Evaluation of the Nutritional Quality of Chinese Processed Meat Products: Comparison of Two Nutrient Profile Models
Abstract
1. Introduction
2. Materials and Methods
2.1. Data Collection
2.1.1. Sample Collection of Chinese Processed Meat Products
2.1.2. Sample Collection in the UK and France
2.2. Data Classification
2.3. Data Inclusion and Exclusion Criteria
2.4. Nutrient Profiling Models
2.5. Data Analysis
3. Results
3.1. The Nutrient Content for Chinese Processed Meat Products
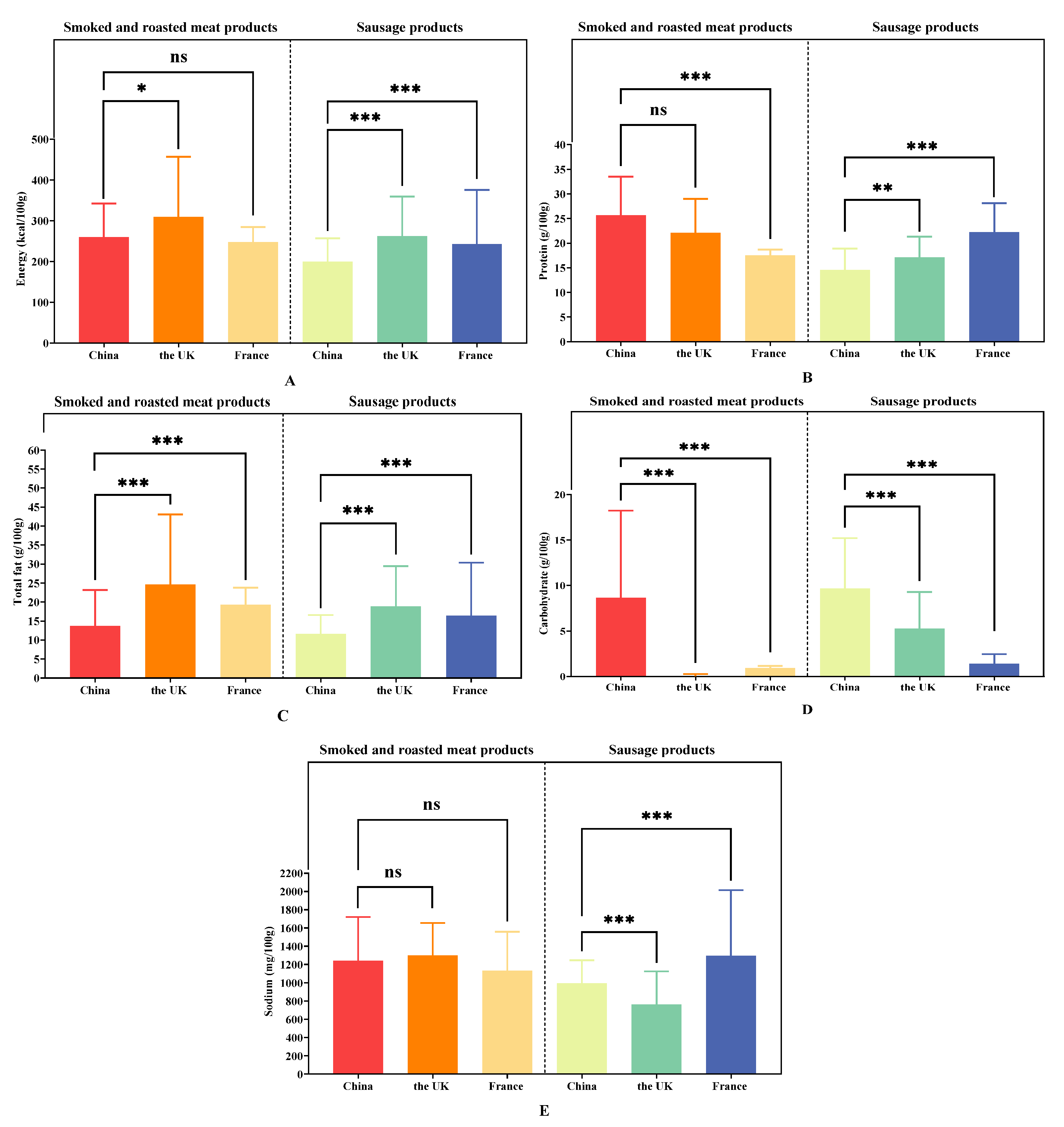
3.2. Chinese Processed Meat Products Compared with Selected Processed Meat Products in the UK and France
3.3. Nutritional Quality of Processed Meat Products in China, the UK, and France under Different NP Models
4. Discussion
5. Conclusions
Supplementary Materials
Author Contributions
Funding
Institutional Review Board Statement
Informed Consent Statement
Data Availability Statement
Conflicts of Interest
References
- Afshin, A.; Sur, P.J.; Fay, K.A.; Cornaby, L.; Murray, C. Health effects of dietary risks in 195 countries, 1990–2017: A systematic analysis for the Global Burden of Disease Study 2017. Lancet 2019, 393, 1958–1972. [Google Scholar] [CrossRef]
- Huang, L.; Trieu, K.; Yoshimura, S.; Neal, B.; Woodward, M.; Campbell, N.; Li, Q.; Lackland, D.T.; Leung, A.A.; Anderson, C.; et al. Effect of dose and duration of reduction in dietary sodium on blood pressure levels: Systematic review and meta-analysis of randomised trials. BMJ Br. Med. J. 2020, 368, m315. [Google Scholar] [CrossRef]
- Mozaffarian, D.; Fahimi, S.; Singh, G.M.; Micha, R.; Khatibzadeh, S.; Engell, R.E.; Lim, S.; Danaei, G.; Ezzati, M.; Powles, J. Global sodium consumption and death from cardiovascular causes. N. Engl. J. Med. 2014, 371, 624–634. [Google Scholar] [CrossRef]
- Wang, Y.; Wang, J.; Chen, S.; Li, B.; Lu, X.; Li, J. Different Changing Patterns for Stroke Subtype Mortality Attributable to High Sodium Intake in China during 1990 to 2019. Stroke 2023, 54, 1078–1087. [Google Scholar] [CrossRef]
- Huang, Y.; Chen, Z.; Chen, B.; Li, J.; Yuan, X.; Li, J.; Wang, W.; Dai, T.; Chen, H.; Wang, Y.; et al. Dietary sugar consumption and health: Umbrella review. BMJ-Br. Med. J. 2023, 381, e71609. [Google Scholar] [CrossRef] [PubMed]
- Qin, P.; Li, Q.; Zhao, Y.; Chen, Q.; Sun, X.; Liu, Y.; Li, H.; Wang, T.; Chen, X.; Zhou, Q.; et al. Sugar and artificially sweetened beverages and risk of obesity, type 2 diabetes mellitus, hypertension, and all-cause mortality: A dose–response meta-analysis of prospective cohort studies. Eur. J. Epidemiol. 2020, 35, 655–671. [Google Scholar] [CrossRef] [PubMed]
