2 | Patient 3 | ||
| Age (year) a | 22 | 20 | 20 | |
| Lowest disease-related BMI (kg/m2) b | 10 | 16.5 | 12 | |
| Duration of amenorrhea without contraceptive use (months) c | 48 | 0 | 24 | |
| Lumbar spine | Score d | 14 − 10 + 2 + 2 = 8 | 14 − 16.5 + 2 = −0.5 | 14 − 12 + 2 + 2 = 6 |
| Diagnosis of low-aBMD-for-age status (if ≥0.9) | Low aBMD for age | Normal | Low aBMD for age | |
| Hip | Score e | 12 − 10 + 2 + 3 = 7 | 12 − 16.5 + 2 = −2.5 | 12 − 12 + 2 + 3 = 5 |
| Diagnosis of low-aBMD-for-age status (if ≥1.33) | Low aBMD for age | Normal | Low aBMD for age | |
Disclaimer/Publisher’s Note: The statements, opinions and data contained in all publications are solely those of the individual author(s) and contributor(s) and not of MDPI and/or the editor(s). MDPI and/or the editor(s) disclaim responsibility for any injury to people or property resulting from any ideas, methods, instructions or products referred to in the content. |
© 2024 by the authors. Licensee MDPI, Basel, Switzerland. This article is an open access article distributed under the terms and conditions of the Creative Commons Attribution (CC BY) license (https://creativecommons.org/licenses/by/4.0/).
Share and Cite
Maimoun, L.; Huguet, H.; Renard, E.; Lefebvre, P.; Seneque, M.; Gaspari, L.; Boudousq, V.; Maimoun Nande, L.; Courtet, P.; Sultan, C.; et al. A Risk Score to Identify Low Bone Mineral Density for Age in Young Patients with Anorexia Nervosa. Nutrients 2025, 17, 161. https://doi.org/10.3390/nu17010161
Maimoun L, Huguet H, Renard E, Lefebvre P, Seneque M, Gaspari L, Boudousq V, Maimoun Nande L, Courtet P, Sultan C, et al. A Risk Score to Identify Low Bone Mineral Density for Age in Young Patients with Anorexia Nervosa. Nutrients. 2025; 17(1):161. https://doi.org/10.3390/nu17010161
Chicago/Turabian StyleMaimoun, Laurent, Helena Huguet, Eric Renard, Patrick Lefebvre, Maude Seneque, Laura Gaspari, Vincent Boudousq, Lisa Maimoun Nande, Philippe Courtet, Charles Sultan, and et al. 2025. "A Risk Score to Identify Low Bone Mineral Density for Age in Young Patients with Anorexia Nervosa" Nutrients 17, no. 1: 161. https://doi.org/10.3390/nu17010161
APA StyleMaimoun, L., Huguet, H., Renard, E., Lefebvre, P., Seneque, M., Gaspari, L., Boudousq, V., Maimoun Nande, L., Courtet, P., Sultan, C., Mariano-Goulart, D., Picot, M.-C., & Guillaume, S. (2025). A Risk Score to Identify Low Bone Mineral Density for Age in Young Patients with Anorexia Nervosa. Nutrients, 17(1), 161. https://doi.org/10.3390/nu17010161

