Sampling Procedures for Estimating the Infant Intake of Human Milk Leptin, Adiponectin, Insulin, Glucose, and Total Lipid
Abstract
1. Introduction
2. Materials and Methods
2.1. Study Participants and Study Design
2.2. Biochemical Analysis of Human Milk Components
2.3. Calculation of Infant Intake of Human Milk Components
2.4. Statistical Analysis
3. Results
3.1. Participant Characteristics
3.2. Concentrations of Milk Components
3.3. 24 h Measured Intake of Milk Components
3.4. Estimated Intake of Milk Components
4. Discussion
5. Conclusions
Author Contributions
Funding
Institutional Review Board Statement
Informed Consent Statement
Data Availability Statement
Acknowledgments
Conflicts of Interest
References
- Christian, P.; Smith, E.R.; Lee, S.E.; Vargas, A.J.; Bremer, A.A.; Raiten, D.J. The need to study human milk as a biological system. Am. J. Clin. Nutr. 2021, 113, 1063–1072. [Google Scholar] [CrossRef] [PubMed]
- Donovan, S.M.; Aghaeepour, N.; Andres, A.; Azad, M.B.; Becker, M.; Carlson, S.E.; Jarvinen, K.M.; Lin, W.; Lonnerdal, B.; Slupsky, C.M.; et al. Evidence for human milk as a biological system and recommendations for study desig—A report from “Breastmilk Ecology: Genesis of Infant Nutrition (BEGIN)” Working Group 4. Am. J. Clin. Nutr. 2023, 117 (Suppl. S1), S61–S86. [Google Scholar] [CrossRef]
- Smilowitz, J.T.; Allen, L.H.; Dallas, D.C.; McManaman, J.; Raiten, D.J.; Rozga, M.; Sela, D.A.; Seppo, A.; Williams, J.E.; Young, B.E.; et al. Ecologies, synergies, and biological systems shaping human milk composition—A report from “Breastmilk Ecology: Genesis of Infant Nutrition (BEGIN)” Working Group 2. Am. J. Clin. Nutr. 2023, 117, S28–S42. [Google Scholar] [CrossRef] [PubMed]
- Neville, M.C.; Demerath, E.W.; Hahn-Holbrook, J.; Hovey, R.C.; Martin-Carli, J.; McGuire, M.A.; Newton, E.R.; Rasmussen, K.M.; Rudolph, M.C.; Raiten, D.J. Parental factors that impact the ecology of human mammary development, milk secretion, and milk composition—A report from “Breastmilk Ecology: Genesis of Infant Nutrition (BEGIN)” Working Group 1. Am. J. Clin. Nutr. 2023, 117 (Suppl. S1), S11–S27. [Google Scholar] [CrossRef] [PubMed]
- Krebs, N.F.; Belfort, M.B.; Meier, P.P.; Mennella, J.A.; O’Connor, D.L.; Taylor, S.N.; Raiten, D.J. Infant factors that impact the ecology of human milk secretion and composition—A report from “Breastmilk Ecology: Genesis of Infant Nutrition (BEGIN)” Working Group 3. Am. J. Clin. Nutr. 2023, 117 (Suppl. S1), S43–S60. [Google Scholar] [CrossRef] [PubMed]
- Quinn, E.A. Centering human milk composition as normal human biological variation. Am. J. Hum. Biol. 2021, 33, e23564. [Google Scholar] [CrossRef] [PubMed]
- Geddes, D.T.; Gridneva, Z.; Perrella, S.L.; Mitoulas, L.R.; Kent, J.C.; Stinson, L.F.; Lai, C.T.; Sakalidis, V.; Twigger, A.J.; Hartmann, P.E. 25 Years of Research in Human Lactation: From Discovery to Translation. Nutrients 2021, 13, 3071. [Google Scholar] [CrossRef] [PubMed]
- Nagel, E.M.; Elgersma, K.M.; Gallagher, T.T.; Johnson, K.E.; Demerath, E.; Gale, C.A. Importance of human milk for infants in the clinical setting: Updates and mechanistic links. Nutr. Clin. Pract. 2023, 38, S39–S55. [Google Scholar] [CrossRef]
- Rollins, N.C.; Bhandari, N.; Hajeebhoy, N.; Horton, S.; Lutter, C.K.; Martines, J.C.; Piwoz, E.G.; Richter, L.M.; Victora, C.G. Why invest, and what it will take to improve breastfeeding practices? Lancet 2016, 387, 491–504. [Google Scholar] [CrossRef]
