Cognitive Functions in Adolescent Girls with Anorexia Nervosa during Nutritional Rehabilitation
Abstract
1. Introduction
2. Methods
2.1. Participants
- patient consumption of 2000–3500 kcal per day;
- exclusion of critical organ failure based on test results;
- achievement of the discharge BMI determined at the start of hospitalization (according to centile grids appropriate for age, sex, and height);
- confirmation by the attending physician of medical stabilization regarding somatic and psychological status, allowing further therapy in the outpatient setting.
2.2. Biochemical Analysis
2.3. Cognitive Assessment
2.4. Psychometric Tests
2.5. Statistics
3. Results
3.1. Anthropometric Data
3.2. Cognitive–Psychological Functioning
3.3. Biochemical Blood Results
3.4. Correlations between Cognitive Function Scores and Psychometric Variables
3.5. Linear Regression
4. Discussion
5. Conclusions
Supplementary Materials
Author Contributions
Funding
Institutional Review Board Statement
Informed Consent Statement
Data Availability Statement
Acknowledgments
Conflicts of Interest
Abbreviations
| AN | anorexia nervosa |
| AN1 | patients in the acute phase of anorexia nervosa |
| AN2 | patients after partial normalization of body weight on the day of discharge |
| CA | cognitive abilities |
| CAB | Cognifit Assessment Battery |
| ED | eating disorders |
| FT4 | thyroxine |
| HCT | hematocrit |
| HGB | hemoglobin concentration |
| NR | nutritional rehabilitation |
| PLT | platelet count |
| TSH | thyrotropic hormone |
| WBC | white blood cell |
| %IBW | percentage of ideal body weight |
References
- Wood, S.; Marchant, A.; Allsopp, M.; Wilkinson, K.; Bethel, J.; Jones, H.; John, A. Epidemiology of eating disorders in primary care in children and young people: A Clinical Practice Research Datalink study in England. BMJ Open 2019, 9, e026691. [Google Scholar] [CrossRef]
- Petkova, H.; Simic, M.; Nicholls, D.; Ford, T.; Prina, A.M.; Stuart, R.; Livingstone, N.; Kelly, G.; MacDonald, G.; Eisler, I.; et al. Incidence of anorexia nervosa in young people in the UK and Ireland: A national surveillance study. BMJ Open 2019, 9, e027339. [Google Scholar] [CrossRef]
- Reas, D.L.; Rø, Ø. Time trends in healthcare-detected incidence of anorexia nervosa and bulimia nervosa in the Norwegian National Patient Register (2010–2016). Int. J. Eat. Disord. 2018, 51, 1144–1152. [Google Scholar] [CrossRef] [PubMed]
- Agostino, H.; Burstein, B.; Moubayed, D.; Taddeo, D.; Grady, R.; Vyver, E.; Dimitropoulos, G.; Dominic, A.; Coelho, J.S. Trends in the Incidence of New-Onset Anorexia Nervosa and Atypical Anorexia Nervosa Among Youth During the COVID-19 Pandemic in Canada. JAMA Netw. Open 2021, 4, e2137395. [Google Scholar] [CrossRef]
- Devoe, J.D.; Han, A.; Anderson, A.; Katzman, D.K.; Patten, S.B.; Soumbasis, A.; Flanagan, J.; Paslakis, G.; Vyver, E.; Marcoux, G.; et al. The impact of the COVID-19 pandemic on eating disorders: A systematic review. Int. J. Eat. Disord. 2023, 56, 5–25. [Google Scholar] [CrossRef] [PubMed]
- Holland, J.; Hall, N.; Yeates, D.G.R.; Goldacre, M. Trends in hospital admission rates for anorexia nervosa in Oxford (1968–2011) and England (1990–2011): Database studies. J. R. Soc. Med. 2016, 109, 59. [Google Scholar] [CrossRef] [PubMed]
- Favaro, A.; Caregaro, L.; Tenconi, E.; Bosello, R.; Santonastaso, P. Time trends in age at onset of anorexia nervosa and bulimia nervosa. J. Clin. Psychiatry 2009, 70, 1715–1721. [Google Scholar] [CrossRef] [PubMed]
- GBE—Gesundheitsberichterstattung des Bundes. Available online: https://www.gbe-bund.de/gbe/ (accessed on 18 March 2024).