- Krauss, R.M.; Kris-Etherton, P.M. Public health guidelines should recommend reducing saturated fat consumption as much as possible: NO. Am. J. Clin. Nutr. 2020, 112, 19–24. [Google Scholar] [CrossRef] [PubMed]
- Sacks, F.M.; Lichtenstein, A.H.; Wu, J.; Appel, L.J.; Creager, M.A.; Kris-Etherton, P.M.; Miller, M.; Rimm, E.B.; Rudel, L.L.; Robinson, J.G.; et al. Dietary Fats and Cardiovascular Disease: A Presidential Advisory from the American Heart Association. Circulation 2017, 136, e1–e23. [Google Scholar] [CrossRef] [PubMed]
- Neri, D.; Steele, E.M.; Khandpur, N.; Cediel, G.; Zapata, M.E.; Rauber, F.; Marron-Ponce, J.A.; Machado, P.; Da, C.L.M.; Andrade, G.C.; et al. Ultraprocessed food consumption and dietary nutrient profiles associated with obesity: A multicountry study of children and adolescents. Obes. Rev. 2022, 23 (Suppl. S1), e13387. [Google Scholar] [CrossRef] [PubMed]
- Baker, P.; Machado, P.; Santos, T.; Sievert, K.; Backholer, K.; Hadjikakou, M.; Russell, C.; Huse, O.; Bell, C.; Scrinis, G.; et al. Ultra-processed foods and the nutrition transition: Global, regional and national trends, food systems transformations and political economy drivers. Obes. Rev. 2020, 21, e13126. [Google Scholar] [CrossRef] [PubMed]
- Zhang, J.; Huang, F.; Zhai, F.; Zhang, B. Investigation on the Consumption KAP of Pre-packaged Food among Urban Residents in China. Food Nutr. China 2015, 21, 46–48. [Google Scholar]
- Zhou, Y.; Du, S.; Su, C.; Zhang, B.; Wang, H.; Popkin, B.M. The food retail revolution in China and its association with diet and health. Food Policy 2015, 55, 92–100. [Google Scholar] [CrossRef] [PubMed]
- Desmond, E.; Vasilopoulos, C. 7—Reducing salt in meat and poultry products. In Reducing Salt in Foods, 2nd ed.; Woodhead Publishing: Shaston, UK, 2019. [Google Scholar]
- World Health Organization. Q&A on the Carcinogenicity of the Consumption of Red Meat and Processed Meat; World Health Organization: Geneva, Switzerland, 2015. [Google Scholar]
- World Cancer Research Fund International; American Institute for Cancer Research. Continuous Update Project: Diet, Nutrition, Physical Activity and Colorectal Cancer; World Cancer Research Fund International: London, UK; American Institute for Cancer Research: Washington, DC, USA, 2017. [Google Scholar]
