Prognostic Nutritional Index and Instant Nutritional Assessement Are Associated with Clinical Outcomes in a Geriatric Cohort of Acutely Inpatients
Abstract
1. Introduction
2. Materials and Methods
2.1. Patients
2.2. Methods
2.3. Statistics
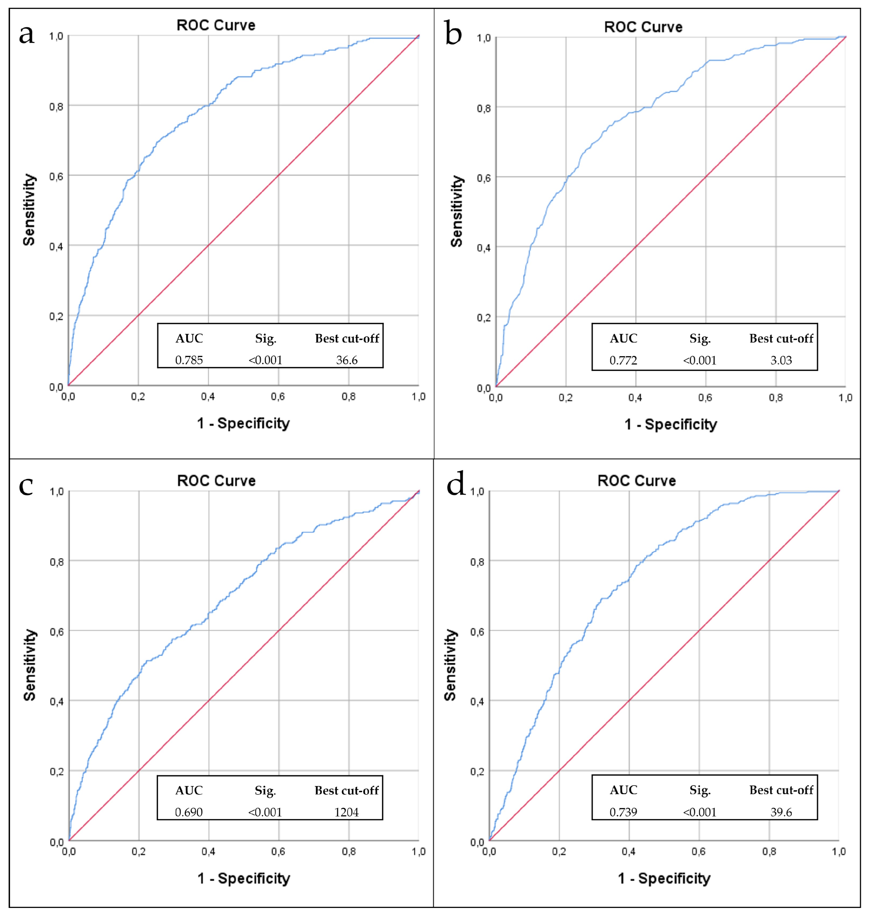
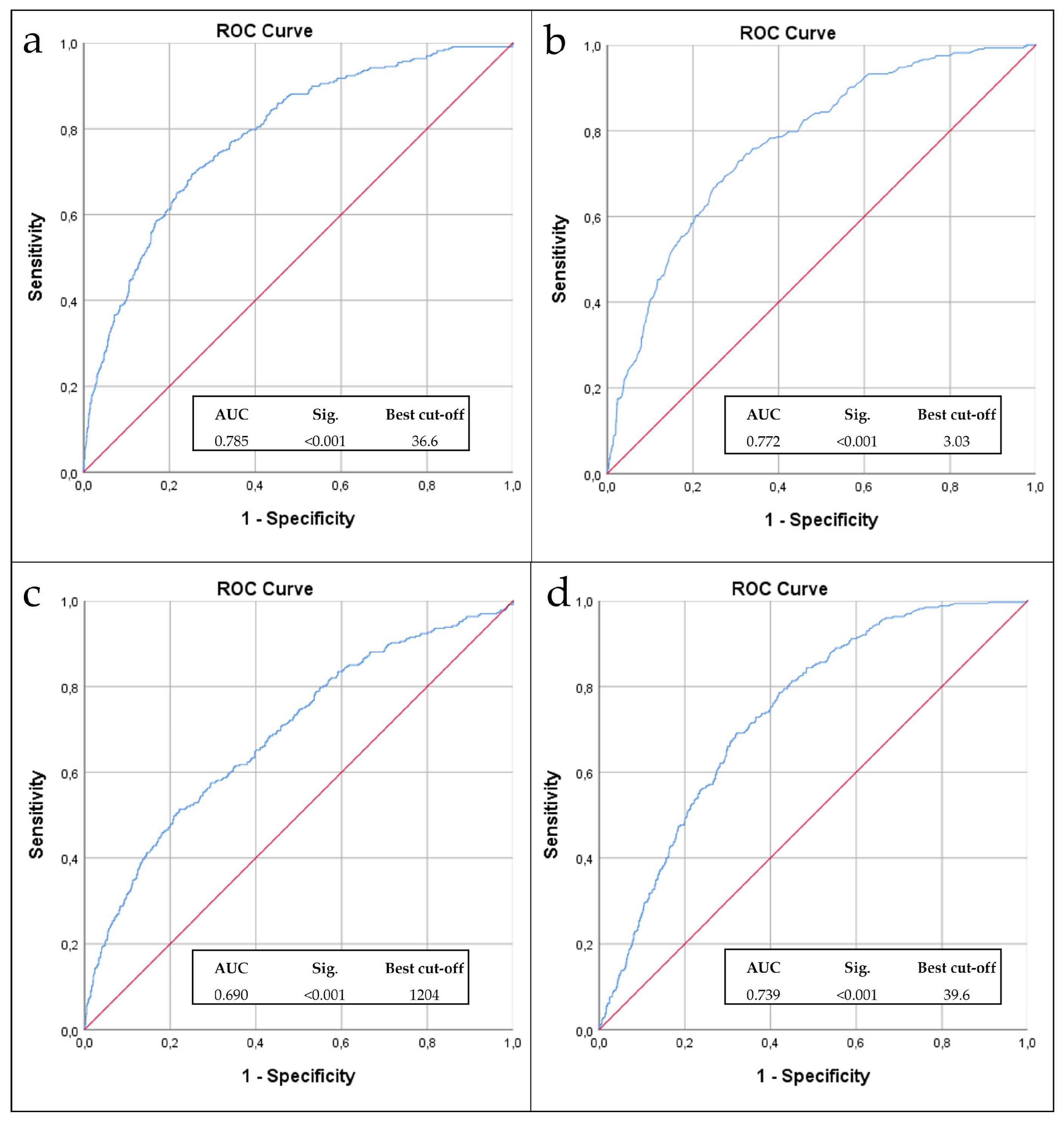
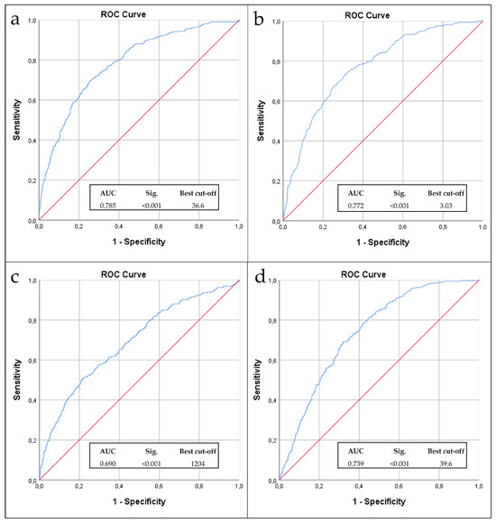
3. Results
4. Discussion
5. Conclusions
Author Contributions
Funding
Institutional Review Board Statement
Informed Consent Statement
Data Availability Statement
Acknowledgments
Conflicts of Interest
References
- World Health Organization. Available online: https://www.who.int/news-room/fact-sheets/detail/malnutrition (accessed on 2 October 2023).
- Slee, A.; Birch, D.; Stokoe, D. A comparison of the malnutrition screening tools, MUST, MNA and bioelectrical impedance assessment in frail older hospital patients. Clin. Nutr. 2015, 34, 296–301. [Google Scholar] [CrossRef]
- Morley, J.E. Anorexia of aging: Physiologic and pathologic. Am. J. Clin. Nutr. 1997, 66, 760–773. [Google Scholar] [CrossRef]
- Kyle, U.G.; Genton, L.; Hans, D.; Karsegard, L.; Slosman, D.O.; Pichard, C. Age-related differences in fat-free mass, skeletal muscle, body cell mass and fat mass between 18 and 94 years. Eur. J. Clin. Nutr. 2001, 55, 663–672. [Google Scholar] [CrossRef]
- Gallagher, D.; Ruts, E.; Visser, M.; Heshka, S.; Baumgartner, R.N.; Wang, J.; Pierson, R.N.; Pi-Sunyer, F.X.; Heymsfield, S.B.; Yim, J.-E.; et al. Weight stability masks sarcopenia in elderly men and women. Am. J. Physiol. Endocrinol. Metab. 2000, 279, E366–E375. [Google Scholar] [CrossRef]
- Cruz-Jentoft, A.J.; Bahat, G.; Bauer, J.; Boirie, Y.; Bruyère, O.; Cederholm, T.; Cooper, C.; Landi, F.; Rolland, Y.; Sayer, A.A.; et al. Sarcopenia: Revised European consensus on definition and diagnosis. Writing Group for the European Working Group on Sarcopenia in Older People 2 (EWGSOP2), and the Extended Group for EWGSOP2. Age Ageing 2019, 48, 16–31. [Google Scholar] [CrossRef]
- Slee, A.; Birch, D.; Stokoe, D. The relationship between malnutrition risk and clinical outcomes in a cohort of frail older hospital patients. Clin. Nutr. ESPEN 2016, 15, 57–62. [Google Scholar] [CrossRef]
- Volkert, D.; Beck, A.M.; Cederholm, T.; Cereda, E.; Cruz-Jentoft, A.; Goisser, S.; de Groot, L.; Großhauser, F.; Kiesswetter, E.; Norman, K.; et al. Management of Malnutrition in Older Patients—Current Approaches, Evidence and Open Questions. J. Clin. Med. 2019, 8, 974. [Google Scholar] [CrossRef]
- Sanson, G.; Bertocchi, L.; Dal Bo, E.; Di Pasquale, C.L.; Zanetti, M. Identifying reliable predictors of protein-energy malnutrition in hospitalized frail older adults: A prospective longitudinal study. Int. J. Nurs. Stud. 2018, 82, 40–48. [Google Scholar] [CrossRef]
- Cederholm, T.; Barazzoni, R.; Austin, P.; Ballmer, P.; Biolo, G.; Bischoff, S.C.; Compher, C.; Correia, I.; Higashiguchi, T.; Holst, M.; et al. ESPEN guidelines on definitions and terminology of clinical nutrition. Clin. Nutr. 2017, 36, 49–64. [Google Scholar] [CrossRef]