- Cruz, A.M.; Gonçalves-Pinho, M.; Santos, J.V.; Coutinho, F.; Brandão, I.; Freitas, A. Eating disorders-Related hospitalizations in Portugal: A nationwide study from 2000 to 2014. Int. J. Eat. Disord. 2018, 51, 1201–1206. [Google Scholar] [CrossRef]
- Fardouly, J.; Vartanian, L.R. Social Media and Body Image Concerns: Current Research and Future Directions. Curr. Opin. Psychol. 2016, 9, 1–5. [Google Scholar] [CrossRef]
- Arseniev-Koehler, A.; Lee, H.; McCormick, T.; Moreno, M.A. #Proana: Pro-Eating Disorder Socialization on Twitter. J. Adolesc. Health 2016, 58, 659–664. [Google Scholar] [CrossRef]
- Bills, E.; Greene, D.; Stackpole, R.; Egan, S.J. Perfectionism and eating disorders in children and adolescents: A systematic review and meta-analysis. Appetite 2023, 187, 106586. [Google Scholar] [CrossRef]
- Vostanis, P. Mental health provision for children affected by war and armed conflicts. Eur. Child Adolesc. Psychiatry 2024, 33, 3293–3299. [Google Scholar] [CrossRef]
- Gorrell, S.; Reilly, E.E.; Brosof, L.; Grange, D. Le Use of Telehealth in the Management of Adolescent Eating Disorders: Patient Perspectives and Future Directions Suggested from the COVID-19 Pandemic. Adolesc. Health. Med. Ther. 2022, 13, 45. [Google Scholar] [CrossRef]
- Muth, L.; Leven, K.H.; Moll, G.; Kratz, O.; Horndasch, S. Effects of the COVID-19 Restrictions on Eating Behaviour and Eating Disorder Symptomology in Female Adolescents. Int. J. Environ. Res. Public Health 2022, 19, 8480. [Google Scholar] [CrossRef]
- Wang, S.B.; Gray, E.K.; Coniglio, K.A.; Murray, H.B.; Stone, M.; Becker, K.R.; Thomas, J.J.; Eddy, K.T. Cognitive rigidity and heightened attention to detail occur transdiagnostically in adolescents with eating disorders. Eat. Disord. 2021, 29, 408–420. [Google Scholar] [CrossRef] [PubMed]
- Di Lodovico, L.; Versini, A.; Lachatre, M.; Marcheselli, J.; Ramoz, N.; Gorwood, P. Is decision-making impairment an endophenotype of anorexia nervosa? Eur. Psychiatry 2022, 65, e68. [Google Scholar] [CrossRef]
- Smith, K.E.; Mason, T.B.; Johnson, J.S.; Lavender, J.M.; Wonderlich, S.A. A systematic review of reviews of neurocognitive functioning in eating disorders: The state-of-the-literature and future directions. Int. J. Eat. Disord. 2018, 51, 798–821. [Google Scholar] [CrossRef] [PubMed]
- Lang, K.; Roberts, M.; Harrison, A.; Lopez, C.; Goddard, E.; Khondoker, M.; Treasure, J.; Tchanturia, K. Central Coherence in Eating Disorders: A Synthesis of Studies Using the Rey Osterrieth Complex Figure Test. PLoS ONE 2016, 11, e0165467. [Google Scholar] [CrossRef]
- Fuglset, T.S. Is set-shifting and central coherence in anorexia nervosa influenced by body mass index, anxiety or depression? A systematic review. BMC Psychiatry 2021, 21, 137. [Google Scholar] [CrossRef]
- Shott, M.E.; Filoteo, J.V.; Bhatnagar, K.A.C.; Peak, N.J.; Hagman, J.O.; Rockwell, R.; Kaye, W.H.; Frank, G.K.W. Cognitive Set-Shifting in Anorexia Nervosa. Eur. Eat. Disord. Rev. 2012, 20, 343. [Google Scholar] [CrossRef]