- Groer, M.W. Editorial on Human Milk as a Biological System. J. Hum. Lact. 2023, 39, 191–193. [Google Scholar] [CrossRef]
- Koletzko, B.; Brands, B.; Chourdakis, M.; Cramer, S.; Grote, V.; Hellmuth, C.; Kirchberg, F.; Prell, C.; Rzehak, P.; Uhl, O.; et al. The Power of Programming and the EarlyNutrition Project: Opportunities for Health Promotion by Nutrition during the First Thousand Days of Life and Beyond. Ann. Nutr. Metab. 2014, 64, 187–196. [Google Scholar] [CrossRef] [PubMed]
- Suwaydi, M.A.; Lai, C.T.; Rea, A.; Gridneva, Z.; Perrella, S.L.; Wlodek, M.E.; Geddes, D.T. Circadian Variation in Human Milk Hormones and Macronutrients. Nutrients 2023, 15, 3729. [Google Scholar] [CrossRef] [PubMed]
- Italianer, M.F.; Naninck, E.F.G.; Roelants, J.A.; van der Horst, G.T.J.; Reiss, I.K.M.; Goudoever, J.B.v.; Joosten, K.F.M.; Chaves, I.; Vermeulen, M.J. Circadian Variation in Human Milk Composition, a Systematic Review. Nutrients 2020, 12, 2328. [Google Scholar] [CrossRef] [PubMed]
- Hahn-Holbrook, J.; Saxbe, D.; Bixby, C.; Steele, C.; Glynn, L. Human milk as “chrononutrition”: Implications for child health and development. Pediatr. Res. 2019, 85, 936–942. [Google Scholar] [CrossRef] [PubMed]
- Butte, N.F.; Wong, W.W.; Patterson, B.W.; Garza, C.; Klein, P.D. Human-milk intake measured by administration of deuterium oxide to the mother: A comparison with the test-weighing technique. Am. J. Clin. Nutr. 1988, 47, 815–821. [Google Scholar] [CrossRef] [PubMed]
- Arthur, P.G.; Hartmann, P.E.; Smith, M. Measurement of the Milk Intake of Breast-Fed Infants. J. Pediatr. Gastroenterol. Nutr. 1987, 6, 758–763. [Google Scholar] [CrossRef] [PubMed]
- Kocaadam, B.; Koksal, E.; Ozcan, K.E.; Turkyilmaz, C. Do the adiponectin and leptin levels in preterm and term breast milk samples relate to infants’ short-term growth? J. Dev. Orig. Health Dis. 2019, 10, 253–258. [Google Scholar] [CrossRef] [PubMed]
- Ellsworth, L.; Perng, W.; Harman, E.; Das, A.; Pennathur, S.; Gregg, B. Impact of maternal overweight and obesity on milk composition and infant growth. Matern. Child. Nutr. 2020, 16, e12979. [Google Scholar] [CrossRef]
- Rudolph, M.C.; Young, B.E.; Lemas, D.J.; Palmer, C.E.; Hernandez, T.L.; Barbour, L.A.; Friedman, J.E.; Krebs, N.F.; MacLean, P.S. Early infant adipose deposition is positively associated with the n-6 to n-3 fatty acid ratio in human milk independent of maternal BMI. Int. J. Obes. 2017, 41, 510–517. [Google Scholar] [CrossRef]
- Brunner, S.; Schmid, D.; Zang, K.; Much, D.; Knoeferl, B.; Kratzsch, J.; Amann-Gassner, U.; Bader, B.L.; Hauner, H. Breast milk leptin and adiponectin in relation to infant body composition up to 2 years. Pediatr. Obes. 2015, 10, 67–73. [Google Scholar] [CrossRef]
- Yang, C.; Guo, Q.; Cui, M.; Li, X.; Zhang, J.; Peng, X.; Liu, J.; Liu, P.; Wang, L. Association between maternal metabolic profiles in pregnancy, dietary patterns during lactation and breast milk leptin: A retrospective cohort study. Br. J. Nutr. 2023, 130, 1537–1547. [Google Scholar] [CrossRef] [PubMed]
- Sims, C.R.; Lipsmeyer, M.E.; Turner, D.E.; Andres, A. Human milk composition differs by maternal BMI in the first 9 months postpartum. Am. J. Clin. Nutr. 2020, 112, 548–557. [Google Scholar] [CrossRef]
- George, A.D.; Gay, M.C.L.; Murray, K.; Muhlhausler, B.S.; Wlodek, M.E.; Geddes, D.T. Human milk sampling protocols affect estimation of infant lipid intake. J. Nutr. 2020, 150, 2924–2930. [Google Scholar] [CrossRef] [PubMed]