- Fried, L.P.; Tangen, C.M.; Walston, J.; Newman, A.B.; Hirsch, C.; Gottdiener, J.; Seeman, T.; Tracy, R.; Kop, W.J.; Burke, G.; et al. Frailty in older adults: Evidence for a phenotype. J. Gerontol. A Biol. Sci. Med. Sci. 2001, 56, M146–M156. [Google Scholar] [CrossRef]
- Walston, J.; Hadley, E.C.; Ferrucci, L.; Guralnik, J.M.; Newman, A.B.; Studenski, S.A.; Ershler, W.B.; Harris, T.; Fried, L.P. Research agenda for frailty in older adults: Toward a better understanding of physiology and etiology: Summary from the American Geriatrics Society/National Institute on Aging Research Conference on Frailty in Older Adults. J. Am. Geriatr. Soc. 2006, 54, 991–1001. [Google Scholar] [CrossRef]
- Eeles, E.M.; White, S.V.; O’Mahony, S.M.; Bayer, A.J.; Hubbard, R.E. The impact of frailty and delirium on mortality in older inpatients. Age Ageing 2012, 41, 412–416. [Google Scholar] [CrossRef]
- Clegg, A.; Young, J.; Iliffe, S.; Marcel Olde Rikkert, M.O.; Rockwood, K. Frailty in elderly people. Lancet 2013, 381, 752–762. [Google Scholar] [CrossRef]
- Hagg, S.; Jylhava, J. Sex differences in biological aging with a focus on human studies. eLife 2021, 10, e63425. [Google Scholar] [CrossRef]
- Agarwal, E.; Ferguson, M.; Banks, M.; Batterham, M.; Bauer, J.; Capra, S.; Isenring, E. Malnutrition and poor food intake are associated with prolonged hospital stay, frequent readmissions, and greater in-hospital mortality: Results from the Nutrition Care Day Survey 2010. Clin. Nutr. 2013, 32, 737–745. [Google Scholar] [CrossRef]
- Barker, L.A.; Gout, B.S.; Crowe, T.C. Hospital malnutrition: Prevalence, identification and impact on patients and the healthcare system. Int. J. Environ. Res. Public. Health 2011, 8, 514–527. [Google Scholar] [CrossRef]
- Hiesmayr, M.; Schindler, K.; Pernicka, E.; Schuh, C.; Schoeniger-Hekele, A.; Bauer, P.; Laviano, A.; Lovell, A.D.; Mouhieddine, M.; Schuetz, T.; et al. Decreased food intake is a risk factor for mortality in hospitalised patients: The Nutrition Day survey 2006. Clin. Nutr. 2009, 28, 484–491. [Google Scholar] [CrossRef]
- Souza, T.T.; Sturion, C.J.; Faintuch, J. Is the skeleton still in the hospital closet? A review of hospital malnutrition emphasizing health economic aspects. Clin. Nutr. 2015, 34, 1088–1092. [Google Scholar] [CrossRef]
- Budzyński, J.; Tojek, K.; Czerniak, C.; Banaszkiewicz, Z. Scores of nutritional risk and parameters of nutritional status assessment as predictors of in-hospital mortality and readmissions in the general hospital population. Clin. Nutr. 2016, 35, 1464–1471. [Google Scholar] [CrossRef]
- van Bokhorst-de, M.A.; van der Schueren, M.A.; Guaitoli, P.R.; Jansma, E.P.; de Vet, H.C. Nutrition screening tools: Does one size fit all? A systematic review of screening tools for the hospital setting. Clin. Nutr. 2014, 33, 39–58. [Google Scholar] [CrossRef]