- Weider, S.; Indredavik, M.S.; Lydersen, S.; Hestad, K. Neuropsychological function in patients with anorexia nervosa or bulimia nervosa. Int. J. Eat. Disord. 2015, 48, 397–405. [Google Scholar] [CrossRef] [PubMed]
- Zacková, M.L.; Jáni, M.M.; Brázdil, M.; Nikolova, Y.S.; Marečková, K. Cognitive impairment and depression: Meta-analysis of structural magnetic resonance imaging studies. NeuroImage Clin. 2021, 32, 102830. [Google Scholar] [CrossRef] [PubMed]
- American Psychiatric Association. Diagnostic and Statistical Manual of Mental Disorders; American Psychiatric Publishing: Washington, DC, USA, 2013. [Google Scholar] [CrossRef]
- Hughes, E.K. Comorbid depression and anxiety in childhood and adolescent anorexia nervosa: Prevalence and implications for outcome. Clin. Psychol. 2012, 16, 15–24. [Google Scholar] [CrossRef]
- Kahn, M.; Brunstein-Klomek, A.; Hadas, A.; Snir, A.; Fennig, S. Early changes in depression predict outcomes of inpatient adolescent anorexia nervosa. Eat. Weight Disord. 2020, 25, 777–785. [Google Scholar] [CrossRef]
- Samson, K.L.I.; Fischer, J.A.J.; Roche, M.L. Iron Status, Anemia, and Iron Interventions and Their Associations with Cognitive and Academic Performance in Adolescents: A Systematic Review. Nutrients 2022, 14, 224. [Google Scholar] [CrossRef]
- Przybylak, M.; Grabowski, J.; Bidzan, L. Cognitive functions and thyroid hormones secretion disorders. Psychiatr. Pol. 2021, 55, 309–321. [Google Scholar] [CrossRef]
- Golden, N.H.; Cheng, J.; Kapphahn, C.J.; Buckelew, S.M.; Machen, V.I.; Kreiter, A.; Accurso, E.C.; Adams, S.H.; Le Grange, D.; Moscicki, A.-B.; et al. Higher-Calorie Refeeding in Anorexia Nervosa: 1-Year Outcomes from a Randomized Controlled Trial. Pediatrics 2021, 147, e2020037135. [Google Scholar] [CrossRef]
- Weir, C.B.; Jan, A. BMI Classification Percentile and Cut Off Points. In StatPearls [Internet]; StatPearls Publishing: Treasure Island, FL, USA, 2024. [Google Scholar] [PubMed]
- Nahler, G. Lorentz-formula. In Dictionary of Pharmaceutical Medicine; Springer: Vienna, Austria, 2009. [Google Scholar] [CrossRef]
- Researchers Assessment Batteries Reliability and Validity Description of CogniFit Assessment Batteries. CogniFit Assessment Battery CogniFit © 2022. Available online: https://static.cognifit.com/customersupport/Validation+for+Researchers.pdf (accessed on 2 March 2024).
- Rogoza, R.; Brytek-Matera, A.; Garner, D.M. Analysis of the EAT-26 in a non-clinical sample. Arch. Psychiatry Psychother. 2016, 18, 54–58. [Google Scholar] [CrossRef]
- (PDF) Charakterystyka Psychometryczna Polskiej Adaptacji Kwestionariusza Depresji BDI-II Aarona T. Becka (Psychometric Properties of the Polish Version of the Aaron T. Beck’s Depression Inventory BDI-II). Available online: https://www.researchgate.net/publication/269107443_Charakterystyka_psychometryczna_polskiej_adaptacji_Kwestionariusza_Depresji_BDI-II_Aarona_T_Becka_Psychometric_Properties_of_the_Polish_Version_of_the_Aaron_T_Beck’s_Depression_Inventory_BDI-II (accessed on 30 September 2024).