- Mitoulas, L.R.; Kent, J.C.; Cox, D.B.; Owens, R.A.; Sherriff, J.L.; Hartmann, P.E. Variation in fat, lactose and protein in human milk over 24 h and throughout the first year of lactation. Br. J. Nutr. 2002, 88, 29–37. [Google Scholar] [CrossRef] [PubMed]
- Suwaydi, M.A.; Gridneva, Z.; Perrella, S.L.; Wlodek, M.E.; Lai, C.T.; Geddes, D.T. Human Milk Metabolic Hormones: Analytical Methods and Current Understanding. Int. J. Mol. Sci. 2021, 22, 8708. [Google Scholar] [CrossRef] [PubMed]
- Leghi, G.E.; Middleton, P.F.; Netting, M.J.; Wlodek, M.E.; Geddes, D.T.; Muhlhausler, B.S. A Systematic Review of Collection and Analysis of Human Milk for Macronutrient Composition. J. Nutr. 2020, 150, 1652–1670. [Google Scholar] [CrossRef]
- Scanlon, K.S.; Alexander, M.P.; Serdula, M.K.; Davis, M.K.; Bowman, B.A. Assessment of Infant Feeding: The Validity of Measuring Milk Intake. Nutr. Rev. 2002, 60, 235–251. [Google Scholar] [CrossRef] [PubMed]
- Rios-Leyvraz, M.; Yao, Q. The Volume of Breast Milk Intake in Infants and Young Children: A Systematic Review and Meta-Analysis. Breastfeed. Med. 2023, 18, 188–197. [Google Scholar] [CrossRef]
- European Food Safety Authority. Scientific Opinion on nutrient requirements and dietary intakes of infants and young children in the European Union. EFSA J. 2013, 11, 3408. [Google Scholar] [CrossRef]
- Binns, C.W.; Fraser, M.L.; Lee, A.H.; Scott, J. Defining exclusive breastfeeding in Australia. J. Pediatr. Child. Health 2009, 45, 174–180. [Google Scholar] [CrossRef]
- Kent, J.C.; Mitoulas, L.R.; Cregan, M.D.; Ramsay, D.T.; Doherty, D.A.; Hartmann, P.E. Volume and frequency of breastfeedings and fat content of breast milk throughout the day. Pediatrics 2006, 117, e387–e395. [Google Scholar] [CrossRef] [PubMed]
- Neville, M.C.; Keller, R.; Seacat, J.; Lutes, V.; Lutes, M.; Casey, C.; Allen, J.; Archer, P. Studies in human lactation: Milk volumes in lactating women during the onset of lactation and full lactation. Am. J. Clin. Nutr. 1988, 48, 1375–1386. [Google Scholar] [CrossRef] [PubMed]
- Meier, P.P.; Engstrom, J.L.; Zuleger, J.L.; Motykowski, J.E.; Vasan, U.; Meier, W.A.; Hartmann, P.E.; Williams, T.M. Accuracy of a User-Friendly Centrifuge for Measuring Creamatocrits on Mothers’ Milk in the Clinical Setting. Breastfeed. Med. 2006, 1, 79–87. [Google Scholar] [CrossRef] [PubMed]
- Lucas, A.; Gibbs, J.A.; Lyster, R.L.; Baum, J.D. Creamatocrit: Simple clinical technique for estimating fat concentration and energy value of human milk. Br. Med. J. 1978, 1, 1018–1020. [Google Scholar] [CrossRef] [PubMed]
- R Core Team. R: A Language and Environment for Statistical Computing; R Foundation for Statistical Computing: Vienna, Austria, 2023. [Google Scholar]
- Bates, D.; Mächler, M.; Bolker, B.; Walker, S. Fitting Linear Mixed-Effects Models Using lme4. J. Stat. Softw. 2015, 67, 1–48. [Google Scholar] [CrossRef]
- Kuznetsova, A.; Brockhoff, P.B.; Christensen, R.H.B. lmerTest Package: Tests in Linear Mixed Effects Models. J. Stat. Softw. 2017, 82, 1–26. [Google Scholar] [CrossRef]
- Lenth, R.V. emmeans: Estimated Marginal Means, aka Least-Squares Means, R Package Version 1.8.9; 2023. Available online: https://CRAN.R-project.org/package=emmeans (accessed on 23 October 2023).
- Wickham, H. ggplot2: Elegant Graphics for Data Analysis; Springer-Verlag: New York, NY, USA, 2016. [Google Scholar]
- Kassambara, A. ggpubr: ‘ggplot2’ Based Publication Ready Plots, R Package Version 0.6.0; 2023. Available online: https://CRAN.R-project.org/package=ggpubr (accessed on 23 October 2023).