- World Cancer Research Fund International; American Institute for Cancer Research. Continuous Update Project: Diet, Nutrition, Physical Activity and Stomach Cancer; World Cancer Research Fund International: London, UK; American Institute for Cancer Research: Washington, DC, USA, 2016. [Google Scholar]
- Zhong, V.W.; Van Horn, L.; Greenland, P.; Carnethon, M.R.; Ning, H.; Wilkins, J.T.; Lloyd-Jones, D.M.; Allen, N.B. Associations of Processed Meat, Unprocessed Red Meat, Poultry, or Fish Intake with Incident Cardiovascular Disease and All-Cause Mortality. JAMA Intern. Med. 2020, 180, 503–512. [Google Scholar] [CrossRef]
- Guo, N.; Zhu, Y.; Tian, D.; Zhao, Y.; Zhang, C.; Mu, C.; Han, C.; Zhu, R.; Liu, X. Role of diet in stroke incidence: An umbrella review of meta-analyses of prospective observational studies. BMC Med. 2022, 20, 194. [Google Scholar] [CrossRef] [PubMed]
- Neuenschwander, M.; Ballon, A.; Weber, K.S.; Norat, T.; Aune, D.; Schwingshackl, L.; Schlesinger, S. Role of diet in type 2 diabetes incidence: Umbrella review of meta-analyses of prospective observational studies. BMJ-Br. Med. J. 2019, 366, l2368. [Google Scholar] [CrossRef]
- Song, Y.; Li, Y.; Guo, C.; Wang, Y.; Huang, L.; Tan, M.; He, F.J.; Harris, T.; MacGregor, G.A.; Ding, J.; et al. Cross-sectional comparisons of sodium content in processed meat and fish products among five countries: Potential for feasible targets and reformulation. BMJ Open 2021, 11, e46412. [Google Scholar] [CrossRef]
- World Health Organization. Nutrient Profiling: Report of a WHO/IASO Technical Meeting, London, UK, 4–6 October 2010; Report No.: 9789241502207; World Health Organization: Geneva, Switzerland, 2011. [Google Scholar]
- Food and Agriculture Organization of the United Nations; United Nations International Children’s Emergency Fund; Pan American Health Organization. Etiquetado Nutricional en la Parte Frontal del Envase en América Latina y el Caribe. Nota Orientadora. 2022. Available online: https://iris.paho.org/handle/10665.2/56520 (accessed on 11 October 2023).
- Chantal, J.; Hercberg, S.; WHO, Regional Office for Europe. Development of a new front-of-pack nutrition label in France: The five-colour Nutri-Score. Public Health Panor. 2017, 3, 712–725. [Google Scholar]
- Batista, M.F.; de Carvalho-Ferreira, J.P.; Thimoteo, D.C.D.; De Rosso, V.V. Front-of-package nutrition labeling as a driver for healthier food choices: Lessons learned and future perspectives. Compr. Rev. Food. Sci. Food Saf. 2023, 22, 535–586. [Google Scholar] [CrossRef] [PubMed]
- T/CNSS 001-2018; Labeling Specification for Healthier Choice in Prepackaged Food. Chinese Nutrition Society: Beijing, China, 2018.