- Yanover, T.; Thompson, J.K. Eating problems, body image disturbances, and academic achievement: Preliminary evaluation of the eating and body image disturbances academic interference scale. Int. J. Eat. Disord. 2008, 41, 184–187. [Google Scholar] [CrossRef]
- Weider, S.; Indredavik, M.S.; Lydersen, S.; Hestad, K. Intellectual function in patients with anorexia nervosa and bulimia nervosa. Eur. Eat. Disord. Rev. 2014, 22, 15–24. [Google Scholar] [CrossRef]
- Sundquist, J.; Ohlsson, H.; Winkleby, M.A.; Sundquist, K.; Crump, C. School Achievement and Risk of Eating Disorders in a Swedish National Cohort. J. Am. Acad. Child Adolesc. Psychiatry 2016, 55, 41. [Google Scholar] [CrossRef]
- Ahrén, J.C.; Chiesa, F.; Koupil, I.; Magnusson, C.; Dalman, C.; Goodman, A. We are family—Parents, siblings, and eating disorders in a prospective total-population study of 250,000 Swedish males and females. Int. J. Eat. Disord. 2013, 46, 693–700. [Google Scholar] [CrossRef]
- Ahrén-Moonga, J.; Silverwood, R.; Klinteberg, B.A.; Koupil, I. Association of higher parental and grandparental education and higher school grades with risk of hospitalization for eating disorders in females. Am. J. Epidemiol. 2009, 170, 566–575. [Google Scholar] [CrossRef]
- Lopez, C.; Stahl, D.; Tchanturia, K. Estimated intelligence quotient in anorexia nervosa: A systematic review and meta-analysis of the literature. Ann. Gen. Psychiatry 2010, 9, 40. [Google Scholar] [CrossRef]
- Forbush, K.; Heatherton, T.F.; Keel, P.K. Relationships between perfectionism and specific disordered eating behaviors. Int. J. Eat. Disord. 2007, 40, 37–41. [Google Scholar] [CrossRef]
- Nikendei, C.; Funiok, C.; Pfüller, U.; Zastrow, A.; Aschenbrenner, S.; Weisbrod, M.; Herzog, W.; Friederich, H.C. Memory performance in acute and weight-restored anorexia nervosa patients. Psychol. Med. 2011, 41, 829–838. [Google Scholar] [CrossRef]
- Terhoeven, V.; Kallen, U.; Ingenerf, K.; Aschenbrenner, S.; Weisbrod, M.; Herzog, W.; Brockmeyer, T.; Friederich, H.C.; Nikendei, C. Meaningful Memory in Acute Anorexia Nervosa Patients-Comparing Recall, Learning, and Recognition of Semantically Related and Semantically Unrelated Word Stimuli. Eur. Eat. Disord. Rev. 2017, 25, 89–97. [Google Scholar] [CrossRef]
- Brown, M.; Robinson, L.; Campione, G.C.; Wuensch, K.; Hildebrandt, T.; Micali, N. Intolerance of Uncertainty in Eating Disorders: A Systematic Review and Meta-Analysis. Eur. Eat. Disord. Rev. 2017, 25, 329–343. [Google Scholar] [CrossRef]
- Bartholdy, S.; Rennalls, S.J.; Jacques, C.; Danby, H.; Campbell, I.C.; Schmidt, U.; O’Daly, O.G. Proactive and reactive inhibitory control in eating disorders. Psychiatry Res. 2017, 255, 432–440. [Google Scholar] [CrossRef]
- Fosco, W.D.; Hawk, L.W.; Colder, C.R.; Meisel, S.N.; Lengua, L.J. The development of inhibitory control in adolescence and prospective relations with delinquency. J. Adolesc. 2019, 76, 37. [Google Scholar] [CrossRef]
- Shen, Y.; Zhao, H.; Zhu, J.; He, Y.; Zhang, X.; Liu, S.; Chen, J. Comparison of Intentional Inhibition and Reactive Inhibition in Adolescents and Adults: An ERP Study. Dev. Neuropsychol. 2020, 45, 66–78. [Google Scholar] [CrossRef]
- Suttkus, S.; Schumann, A.; De la Cruz, F.; Bär, K.J. Attenuated neuronal and autonomic responses during error processing in anorexia nervosa. Brain Behav. 2021, 11, e2235. [Google Scholar] [CrossRef]
- Tenconi, E.; Collantoni, E.; Meregalli, V.; Bonello, E.; Zanetti, T.; Veronese, A.; Meneguzzo, P.; Favaro, A. Clinical and Cognitive Functioning Changes After Partial Hospitalization in Patients with Anorexia Nervosa. Front. Psychiatry 2021, 12, 653506. [Google Scholar] [CrossRef]
- Guardia, D.; Carey, A.; Cottencin, O.; Thomas, P.; Luyat, M. Disruption of Spatial Task Performance in Anorexia Nervosa. PLoS ONE 2013, 8, e54928. [Google Scholar] [CrossRef]