- Snider, J.T.; Jena, A.B.; Linthicum, M.T.; Hegazi, R.A.; Partridge, J.S.; LaVallee, C.; Lakdawalla, D.N.; Wischmeyer, P.E. Effect of hospital use of oral nutritional supplementation on length of stay, hospital cost, and 30-day readmissions among Medicare patients with COPD. Chest 2015, 147, 1477–1484. [Google Scholar] [CrossRef]
- Kondrup, J.; Allison, S.P.; Elia, M.; Vellas, B.; Plauth, M. ESPEN guidelines for nutritional screening 2002. Clin. Nutr. 2003, 22, 415–421. [Google Scholar] [CrossRef]
- Norman, K.; Pichard, C.; Lochs, H.; Pirlich, M. Prognostic impact of disease-related malnutrition. Clin. Nutr. 2008, 27, 5–15. [Google Scholar] [CrossRef]
- Söderström, L.; Rosenblad, A.; Adolfsson, E.T.; Saletti, A.; Bergkvist, L. Nutritional status predicts preterm death in older people. Clin. Nutr. 2014, 33, 354–359. [Google Scholar] [CrossRef]
- Omran, M.L.; Morley, J.E. Evaluation of protein-energy malnutrition in older people, Part II: Laboratory evaluation. Nutrition 2000, 16, 131–140. [Google Scholar] [CrossRef]
- Lowrie, E.; Lew, N. Death risk in hemodialysis patients: The predictive value of commonly measured variables and an evaluation of death rate differences between facilities. Am. J. Kidney Dis. 1990, 15, 458–482. [Google Scholar] [CrossRef]
- United States Renal Data System. Combined conditions and correlation with mortality risk among 3399 incident hemodialysis patients. Am. J. Kidney Dis. 1992, 20 (Suppl. 2), 32. [Google Scholar]
- Guijarro, C.; Massy, Z.A.; Wiederkehr, M.R.; Ma, J.Z.; Kasiske, B.L. Serum albumin and mortality after renal transplantation. Am. J. Kidney Dis. 1996, 27, 117–123. [Google Scholar] [CrossRef]
- Knaus, W.A.; Wagner, D.P.; Draper, E.A.; Zimmerman, J.E.; Bergner, M.; Bastos, P.G.; Sirio, C.A.; Murphy, D.J.; Lotring, T.; Damiano, A.; et al. The APACHE III prognostic system-risk prediction of hospital mortality for critically ill hospitalized adults. Chest 1991, 100, 1619. [Google Scholar] [CrossRef]
- Phillips, A.; Shaper, A.G.; Whincup, P.H. Association between serum albumin and mortality from cardiovascular disease, cancer, and other causes. Lancet 1989, 2, 1434–1436. [Google Scholar] [CrossRef]
- Gillum, R.F.; Makuc, D.M. Serum albumin, coronary heart disease, and death. Am. Heart J. 1992, 123, 507–513. [Google Scholar] [CrossRef]
- Klonoff-Cohen, H.; Barrett-Connor, E.L.; Edelstein, S.L. Albumin levels as a predictor of mortality in the healthy elderly. J. Clin. Epidemiol. 1992, 45, 207–212. [Google Scholar] [CrossRef]
- Corti, M.C.; Guralnik, J.M.; Salive, M.E.; Sorkin, J.D. Serum albumin level and physical disability as predictors of mortality in older persons. J. Am. Med. Assoc. 1994, 272, 1036–1042. [Google Scholar] [CrossRef]
- Law, M.R.; Morris, J.K.; Wald, N.J.; Hale, A.K. Serum albumin and mortality in the BUPA study. Int. J. Epidemiol. 1994, 23, 38–41. [Google Scholar] [CrossRef]
- Kuller, L.H.; Eichner, J.E.; Orchard, T.J.; Grandits, G.A.; McCallum, L.; Tracy, R.P. The relation between serum albumin and risk of coronary heart disease in the multiple risk factor intervention trial. Am. J. Epidemiol. 1991, 134, 1266–1277. [Google Scholar] [CrossRef]