- Daly, S.E.; Di Rosso, A.; Owens, R.A.; Hartmann, P.E. Degree of breast emptying explains changes in the fat content, but not fatty acid composition, of human milk. Exp. Physiol. 1993, 78, 741–755. [Google Scholar] [CrossRef]
- Norrish, I.; Sindi, A.; Sakalidis, V.S.; Lai, C.T.; McEachran, J.L.; Tint, M.T.; Perrella, S.L.; Nicol, M.P.; Gridneva, Z.; Geddes, D.T. Relationships between the Intakes of Human Milk Components and Body Composition of Breastfed Infants: A Systematic Review. Nutrients 2023, 15, 2370. [Google Scholar] [CrossRef]
- Brockway, M.; Daniel, A.I.; Reyes, S.M.; Gauglitz, J.M.; Granger, M.; McDermid, J.M.; Chan, D.; Refvik, R.; Sidhu, K.K.; Musse, S.; et al. Human Milk Bioactive Components and Child Growth and Body Composition in the First 2 Years: A Systematic Review. Adv. Nutr. 2023, 15, 100127. [Google Scholar] [CrossRef]
- Vieira Queiroz De Paula, M.; Grant, M.; Lanigan, J.; Singhal, A. Does human milk composition predict later risk of obesity? A systematic review. BMC Nutr. 2023, 9, 89. [Google Scholar] [CrossRef]
- Gridneva, Z.; Kugananthan, S.; Rea, A.; Lai, C.T.; Ward, L.C.; Murray, K.; Hartmann, P.E.; Geddes, D.T. Human Milk Adiponectin and Leptin and Infant Body Composition over the First 12 Months of Lactation. Nutrients 2018, 10, 1125. [Google Scholar] [CrossRef] [PubMed]
- Kon, I.Y.; Shilina, N.M.; Gmoshinskaya, M.V.; Ivanushkina, T.A. The Study of Breast Milk IGF-1, Leptin, Ghrelin and Adiponectin Levels as Possible Reasons of High Weight Gain in Breast-Fed Infants. Ann. Nutr. Metab. 2014, 65, 317–323. [Google Scholar] [CrossRef] [PubMed]
- Brockway, M.; Daniel, A.I.; Reyes, S.M.; Granger, M.; McDermid, J.M.; Chan, D.; Refvik, R.; Sidhu, K.K.; Musse, S.; Patel, P.P.; et al. Human Milk Macronutrients and Child Growth and Body Composition in the First Two Years: A Systematic Review. Adv. Nutr. 2023, 15, 100149. [Google Scholar] [CrossRef] [PubMed]
- George, A.D.; Gay, M.C.L.; Wlodek, M.E.; Geddes, D.T. Breastfeeding a small for gestational age infant, complicated by maternal gestational diabetes: A case report. BMC Pregnancy Childbirth 2019, 19, 210. [Google Scholar] [CrossRef] [PubMed]
- Phattraprayoon, N.; Kraisonsin, N.; Kanjanapattanakul, W. Comparison of Breast Milk Compositions Among Mothers Delivering Small-for-Gestational Age, Appropriate-for-Gestational Age, and Large-for-Gestational Age Infants. Breastfeed. Med. 2018, 13, 627–630. [Google Scholar] [CrossRef] [PubMed]
- Coward, W.A.; Sawyer, M.B.; Whitehead, R.G.; Prentice, A.M.; Evans, J. New method for measuring milk intakes in breast-fed babies. Lancet 1979, 314, 13–14. [Google Scholar] [CrossRef] [PubMed]
- Kent, J.C.; Hepworth, A.R.; Sherriff, J.L.; Cox, D.B.; Mitoulas, L.R.; Hartmann, P.E. Longitudinal changes in breastfeeding patterns from 1 to 6 months of lactation. Breastfeed. Med. 2013, 8, 401–407. [Google Scholar] [CrossRef] [PubMed]
- Boss, M.; Gardner, H.; Hartmann, P. Normal Human Lactation: Closing the gap. F1000Research 2018, 7, 801. [Google Scholar] [CrossRef]