- World Health Organization. Manual to Develop and Implement Front-of-Pack Nutrition Labelling: Guidance for Countries on the Selection and Testing of Evidence-Informed Front-of-Pack Nutrition Labelling Systems in the WHO European Region; World Health Organization, Regional Office for Europe: Copenhagen, Denmark, 2020. [Google Scholar]
- GB 28050-2011; General Rules for Nutrition Labeling of Prepackaged Foods. China Standard Press: Beijing, China, 2011.
- UK Composition of Foods Labelling Dataset. 2021. Available online: https://www.gov.uk/government/publications/composition-of-foods-integrated-dataset-cofid (accessed on 11 July 2023).
- Base de Données Oqali. Available online: https://www.oqali.fr/donnees-publiques/base-de-donnees-oqali/ (accessed on 23 July 2023).
- Pettigrew, S.; Booth, L.; Dunford, E.; Scapin, T.; Webster, J.; Wu, J.; Tian, M.; Praveen, D.; Sacks, G. An examination of public support for 35 nutrition interventions across seven countries. Eur. J. Clin. Nutr. 2022, 77, 235–245. [Google Scholar] [CrossRef]
- Yan, R.J.; Hu, Y.L.; Zhang, J.W.; Jiang, Y.; Gao, C.; Xiao, S.; Zhang, J.; Yang, Y. Association between ability to choose prepackaged food and preference for front-of-pack labeling among residents in 6 provinces, China. Chin. J. Public Health 2022, 38, 6. [Google Scholar]
- Cui, J.; Yan, R.; Astell-Burt, T.; Gong, E.; Zheng, L.; Li, X.; Zhang, J.; Xiang, L.; Ye, L.; Hu, Y.; et al. Types and Aspects of Front-of-Package Labeling Preferred by Parents: Insights for Policy Making in China. Nutrients 2022, 14, 800. [Google Scholar] [CrossRef]
- Yin, X.; Ye, L.; Xin, X.; Xiang, L.; Yu, Y.; Yan, R.; Wen, K.; Tian, M.; Jones, A.; Pettigrew, S.; et al. Stakeholder Network Analysis for Front-of-Pack Labeling in China. Front. Nutr. 2022, 9, 871062. [Google Scholar] [CrossRef]
- Yin, X.; Ye, L.; Xin, X.; Xiang, L.; Yu, Y.; Yan, R.; Wen, K.; Tian, M.; Jones, A.; Pettigrew, S.; et al. Key Stakeholder Perspectives on Introducing a Front-of-Pack Labelling Scheme on Packaged Foods in China: A Qualitative Study. Nutrients 2022, 14, 516. [Google Scholar] [CrossRef]
- Fretes, G.; Corvalán, C.; Reyes, M.; Taillie, L.S.; Economos, C.D.; Wilson, N.; Cash, S.B. Changes in children’s and adolescents’ dietary intake after the implementation of Chile’s law of food labeling, advertising and sales in schools: A longitudinal study. Int. J. Behav. Nutr. Phys. Act. 2023, 20, 40. [Google Scholar] [CrossRef] [PubMed]
- Reyes, M.; Smith, T.L.; Popkin, B.; Kanter, R.; Vandevijvere, S.; Corvalán, C. Changes in the amount of nutrient of packaged foods and beverages after the initial implementation of the Chilean Law of Food Labelling and Advertising: A nonexperimental prospective study. PLoS Med. 2020, 17, e1003220. [Google Scholar] [CrossRef]
- Yang, Y.; Wang, Z.; He, M.; Pan, X. China Food Composition Tables Standard Edition Volume 2, 6th ed.; Peking University Medical Press: Beijing, China, 2018. [Google Scholar]