- Goldwasser, P.; Feldman, J. Association of serum albumin and mortality risk. J. Clin. Epidemiol. 1997, 50, 693–703. [Google Scholar] [CrossRef]
- Lewis, E.J.; Stacey, J.B. Nutritional assessment of the elderly. In Geriatric Nutrition; Morley, J.E., Glick, Z., Rubenstein, L.Z., Eds.; Raven Press: New York, NY, USA, 1990; Volume 73. [Google Scholar]
- Silver, A.J.; Morley, J.E.; Strome, L.S.; Jones, D.; Vickers, L. Nutritional status in academic nursing home. J. Am. Geriatr. Soc. 1988, 36, 487–491. [Google Scholar] [CrossRef]
- Mitchell, C.O.; Lipschitz, D.A. The effect of age and sex on the routinely used measurements to assess the nutritional status. Am. J. Clin. Nutr. 1982, 36, 340–349. [Google Scholar] [CrossRef]
- Seltzer, M.M.; Bastidas, J.A.; Cooper, D.M.; Engler, P.; Slocum, B.; Fletcher, H.S. Instant nutritional assessment. J. Parenter. Enter. Nutr. 1979, 3, 157–159. [Google Scholar] [CrossRef]
- Buzby, G.P.; Mullen, J.L.; Matthews, D.C.; Hobbs, C.L.; Rosato, E.F. Prognostic nutritional index in gastrointestinal surgery. Am. J. Surg. 1980, 139, 160–167. [Google Scholar] [CrossRef]
- Onodera, T.; Goseki, N.; Kosaki, G. Prognostic nutritional index in gastrointestinal surgery of malnourished cancer patients. Nihon Geka Gakkai Zasshi 1984, 85, 1001–1005. [Google Scholar] [PubMed]
- Cadwell, J.B.; Afonso, A.M.; Shahrokni, A. Prognostic nutritional index (PNI), independent of frailty is associated with six-month postoperative mortality. J. Geriatr. Oncol. 2020, 11, 880–884. [Google Scholar] [CrossRef] [PubMed]
- Tokunaga, R.; Sakamoto, Y.; Nakagawa, S.; Miyamoto, Y.; Yoshida, N.; Oki, E.; Watanabe, M.; Baba, H. Prognostic nutritional index predicts severe complications, recurrence, and poor prognosis in patients with colorectal cancer undergoing primary tumor resection. Dis. Colon. Rectum. 2015, 58, 1048–1057. [Google Scholar] [CrossRef] [PubMed]
- Mohri, Y.; Inoue, Y.; Tanaka, K.; Hiro, J.; Uchida, K.; Kusunoki, M. Prognostic nutritional index predicts postoperative outcome in colorectal cancer. World J. Surg. 2013, 37, 2688–2692. [Google Scholar] [CrossRef] [PubMed]
- Kanda, M.; Fujii, T.; Kodera, Y.; Nagai, S.; Takeda, S.; Nakao, A. Nutritional predictors of postoperative outcome in pancreatic cancer. Br. J. Surg. 2011, 98, 268–274. [Google Scholar] [CrossRef] [PubMed]
- Mohri, T.; Mohri, Y.; Shigemori, T.; Takeuchi, K.; Itoh, Y.; Kato, T. Impact of prognostic nutritional index on long-term outcomes in patients with breast cancer. World J. Surg. Oncol. 2016, 14, 170. [Google Scholar] [CrossRef] [PubMed]
- Mori, S.; Usami, N.; Fukumoto, K.; Mizuno, T.; Kuroda, H.; Sakakura, N.; Yokoi, K.; Sakao, Y. The significance of the prognostic nutritional index in patients with completely resected non-small cell lung cancer. PLoS ONE 2015, 10, e0136897. [Google Scholar] [CrossRef] [PubMed]