- Nunes, M.; da Silva, C.H.; Bosa, V.L.; Bernardi, J.R.; Werlang, I.C.R.; Goldani, M.Z.; Group, N. Could a remarkable decrease in leptin and insulin levels from colostrum to mature milk contribute to early growth catch-up of SGA infants? BMC Pregnancy Childbirth 2017, 17, 410. [Google Scholar] [CrossRef]
- Whitmore, T.J.; Trengove, N.J.; Graham, D.F.; Hartmann, P.E. Analysis of insulin in human breast milk in mothers with type 1 and type 2 diabetes mellitus. Int. J. Endocrinol. 2012, 2012, 296368. [Google Scholar] [CrossRef]
- Martin, L.J.; Woo, J.G.; Geraghty, S.R.; Altaye, M.; Davidson, B.S.; Banach, W.; Dolan, L.M.; Ruiz-Palacios, G.M.; Morrow, A.L. Adiponectin is present in human milk and is associated with maternal factors. Am. J. Clin. Nutr. 2006, 83, 1106–1111. [Google Scholar] [CrossRef] [PubMed]
- Sadr Dadres, G.; Whitaker, K.M.; Haapala, J.L.; Foster, L.; Smith, K.D.; Teague, A.M.; Jacobs, D.R., Jr.; Kharbanda, E.O.; McGovern, P.M.; Schoenfuss, T.C.; et al. Relationship of Maternal Weight Status Before, During, and After Pregnancy with Breast Milk Hormone Concentrations. Obesity 2019, 27, 621–628. [Google Scholar] [CrossRef] [PubMed]


| Protocol ID | Sampling | Milk Intake Used in Calculation |
|---|---|---|
| 1A | True intake: all pre- and post-feed samples throughout 24 h | Milk intake for each feed throughout 24 h, mL |
| 2B | 1/pre/am/true: pre-feed morning sample (06:00–10:00) | True milk intake per infant, mL/24 h |
| 2C | 1/post/am/true: post-feed morning sample (06:00–10:00) | |
| 2D | 2/1pre/1post/am/true: mean of pre- and post-feed morning samples (06:00–10:00) | |
| 2E | 3/pre/24 h/true: mean of 3 pre-feed samples, morning (06:00–09:00), afternoon (13:00–16:00), evening (19:00–22:00) | |
| 2F | 6/3pre/3post/24 h/true: mean of 6 samples, pre- and post-feed, morning (06:00–09:00), afternoon (13:00–16:00), evening (19:00–22:00) | |
| 3B | 1/pre/am/800: pre-feed morning sample (06:00–10:00) | 800 mL/24 h a |
| 3C | 1/post/am/800: post-feed morning sample (06:00–10:00) | |
| 3D | 2/1pre/1post/am/800: mean of pre- and post-feed morning samples (06:00–10:00) | |
| 3E | 3/pre/24 h/800: mean of 3 pre-feed samples, morning (06:00–09:00), afternoon (13:00–16:00), evening (19:00–22:00) | |
| 3F | 6/3pre/3post/24 h/800: mean of 6 samples, pre- and post-feed, morning (06:00–09:00), afternoon (13:00–16:00), evening (19:00–22:00) | |
| 4B | 1/pre/am/766: pre-feed morning sample (06:00–10:00) | 766 mL/24 h b |
| 4C | 1/post/am/766: post-feed morning sample (06:00–10:00) | |
| 4D | 2/1pre/1post/am/766: mean of pre- and post-feed morning samples (06:00–10:00) | |
| 4E | 3/pre/24 h/766: mean of 3 pre-feed samples, morning (06:00–09:00), afternoon (13:00–16:00), evening (19:00–22:00) | |
| 4F | 6/3pre/3post/24 h/766: mean of 6 samples, pre-feed and post-feed, morning (06:00–09:00), afternoon (13:00–16:00), evening (19:00–22:00) |