- Li, Y.; Wang, H.; Zhang, P.; Popkin, B.M.; Coyle, D.H.; Ding, J.; Dong, L.; Zhang, J.; Du, W.; Pettigrew, S. Nutritional Quality of Pre-Packaged Foods in China under Various Nutrient Profile Models. Nutrients 2022, 14, 2700. [Google Scholar] [CrossRef]
- Dunford, E.K.; Ni, M.C.; Huang, L.; Vandevijvere, S.; Swinburn, B.; Pravst, I.; Tolentino-Mayo, L.; Reyes, M.; L’Abbe, M.; Neal, B.C. A comparison of the healthiness of packaged foods and beverages from 12 countries using the Health Star Rating nutrient profiling system, 2013–2018. Obes. Rev. 2019, 20 (Suppl. S2), 107–115. [Google Scholar] [CrossRef] [PubMed]
- Zeng, W.; Wen, W.; Deng, Y.; Tian, Y.; Sun, H.; Sun, Q. Chinese ethnic meat products: Continuity and development. Meat Sci. 2016, 120, 37–46. [Google Scholar] [CrossRef]
- Dunteman, A.N.; McKenzie, E.N.; Yang, Y.; Lee, Y.; Lee, S.Y. Compendium of sodium reduction strategies in foods: A scoping review. Compr. Rev. Food. Sci. Food Saf. 2022, 21, 1300–1335. [Google Scholar] [CrossRef] [PubMed]
- Inguglia, E.S.; Zhang, Z.; Tiwari, B.K.; Kerry, J.P.; Burgess, C.M. Salt reduction strategies in processed meat products—A review. Trends Food Sci. Technol. 2017, 59, 70–78. [Google Scholar] [CrossRef]
- Schnettler, B.; Ares, G.; Sepulveda, N.; Bravo, S.; Villalobos, B.; Hueche, C.; Lobos, G. Are consumers willing to pay more for reformulated processed meat products in the context of the implementation of nutritional warnings? Case study with frankfurters in Chile. Meat Sci. 2019, 152, 104–108. [Google Scholar] [CrossRef] [PubMed]
- Schnettler, B.; Ares, G.; Sepulveda, N.; Bravo, S.; Villalobos, B.; Hueche, C.; Adasme-Berrios, C. How do consumers perceive reformulated foods after the implementation of nutritional warnings? Case study with frankfurters in Chile. Food. Qual. Prefer. 2019, 74, 179–188. [Google Scholar] [CrossRef]
- Yang, Y.X.; Gao, C.; Wang, Z.; Wang, Y.Y.; Lai, J.Q.; Ding, G.G. Introduction to Guidelines for Salt Reduction in Chinese Food Industry. Zhonghua Yu Fang Yi Xue Za Zhi 2019, 53, 549–552. [Google Scholar] [PubMed]
- Roberto, C.A.; Ng, S.W.; Ganderats-Fuentes, M.; Hammond, D.; Barquera, S.; Jauregui, A.; Taillie, L.S. The Influence of Front-of-Package Nutrition Labeling on Consumer Behavior and Product Reformulation. Annu. Rev. Nutr. 2021, 41, 529–550. [Google Scholar] [CrossRef]
- Temple, N.J. Front-of-package food labels: A narrative review. Appetite 2020, 144, 104485. [Google Scholar] [CrossRef]
- Song, J.; Brown, M.K.; Tan, M.; MacGregor, G.A.; Webster, J.; Campbell, N.R.C.; Trieu, K.; Ni Mhurchu, C.; Cobb, L.K.; He, F.J. Impact of color-coded and warning nutrition labelling schemes: A systematic review and network meta-analysis. PLoS Med. 2021, 18, e1003765. [Google Scholar] [CrossRef]




| NP Models | Food Category | Energy | Total Fat | Saturated Fat | Total Sugar | Sodium/Salt |
|---|---|---|---|---|---|---|
| Chilean FOPWL | Solid foods | ≥275 kcal/100 g | ≥4 g/100 g | ≥10 g/100 g | ≥400 mg/100 g | |