- Elia, M. Screening for malnutrition: A multidisciplinary responsibility. In Development and Use of the Malnutrition Universal Screening Tool (‘MUST’) for Adults; BAPEN: Redditch, UK, 2003; ISBN 1 899467 70 X. [Google Scholar]
- Vellas, B.; Villars, H.; Abellan, G.; Soto, M.E.; Rolland, Y.; Guigoz, Y.; Morley, J.E.; Chumlea, W.; Salva, A.; Rubenstein, L.Z.; et al. Overview of the MNA®-its history and challenges. J. Nutr. Health Aging 2006, 10, 450–465. [Google Scholar]
- Rubenstein, L.Z.; Harker, J.O.; Salva, A.; Guigoz, Y.; Vellas, B. Screening for undernutrition in geriatric practice: Developing the short-form mini nutritional assessment (MNA-SF). J. Geront 2001, 56, M366–M377. [Google Scholar] [CrossRef]
- Kaiser, M.J.; Bauer, J.M.; Ramsch, C.; Uter, W.; Guigoz, Y.; Cederholm, T.; Thomas, D.R.; Anthony, P.; Charlton, K.E.; Maggio, M.; et al. MNA International Group. Validation of the mini nutritional assessment short-form (MNA-SF): A practical tool for identification of nutritional status. J. Nutr. Health Aging 2009, 13, 782–788. [Google Scholar] [CrossRef]
- Martins, C.P.A.L.; Correia, J.R.; do Amaral, T.F. Undernutrition risk screening and length of stay of hospitalized elderly. J. Nutr. Elder. 2005, 25, 5–21. [Google Scholar] [CrossRef] [PubMed]
- Rahman, A.; Wu, T.; Bricknell, R.; Muqtadir, Z.; Armstrong, D. Malnutrition matters in Canadian hospitalized patients: Malnutrition risk in hospitalized patients in a tertiary care center using the malnutrition universal screening tool. Nutr. Clin. Pract. 2015, 30, 709–713. [Google Scholar] [CrossRef] [PubMed]
- Wu, M.L.; Courtney, M.D.; Shortridge-Baggett, L.M.; Finlayson, K.; Isenring, E.A. Validity of the malnutrition screening tool for older adults at high risk of hospital readmission. J. Gerontol. Nurs. 2012, 38, 38–45. [Google Scholar] [CrossRef] [PubMed]
- Jeejeebhoy, K.N.; Keller, H.; Gramlich, L.; Allard, J.P.; Laporte, M.; Duerksen, D.R.; Payette, H.; Bernier, P.; Vesnaver, E.; Davidson, B.; et al. Nutritional assessment: Comparison of clinical assessment and objective variables for the prediction of length of hospital stay and readmission. Am. J. Clin. Nutr. 2015, 101, 956–965. [Google Scholar] [CrossRef] [PubMed]
- Abd-El-Gawad, W.M.; Abou-Hashem, R.M.; El Maraghy, M.O.; Amin, G.E. The validity of Geriatric Nutrition Risk Index: Simple tool for prediction of nutritional related complication of hospitalized elderly patients. Comparison with Mini Nutritional Assessment. Clin. Nutr. 2014, 33, 1108–1116. [Google Scholar] [CrossRef] [PubMed]
- Pablo, A.M.; Izaga, M.A.; Alday, L.A. Assessment of nutritional status on hospital admission: Nutritional scores. Eur. J. Clin. Nutr. 2003, 57, 824–831. [Google Scholar] [CrossRef]
- Bauer, J.M.; Vogl, T.; Wicklein, S.; Trögner, J.; Mühlberg, W.; Sieber, C.C. Comparison of the Mini nutritional assessment, subjective global assessment, and nutritional risk screening (NRS 2002) for nutritional screening and assessment in geriatric hospital patients. Z. Gerontol. Geriatr. 2005, 38, 322–327. [Google Scholar] [CrossRef] [PubMed]