| Characteristics | n = 20 |
|---|---|
| Maternal | |
| Age (years) | 32.7 ± 5.3 (25–46) a |
| BMI (kg/m2) | 27.3 ± 6.3 (19.2–38.7) |
| Infant | |
| Sex (male, female) | 12, 8 |
| Gestational age (weeks) | 38.9 ± 1.4 (36–41) |
| Birth weight (g) | 3447 ± 382 (2940–4455) |
| Breastfeeding characteristics | |
| Time postpartum (months) | 3.8 ± 0.9 (3.0–5.1) |
| 24 h milk intake (mL) | 791 ± 212 (441–1180) |
| Feeding frequency b | 12.7 ± 2.6 (7–16) |
| n | Mean ± SD | Median | Q1 | Q3 | IQR | Min–Max | |
|---|---|---|---|---|---|---|---|
| Leptin (pg/mL) | 427 | 308.69 ± 270.30 | 238.27 | 87.08 | 478.91 | 391.83 | 14.9–1285.0 |
| Adiponectin (ng/mL) | 453 | 10.95 ± 5.11 | 9.90 | 7.13 | 13.55 | 6.42 | 3.4–33.1 |
| Insulin (µIU/mL) | 436 | 20.59 ± 11.27 | 19.39 | 11.98 | 27.68 | 15.69 | 1.3–76.1 |
| Glucose (mmol/L) | 445 | 1.85 ± 0.73 | 1.84 | 1.25 | 2.36 | 1.11 | 0.28–4.0 |
| Total lipid (g/L) | 439 | 47.49 ± 23.00 | 44.20 | 28.23 | 63.14 | 34.91 | 9.9–134.1 |
| Sampling Protocol | Estimates | 95% CI | p b |
|---|---|---|---|
| Log leptin, pg/mL | |||
| 24 h average a | 5.34 | 4.85, 5.82 | - |
| 1/pre/am | 0.14 | 0.14, 0.41 | 0.08 |
| 1/post/am | 0.07 | 0.07, 0.34 | 0.4 |
| 2/1pre/1post/am | 0.12 | 0.12, 0.39 | 0.14 |
| 3/pre/24 h | −0.03 | −0.03, 0.24 | 0.68 |
| 6/3pre/3post/24 h | −0.07 | −0.07, 0.20 | 0.37 |
| Log adiponectin, ng/mL | |||
| 24 h average a | 2.30 | 2.09, 2.51 | - |
| 1/pre/am | −0.03 | −0.10, 0.05 | 0.45 |
| 1/post/am | −0.07 | −0.15, 0.00 | 0.06 |
| 2/1pre/1post/am | −0.04 | −0.12, 0.03 | 0.24 |
| 3/pre/24 h | 0.06 | −0.01, 0.14 | 0.10 |
| 6/3pre/3post/24 h | 0.03 | −0.05, 0.10 | 0.50 |
| Log insulin, µIU/mL | |||
| 24 h average a | 3.06 | 2.78, 3.35 | - |
| 1/pre/am | −0.56 | −0.75, −0.37 | <0.001 |
| 1/post/am | −0.46 | −0.65, −0.27 | <0.001 |
| 2/1pre/1post/am | −0.49 | −0.69, −0.30 | <0.001 |
| 3/pre/24 h | −0.15 | −0.34, 0.05 | 0.13 |
| 6/3pre/3post/24 h | −0.12 | −0.31, 0.07 | 0.20 |
| Glucose, mmol/L | |||
| 24 h average a | 0.55 | 0.37, 0.72 | - |
| 1/pre/am | −0.06 | −0.16, 0.04 | 0.24 |
| 1/post/am | −0.11 | −0.21, −0.01 | 0.03 |
| 2/1pre/1post/am | −0.07 | −0.17, 0.03 | 0.16 |
| 3/pre/24 h | 0.03 | −0.07, 0.14 | 0.49 |
| 6/3pre/3post/24 h | 0.01 | −0.09, 0.12 | 0.77 |
| Total lipid, g/L | |||
| 24 h average a | 48.02 | 41.93, 54.11 | - |
| 1/pre/am | −19.2 | −25.09, −13.31 | <0.001 |
| 1/post/am | 9.76 | 3.87, 15.65 | 0.001 |
| 2/1pre/1post/am | −4.72 | −10.61, 1.17 | 0.11 |
| 3/pre/24 h | −15.0 | −20.89, −9.11 | <0.001 |
| 6/3pre/3post/24 h | 0.88 | −5.01, 6.77 | 0.76 |
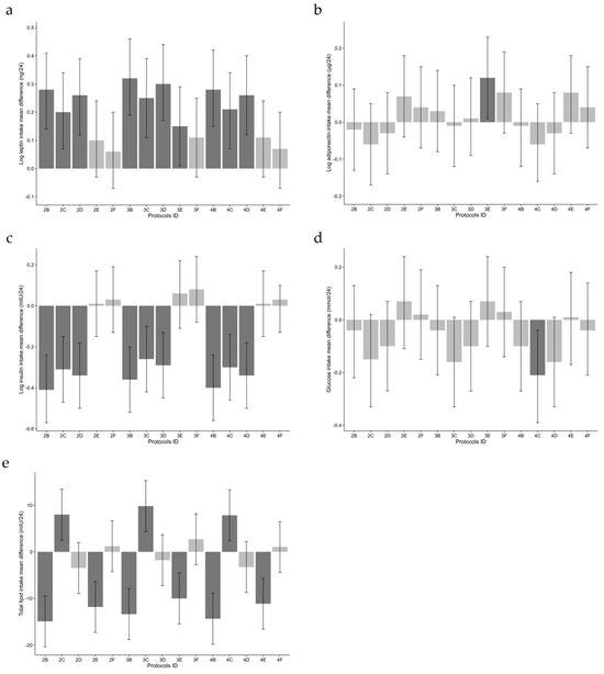
| True Milk Intake c | 800 mL/24 h d | 766 mL/24 h e | ||||||||||
|---|---|---|---|---|---|---|---|---|---|---|---|---|
| Sampling Protocol | Mean ± SD | Estimates | 95% CI | p f | Mean ± SD | Estimates | 95% CI | p f | Mean ± SD | Estimates | 95% CI | p f |
| Log leptin, ng/24 h a | ||||||||||||
| True intake b | 4.93 ± 1.18 | - | 4.44, 4.52 | - | - | - | - | - | - | - | - | - |