| Chinese Healthier Choice Logo | Sausage products and canned meat products; | ≤10 g/100 g | ≤5 g/100 g | ≤5 g/100 g | ≤800 mg/100 g | |
| other processed meat products | ≤10 g/100 g | ≤5 g/100 g | ≤800 mg/100 g |
| Food Category | n | Energy (kcal/100 g) | Protein (g/100 g) | Total Fat (g/100 g) | Carbohydrate (g/100 g) | Sodium (mg/100 g) | Total Sugar (g/100 g) a | Saturated Fat (g/100 g) b | ||||||||||
|---|---|---|---|---|---|---|---|---|---|---|---|---|---|---|---|---|---|---|
| Median | 25th | 75th | Median | 25th | 75th | Median | 25th | 75th | Median | 25th | 75th | Median | 25th | 75th | Median | Median | ||
| Cured meat products | 41 | 483 | 332 | 545 | 18.3 | 15.4 | 22.2 | 38.7 | 23.3 | 46.6 | 15.6 | 5.1 | 19.2 | 2076 | 1580 | 3064 | 4.2 | 5.7 |
| Prepared meat products | 54 | 135 | 115 | 212 | 13.5 | 11.5 | 16.4 | 7.6 | 2.7 | 13.8 | 5.2 | 2.1 | 9.9 | 648 | 466 | 790 | 4.2 | 5.7 |
| Soy sauce and pot-roast meat products | 984 | 202 | 161 | 262 | 25.2 | 20.0 | 30.7 | 8.8 | 6.0 | 13.1 | 2.8 | 0.6 | 7.3 | 1240 | 967 | 1586 | 4.2 | 5.7 |
| Dried meat products | 457 | 366 | 341 | 380 | 30.2 | 26.1 | 34.2 | 8.6 | 6.3 | 10.7 | 38.2 | 31.3 | 43.0 | 1500 | 1239 | 1760 | 4.2 | 5.7 |
| Smoked and roasted meat products | 93 | 236 | 205 | 299 | 26.0 | 20.3 | 31.0 | 10.2 | 7.7 | 14.8 | 4.8 | 2.5 | 13.2 | 1150 | 883 | 1538 | 4.2 | 5.7 |
| Canned meat products | 62 | 257 | 231 | 314 | 11.2 | 10.0 | 13.0 | 19.7 | 14.8 | 24.5 | 5.5 | 2.7 | 8.2 | 795 | 719 | 858 | 4.2 | 5.7 |
| Sausage products | 195 | 187 | 164 | 213 | 13.0 | 11.6 | 16.0 | 10.9 | 8.5 | 13.0 | 9.2 | 6.0 | 12.3 | 980 | 826 | 1100 | 4.2 | 5.7 |
| p value * | <0.001 | <0.001 | <0.001 | <0.001 | <0.001 | NA | NA | |||||||||||
| Food Category | Energy (%) | Protein (%) | Total Fat (%) | Carbohydrate (%) | Sodium (%) | ||||||||||
|---|---|---|---|---|---|---|---|---|---|---|---|---|---|---|---|
| Median | 25th | 75th | Median | 25th | 75th | Median | 25th | 75th | Median | 25th | 75th | Median | 25th | 75th | |
| Cured meat products | 24.2 | 16.6 | 27.3 | 30.5 | 25.7 | 37.0 | 64.5 | 38.8 | 77.7 | 5.2 | 1.7 | 6.4 | 103.8 | 79.0 | 153.2 |
| Prepared meat products | 6.8 | 5.8 | 10.6 | 22.5 | 19.2 | 27.3 | 12.7 | 4.5 | 23.0 | 1.7 | 0.7 | 3.3 | 32.4 | 23.3 | 39.5 |
| Soy sauce and pot-roast meat products | 10.1 | 8.1 | 13.1 | 41.8 | 33.3 | 51.2 | 14.7 | 10.0 | 21.8 | 0.9 | 0.2 | 2.4 | 62.0 | 48.4 | 79.3 |
| Dried meat products | 18.3 | 17.1 | 19.0 | 50.3 | 43.5 | 57.0 | 14.3 | 10.5 | 17.8 | 12.7 | 10.4 | 14.3 | 75.0 | 62.0 | 88.0 |
| Smoked and roasted meat products | 11.8 | 10.3 | 15.0 | 43.3 | 33.8 | 51.7 | 17.0 | 12.8 | 24.7 | 1.6 | 0.8 | 4.4 | 57.5 | 44.2 | 76.9 |
| Canned meat products | 12.9 | 11.6 | 15.7 | 18.7 | 16.7 | 21.7 | 32.8 | 24.7 | 40.8 | 1.8 | 0.9 | 2.7 | 39.8 | 36.0 | 42.9 |
| Sausage products | 9.4 | 8.2 | 10.7 | 21.7 | 19.3 | 26.7 | 18.2 | 14.2 | 21.7 | 3.1 | 2.0 | 4.1 | 49.0 | 41.3 | 55.0 |