- Konturek, P.C.; Herrmann, H.J.; Schink, K.; Neurath, M.F.; Zopf, Y. Malnutrition in hospitals: It was, is now, and must not remain a problem! Med. Sci. Monit. 2015, 21, 2969–2975. [Google Scholar] [CrossRef]
- Stratton, R.J.; Hackston, A.; Longmore, D.; Dixon, R.; Price, S.; Stroud, M.; King, C.; Elia, M. Malnutrition in hospital outpatients and inpatients: Prevalence, concurrent validity and ease of use of the “malnutrition universal screening tool” (“MUST”) for adults. Br. J. Nutr. 2004, 92, 799–808. [Google Scholar] [CrossRef]
- Bouillanne, O.; Morineau, G.; Dupont, C.; Coulombel, I.; Vincent, J.P.; Nicolis, I.; Benazeth, S.; Cynober, L.; Aussel, C. Geriatric Nutritional Risk Index: A new index for evaluating at-risk elderly medical patients. Am. J. Clin. Nutr. 2005, 82, 777–783. [Google Scholar] [CrossRef]
- Zhangh, K.; Qin, W.; Zheng, Y.; Pang, J.; Zhong, N.; Fei, J.; Li, Y.; Jian, X.; Hou, X.; Hu, Z.; et al. Malnutrition Contributes to Low Lymphocyte Count in Early-Stage Coronavirus Disease-2019. Front. Nutr. 2002, 8, 739216. [Google Scholar] [CrossRef] [PubMed]
- Naeim, F.; Rao, P.N.; Grody, W.W. Atlas of Hematopathology: Morphology, Immunophenotype, Cytogenetics, and Molecular Approaches; Elsevier Health Science: London, UK, 2013. [Google Scholar]
- Boirie, Y.; Morio, B.; Caumon, E.; Cano, N.J. Nutrition and protein energy homeostasis in elderly. Mech. Ageing Dev. 2014, 136–137, 76–84. [Google Scholar] [CrossRef] [PubMed]
- Beasley, J.M.; LaCroix, A.Z.; Neuhouser, M.L.; Huang, Y.; Tinker, L.; Woods, N.; Michael, Y.; Curb, J.D.; Prentice, R.L. Protein intake and incident frailty in the Women’s Health Initiative observational study. J. Am. Geriatr. Soc. 2010, 58, 1063–1071. [Google Scholar] [CrossRef] [PubMed]
- Raynaud-Simon, A.; Revel-Delhom, C.; Hebuterne, X. Clinical practice guidelines from the French Health High Authority: Nutritional support strategy in protein-energy malnutrition in the elderly. Clin. Nutr. 2011, 30, 312–319. [Google Scholar] [CrossRef] [PubMed]
- Tannen, A.; Lohrmann, C. Malnutrition in Austrian hospital patients. Prevalence, risk factors, nursing interventions, and quality indicators: A descriptive multicentre study. J. Adv. Nurs. 2013, 69, 1840–1849. [Google Scholar] [CrossRef] [PubMed]
- Fuchs, V.; Mostkoff, D.; Salmean, G.G.; Amancio, O. Nutritional status in hospitalized patients in a public hospital in Mexico City. Nutr. Hosp. 2008, 23, 294–303. [Google Scholar]
- Lamb, S.; Close, A.; Bonnin, C.; Ferrie, S. ‘Nil By Mouth’–are we starving our patients? e-Spen Eur. e-J. Clin. Nutr. Metab. 2010, 5, e90–e92. [Google Scholar] [CrossRef]
- Vidot, H.; Teevan, K.; Carey, S.; Strasser, S.; Shackel, N. A prospective audit of preprocedural fasting practices on a transplant ward: When fasting becomes starving. J. Clin. Nurs. 2016, 25, 829–835. [Google Scholar] [CrossRef]