| 1/pre/am | 5.21 ± 1.11 | 0.28 | 0.14, 0.41 | <0.001 | 5.25 ± 1.10 | 0.32 | 0.19, 0.46 | <0.001 | 5.21 ± 1.11 | 0.28 | 0.15, 0.42 | <0.001 |
| 1/post/am | 5.13 ± 1.04 | 0.20 | 0.07, 0.34 | 0.004 | 5.18 ± 1.07 | 0.25 | 0.11, 0.39 | <0.001 | 5.14 ± 1.07 | 0.21 | 0.07, 0.37 | 0.003 |
| 2/1pre/1post/am | 5.19 ± 1.04 | 0.26 | 0.12, 0.39 | <0.001 | 5.23 ± 1.06 | 0.30 | 0.17, 0.44 | <0.001 | 5.19 ± 1.06 | 0.26 | 0.12, 0.40 | <0.001 |
| 3/pre/24 h | 5.03 ± 1.14 | 0.10 | −0.03, 0.24 | 0.13 | 5.08 ± 1.13 | 0.15 | 0.01, 0.29 | 0.03 | 5.04 ± 1.14 | 0.11 | −0.03, 0.24 | 0.12 |
| 6/3pre/3post/24 h | 4.99 ± 1.14 | 0.06 | −0.07, 0.20 | 0.36 | 5.04 ± 1.14 | 0.11 | −0.03, 0.25 | 0.11 | 5.00 ± 1.14 | 0.07 | −0.07, 0.20 | 0.33 |
| Log adiponectin, µg/24 h a | ||||||||||||
| True intake b | 2.02 ± 0.52 | - | 1.79, 2.25 | - | - | - | - | - | - | - | - | - |
| 1/pre/am | 2.00 ± 0.64 | −0.02 | −0.13, 0.09 | 0.75 | 2.05 ± 0.51 | 0.03 | −0.08, 0.14 | 0.59 | 2.01 ± 0.51 | −0.01 | −0.12, 0.09 | 0.80 |
| 1/post/am | 1.96 ± 0.63 | −0.06 | −0.17, 0.05 | 0.27 | 2.01 ± 0.49 | −0.01 | −0.12, 0.10 | 0.81 | 1.96 ± 0.49 | −0.06 | −0.16, 0.05 | 0.30 |
| 2/1pre/1post/am | 1.99 ± 0.63 | −0.03 | −0.14, 0.08 | 0.55 | 2.03 ± 0.49 | 0.01 | −0.09–0.12 | 0.79 | 1.99 ± 0.49 | −0.03 | −0.14, 0.08 | 0.59 |
| 3/pre/24 h | 2.09 ± 0.57 | 0.07 | −0.04, 0.18 | 0.18 | 2.14 ± 0.44 | 0.12 | 0.01–0.23 | 0.03 | 2.10 ± 0.44 | 0.08 | −0.03, 0.18 | 0.16 |
| 6/3pre/3post/24 h | 2.06 ± 0.57 | 0.04 | −0.07, 0.15 | 0.50 | 2.10 ± 0.44 | 0.08 | −0.03, 0.19 | 0.13 | 2.06 ± 0.44 | 0.04 | −0.07, 0.15 | 0.46 |
| Log insulin, mIU/24 h a | ||||||||||||
| True intake b | 2.64 ± 0.55 | - | 2.35, 2.92 | - | - | - | - | - | - | - | - | - |
| 1/pre/am | 2.23 ± 0.81 | −0.41 | −0.57, −0.24 | <0.001 | 2.28 ± 0.80 | −0.36 | −0.52, −0.20 | <0.001 | 2.23 ± 0.80 | −0.40 | −0.56, −0.24 | <0.001 |
| 1/post/am | 2.33 ± 0.72 | −0.31 | −0.47, −0.15 | <0.001 | 2.38 ± 0.67 | −0.26 | −0.42, −0.10 | 0.002 | 2.33 ± 0.67 | −0.30 | −0.46, −0.14 | <0.001 |
| 2/1pre/1post/am | 2.30 ± 0.73 | −0.34 | −0.50, −0.18 | <0.001 | 2.34 ± 0.70 | −0.29 | −0.45, −0.13 | <0.001 | 2.30 ± 0.70 | −0.34 | −0.50, −0.18 | <0.001 |
| 3/pre/24 h | 2.65 ± 0.52 | 0.01 | −0.15, 0.17 | 0.91 | 2.69 ± 0.49 | 0.06 | −0.11, 0.22 | 0.50 | 2.65 ± 0.49 | 0.01 | −0.15, 0.17 | 0.66 |
| 6/3pre/3post/24 h | 2.67 ± 0.51 | 0.03 | −0.13, 0.19 | 0.70 | 2.72 ± 0.46 | 0.08 | −0.08, 0.24 | 0.34 | 2.67 ± 0.46 | 0.03 | −0.13, 0.20 | 0.87 |
| Glucose, mmol/24 h a | ||||||||||||
| True intake b | 1.46 ± 0.67 | - | 1.22, 1.71 | - | - | - | - | - | - | - | - | - |
| 1/pre/am | 1.42 ± 0.71 | −0.04 | −0.22, 0.13 | 0.61 | 1.42 ± 0.52 | −0.04 | −0.21, 0.13 | 0.65 | 1.36 ± 0.50 | −0.10 | −0.27, 0.07 | 0.25 |
| 1/post/am | 1.31 ± 0.57 | −0.15 | −0.33, 0.02 | 0.07 | 1.30 ± 0.38 | −0.16 | −0.33, 0.01 | 0.07 | 1.25 ± 0.37 | −0.21 | −0.39, −0.04 | 0.01 |
| 2/1pre/1post/am | 1.36 ± 0.63 | −0.10 | −0.27, 0.07 | 0.25 | 1.36 ± 0.44 | −0.10 | −0.27, 0.07 | 0.25 | 1.31 ± 0.42 | −0.16 | −0.33, 0.01 | 0.07 |