| Country | Food Category | n | Energy (kcal/100 g) | Protein (g/100 g) | Total Fat (g/100 g) | Carbohydrate (g/100 g) | Sodium (mg/100 g) | Total Sugar (g/100 g) | Saturated Fat (g/100 g) | ||||||||||||||
|---|---|---|---|---|---|---|---|---|---|---|---|---|---|---|---|---|---|---|---|---|---|---|---|
| Median | 25th | 75th | Median | 25th | 75th | Median | 25th | 75th | Median | 25th | 75th | Median | 25th | 75th | Median | 25th | 75th | Median | 25th | 75th | |||
| the UK | Smoked and roasted meat products | 21 | 287 | 228 | −324 | 23.8 | 17.7 | 25.3 | 21.6 | 16.2 | 25.1 | 0.0 | 0.0 | 0.0 | 1368 | 1073 | 1531 | 0.0 | 0.0 | 0.0 | 8.1 | 6.1 | 9.0 |
| Sausage products | 23 | 267 | 191 | −312 | 15.8 | 13.9 | 18.4 | 19.5 | 9.4 | 24.8 | 7.2 | 1.1 | 9.1 | 630 | 492 | 866 | 1.3 | 0.5 | 2.3 | 7.6 | 2.5 | 8.8 | |
| France | Smoked and roasted meat products | 90 | 253 | 235 | −266 | 17.4 | 17.0 | 18.2 | 20.0 | 18.1 | 22.0 | 0.8 | 0.8 | 1.0 | 1000 | 980 | 1200 | 0.8 | 0.7 | 1.0 | 7.7 | 6.7 | 8.8 |
| Sausage products | 1023 | 230 | 117 | −318 | 21.0 | 19.9 | 27.0 | 12.5 | 3.2 | 28.0 | 1.0 | 0.8 | 1.8 | 960 | 748 | 1800 | 0.9 | 0.5 | 1.3 | 4.8 | 1.2 | 11.0 | |
Disclaimer/Publisher’s Note: The statements, opinions and data contained in all publications are solely those of the individual author(s) and contributor(s) and not of MDPI and/or the editor(s). MDPI and/or the editor(s) disclaim responsibility for any injury to people or property resulting from any ideas, methods, instructions or products referred to in the content. |
© 2024 by the authors. Licensee MDPI, Basel, Switzerland. This article is an open access article distributed under the terms and conditions of the Creative Commons Attribution (CC BY) license (https://creativecommons.org/licenses/by/4.0/).
Share and Cite
Ding, X.; Lv, W.; Liu, Y.; Lu, Y.; Liu, Y.; Li, H.; Cai, B.; Han, J.; Yang, Y.; Gao, C.; et al. Evaluation of the Nutritional Quality of Chinese Processed Meat Products: Comparison of Two Nutrient Profile Models. Nutrients 2024, 16, 578. https://doi.org/10.3390/nu16050578
Ding X, Lv W, Liu Y, Lu Y, Liu Y, Li H, Cai B, Han J, Yang Y, Gao C, et al. Evaluation of the Nutritional Quality of Chinese Processed Meat Products: Comparison of Two Nutrient Profile Models. Nutrients. 2024; 16(5):578. https://doi.org/10.3390/nu16050578
Chicago/Turabian StyleDing, Xin, Wanting Lv, Yang Liu, Ying Lu, Yajun Liu, Hanning Li, Beilei Cai, Junhua Han, Yuexin Yang, Chao Gao, and et al. 2024. "Evaluation of the Nutritional Quality of Chinese Processed Meat Products: Comparison of Two Nutrient Profile Models" Nutrients 16, no. 5: 578. https://doi.org/10.3390/nu16050578
APA StyleDing, X., Lv, W., Liu, Y., Lu, Y., Liu, Y., Li, H., Cai, B., Han, J., Yang, Y., Gao, C., & Wang, Z. (2024). Evaluation of the Nutritional Quality of Chinese Processed Meat Products: Comparison of Two Nutrient Profile Models. Nutrients, 16(5), 578. https://doi.org/10.3390/nu16050578