- Halvorsen, K.; Eide, H.K.; Sortland, K.; Almendingen, K. Documentation and communication of nutritional care for elderly hospitalized patients: Perspectives of nurses and undergraduate nurses in hospitals and nursing homes. BMC Nurs. 2016, 15, 70. [Google Scholar] [CrossRef]
- Hope, K.; Ferguson, M.; Reidlinger, D.P.; Agarwal, E. I don’t eat when I’m sick: Older people’s food and mealtime experiences in hospital. Maturitas 2017, 97, 6–13. [Google Scholar] [CrossRef]
- Naber, T.H.J.; de Bree, A.; Schermer, T.; Bakkeren, J.; Bär, B.; de Wild, G.; Katan, M. Specificity of indices of malnutrition when applied to apparently healthy people: The effect of age. Am. J. Clin. Nutr. 1997, 65, 1721–1725. [Google Scholar] [CrossRef] [PubMed]
- Pareja, A.; Aznarte, P.; de la Rubia, A.; Lopez, F. Assessment of nutritional status at hospital admission: Identification of patients with risk of malnutrition. Nutr. Hosp. 2000, 15, 156–163. [Google Scholar]
- Correia, M.I.; Caiaffa, W.T.; da Silva, A.L.; Waitzberg, D.L. Risk factors in malnutrition in patients undergoing gastroenterological and hernia surgery: An analysis of 374 patients. Nutr. Hosp. 2001, 216, 59–64. [Google Scholar]
- Covinsky, K.E.; Martin, G.E.; Beyth, R.J.; Justice, A.C.; Seghal, A.R.; Landefeld, C.S. The relationship between clinical assessments of nutritional status and adverse outcome in older hospitalized medical patients. J. Am. Geriatr. Soc. 2001, 47, 532–538. [Google Scholar] [CrossRef] [PubMed]
- Waitzberg, D.L.; Caiaffa, W.T.; Correia, M.I. Hospital malnutrition: The Brazilian National Survey (IBRANUTRI): A study of 4000 patients. Nutrition 2001, 17, 573–580. [Google Scholar] [CrossRef]
- Ferguson, M.; Capra, S.; Bauer, J.; Banks, M. Development of a valid and reliable malnutrition screening tool for adult acute hospital patients. Nutrition 1999, 15, 458–464. [Google Scholar] [CrossRef]
- Corish, C.A.; Flood, P.; Mulligan, S.; Kennedy, N.P. Apparent low frequency of undernutrition in Dublin hospital in-patients: Should we review the anthropometric thresholds for clinical practice? Br. J. Nutr. 2000, 84, 325–335. [Google Scholar] [CrossRef] [PubMed]
- Gianotti, L.; Braga, M.; Radaelli, G.; Mariani, L.; Vignali, A.; Carlo, V.D. Lack of improvement of prognostic performance of weight loss when combined with other parameters. Nutrition 1995, 11, 12–16. [Google Scholar]
- Corish, C.A.; Kennedy, N.P. Protein-energy undernutrition in hospital in-patients. Br. J. Nutr. 2000, 83, 575–591. [Google Scholar] [CrossRef]
- Schneider, S.M.; Hebuterne, X. Use of nutritional scores to predict clinical outcomes in chronic diseases. Nutr. Rev. 2000, 1, 31–38. [Google Scholar] [CrossRef]


| Male | Female | Sig. | |
|---|---|---|---|
| Subjects N (%) | 1112 (50.3%) | 1100 (49.7%) | 1.000 |
| Age at hospitalization (Mean ± SD) | 71 ± 15 | 76 ± 15 | <0.001 |
| LOS (Mean ± SD) | 11 ± 7 | 11 ± 7 | 0.242 |
| Albuminemia (Mean ± SD) | 3.1 ± 0.7 | 3.1 ± 0.7 | 0.237 |
| CRP (Mean ± SD) | 71.8 ± 87 | 63.2 ± 81 | 0.013 |
| Lymphocytes (Mean ± SD) | 1455 ± 1754 | 1615 ± 4108 | 0.043 |
| PNI (Mean ± SD) | 38.7 ± 11.7 | 39.4 ± 25.5 | 0.914 |