| 3/pre/24 h | 1.53 ± 0.57 | 0.07 | −0.11, 0.24 | 0.44 | 1.53 ± 0.56 | 0.07 | −0.10, 0.24 | 0.41 | 1.47 ± 0.53 | 0.01 | −0.17, 0.18 | 0.94 |
| 6/3pre/3post/24 h | 1.48 ± 0.67 | 0.02 | −0.15, 0.19 | 0.83 | 1.49 ± 0.51 | 0.03 | −0.14, 0.20 | 0.75 | 1.43 ± 0.49 | −0.04 | −0.21, 0.14 | 0.67 |
| Total Lipid, g/24 h a | ||||||||||||
| True intake b | 36.4 ± 10.1 | - | 31.5, 41.3 | - | - | - | - | - | - | - | - | - |
| 1/pre/am | 21.5 ± 7.35 | −14.9 | −20.4, −9.44 | <0.001 | 23.1 ± 9.06 | −13.4 | −18.8, −7.90 | <0.001 | 22.1 ± 8.68 | −14.34 | −19.8, −8.88 | <0.001 |
| 1/post/am | 44.4 ± 17.6 | 7.99 | 2.53, 13.4 | 0.004 | 46.2 ± 17.8 | 9.81 | 4.35, 15.27 | <0.001 | 44.3 ± 17.0 | 7.84 | 2.39, 13.3 | 0.005 |
| 2/1pre/1post/am | 33.0 ± 10.8 | −3.46 | −8.91, 2.00 | 0.21 | 34.6 ± 11.9 | −1.78 | −7.23, 3.68 | 0.52 | 33.2 ± 11.4 | −3.25 | −8.71, 2.21 | 0.24 |
| 3/pre/24 h | 24.6 ± 5.58 | −11.8 | −17.3, −6.36 | <0.001 | 26.4 ± 8.06 | −10.0 | −15.5, −4.54 | <0.001 | 25.3 ± 7.72 | −11.1 | −16.6, −5.67 | <0.001 |
| 6/3pre/3post/24 h | 37.6 ± 10.3 | 1.19 | −4.27, 6.65 | 0.66 | 39.1 ± 8.77 | 2.70 | −2.76, 8.16 | 0.33 | 37.5 ± 8.40 | 1.04 | −4.42, 6.50 | 0.70 |
Disclaimer/Publisher’s Note: The statements, opinions and data contained in all publications are solely those of the individual author(s) and contributor(s) and not of MDPI and/or the editor(s). MDPI and/or the editor(s) disclaim responsibility for any injury to people or property resulting from any ideas, methods, instructions or products referred to in the content. |
© 2024 by the authors. Licensee MDPI, Basel, Switzerland. This article is an open access article distributed under the terms and conditions of the Creative Commons Attribution (CC BY) license (https://creativecommons.org/licenses/by/4.0/).
Share and Cite
Suwaydi, M.A.; Lai, C.T.; Gridneva, Z.; Perrella, S.L.; Wlodek, M.E.; Geddes, D.T. Sampling Procedures for Estimating the Infant Intake of Human Milk Leptin, Adiponectin, Insulin, Glucose, and Total Lipid. Nutrients 2024, 16, 331. https://doi.org/10.3390/nu16030331
Suwaydi MA, Lai CT, Gridneva Z, Perrella SL, Wlodek ME, Geddes DT. Sampling Procedures for Estimating the Infant Intake of Human Milk Leptin, Adiponectin, Insulin, Glucose, and Total Lipid. Nutrients. 2024; 16(3):331. https://doi.org/10.3390/nu16030331
Chicago/Turabian StyleSuwaydi, Majed A., Ching Tat Lai, Zoya Gridneva, Sharon L. Perrella, Mary E. Wlodek, and Donna T. Geddes. 2024. "Sampling Procedures for Estimating the Infant Intake of Human Milk Leptin, Adiponectin, Insulin, Glucose, and Total Lipid" Nutrients 16, no. 3: 331. https://doi.org/10.3390/nu16030331
APA StyleSuwaydi, M. A., Lai, C. T., Gridneva, Z., Perrella, S. L., Wlodek, M. E., & Geddes, D. T. (2024). Sampling Procedures for Estimating the Infant Intake of Human Milk Leptin, Adiponectin, Insulin, Glucose, and Total Lipid. Nutrients, 16(3), 331. https://doi.org/10.3390/nu16030331