| INA score 1st–2nd degree N (%) | 354 (52.2%) | 324 (47.8%) | 0.321 |
| INA score 3rd–4th degree N (%) | 758 (49.4%) | 776 (50.6%) |
| Length of Stay | ||
|---|---|---|
| Age at admission | Correlation | 0.094 |
| Significance (2-tailed) | <0.001 | |
| CRP | Correlation | 0.178 |
| Significance (2-tailed) | <0.001 | |
| PNI | Correlation | −0.075 |
| Significance (2-tailed) | <0.001 | |
| Deceased | Not Deceased | Sig. | |
|---|---|---|---|
| Subjects N (%) | 327 (14.8%) | 1885 (85.2%) | <0.001 |
| Male N (%) | 164 (50.2%) | 948 (50.3%) | 1 |
| Female N (%) | 163 (49.8%) | 937 (49.7%) | |
| Age at hospitalization (Mean ± SD) | 81 ± 11 | 73 ± 15 | <0.001 |
| LOS (Mean ± SD) | 12 ± 10 | 11 ± 7 | 0.554 |
| Albuminemia (Mean ± SD) | 2.6 ± 0.6 | 3.2 ± 0.7 | <0.001 |
| Lymphocytes (Mean ± SD) | 1558 ± 6999 | 1530 ± 1786 | <0.001 |
| PNI (Mean ± SD) | 33.4 ± 35.5 | 40.0 ± 15.3 | <0.001 |
| CRP (Mean ± SD) | 120.1 ± 95.4 | 58.4 ± 78.9 | <0.001 |
| INA score 1st–2nd degree N (%) | 23 (7.0%) | 655 (34.7%) | <0.001 |
| INA score 3rd–4th degree N (%) | 304 (93.0%) | 1230 (65.3%) |
| Odds Ratio | 95% Confidence Intervals | Sig. | |
| INA Score 3rd–4th degree | 3.14 | 2.22–4.46 | <0.001 |
| PNI < 36.6 | 2.39 | 1.85–3.10 |
Disclaimer/Publisher’s Note: The statements, opinions and data contained in all publications are solely those of the individual author(s) and contributor(s) and not of MDPI and/or the editor(s). MDPI and/or the editor(s) disclaim responsibility for any injury to people or property resulting from any ideas, methods, instructions or products referred to in the content. |
© 2024 by the authors. Licensee MDPI, Basel, Switzerland. This article is an open access article distributed under the terms and conditions of the Creative Commons Attribution (CC BY) license (https://creativecommons.org/licenses/by/4.0/).
Share and Cite
Capurso, C.; Lo Buglio, A.; Bellanti, F.; Vendemiale, G. Prognostic Nutritional Index and Instant Nutritional Assessement Are Associated with Clinical Outcomes in a Geriatric Cohort of Acutely Inpatients. Nutrients 2024, 16, 1359. https://doi.org/10.3390/nu16091359
Capurso C, Lo Buglio A, Bellanti F, Vendemiale G. Prognostic Nutritional Index and Instant Nutritional Assessement Are Associated with Clinical Outcomes in a Geriatric Cohort of Acutely Inpatients. Nutrients. 2024; 16(9):1359. https://doi.org/10.3390/nu16091359
Chicago/Turabian StyleCapurso, Cristiano, Aurelio Lo Buglio, Francesco Bellanti, and Gianluigi Vendemiale. 2024. "Prognostic Nutritional Index and Instant Nutritional Assessement Are Associated with Clinical Outcomes in a Geriatric Cohort of Acutely Inpatients" Nutrients 16, no. 9: 1359. https://doi.org/10.3390/nu16091359
APA StyleCapurso, C., Lo Buglio, A., Bellanti, F., & Vendemiale, G. (2024). Prognostic Nutritional Index and Instant Nutritional Assessement Are Associated with Clinical Outcomes in a Geriatric Cohort of Acutely Inpatients. Nutrients, 16(9), 1359. https://doi.org/10.3390/nu16091359