- Federica, S.; Ilaria, B.; Valentina, V.; Leonardo, M.; Gianluca, C.; Alessandro, M.; Anna, S. Self-perception in anorexia nervosa: When the body becomes an object. Neuropsychologia 2022, 166, 108158. [Google Scholar] [CrossRef]
- Dann, K.M.; Hay, P.; Touyz, S. Are poor set-shifting and central coherence associated with everyday function in anorexia nervosa? A systematic review. J. Eat. Disord. 2021, 9, 40. [Google Scholar] [CrossRef]
- Lang, K.; Stahl, D.; Espie, J.; Treasure, J.; Tchanturia, K. Set shifting in children and adolescents with anorexia nervosa: An exploratory systematic review and meta-analysis. Int. J. Eat. Disord. 2014, 47, 394–399. [Google Scholar] [CrossRef]
- Wu, M.; Brockmeyer, T.; Hartmann, M.; Skunde, M.; Herzog, W.; Friederich, H.C. Set-shifting ability across the spectrum of eating disorders and in overweight and obesity: A systematic review and meta-analysis. Psychol. Med. 2014, 44, 3365–3385. [Google Scholar] [CrossRef]
- Hirst, R.B.; Beard, C.L.; Colby, K.A.; Quittner, Z.; Mills, B.M.; Lavender, J.M. Anorexia nervosa and bulimia nervosa: A meta-analysis of executive functioning. Neurosci. Biobehav. Rev. 2017, 83, 678–690. [Google Scholar] [CrossRef]
- Brooks, S.J. A debate on working memory and cognitive control: Can we learn about the treatment of substance use disorders from the neural correlates of anorexia nervosa? BMC Psychiatry 2016, 16, 10. [Google Scholar] [CrossRef]
- Brooks, S.J.; O’Daly, O.G.; Uher, R.; Schiöth, H.B.; Treasure, J.; Campbell, I.C. Subliminal food images compromise superior working memory performance in women with restricting anorexia nervosa. Conscious. Cogn. 2012, 21, 751–763. [Google Scholar] [CrossRef]
- Israel, M.; Klein, M.; Pruessner, J.; Thaler, L.; Spilka, M.; Efanov, S.; Ouellette, A.S.; Berlim, M.; Ali, N.; Beaudry, T.; et al. n-back task performance and corresponding brain-activation patterns in women with restrictive and bulimic eating-disorder variants: Preliminary findings. Psychiatry Res. 2015, 232, 84–91. [Google Scholar] [CrossRef]
- Seed, J.A.; McCue, P.M.; Wesnes, K.A.; Dahabra, S.; Young, A.H. Basal activity of the HPA axis and cognitive function in anorexia nervosa. Int. J. Neuropsychopharmacol. 2002, 5, 17–25. [Google Scholar] [CrossRef]
- Lao-Kaim, N.P.; Giampietro, V.P.; Williams, S.C.R.; Simmons, A.; Tchanturia, K. Functional MRI investigation of verbal working memory in adults with anorexia nervosa. Eur. Psychiatry 2014, 29, 211–218. [Google Scholar] [CrossRef]
- De Filippo, E.; Marra, M.; Alfinito, F.; Di Guglielmo, M.L.; Majorano, P.; Cerciello, G.; De Caprio, C.; Contaldo, F.; Pasanisi, F. Hematological complications in anorexia nervosa. Eur. J. Clin. Nutr. 2016, 70, 1305–1308. [Google Scholar] [CrossRef]
- Mamou, G.; Sider, A.; Bouscary, D.; Moro, M.R.; Blanchet-Collet, C. Anemia in Anorexia Nervosa: The Best Way to Deal with it—An Overview of Literature. J. Hum. Nutr. Food Sci. 2016, 4, 1081. [Google Scholar]
- Hütter, G.; Ganepola, S.; Hofmann, W.K. The hematology of anorexia nervosa. Int. J. Eat. Disord. 2009, 42, 293–300. [Google Scholar] [CrossRef]
- Mehler, P.S.; Blalock, D.V.; Walden, K.; Kaur, S.; McBride, J.; Walsh, K.; Watts, J. Medical findings in 1026 consecutive adult inpatient-residential eating disordered patients. Int. J. Eat. Disord. 2018, 51, 305–313. [Google Scholar] [CrossRef]
- Gibson, D.; Gibson, D.; Watters, A.; Watters, A.; Cost, J.; Cost, J.; Mascolo, M.; Mehler, P.S.; Mehler, P.S.; Mehler, P.S. Extreme anorexia nervosa: Medical findings, outcomes, and inferences from a retrospective cohort. J. Eat. Disord. 2020, 8, 25. [Google Scholar] [CrossRef]
- Matsunaga, H.; Riku, K.; Shimizu, K.; Fujimi, S. Severe hypoglycemia with reduced liver volume as an indicator of end-stage malnutrition in patients with anorexia nervosa: A retrospective observational study. J. Eat. Disord. 2024, 12. [Google Scholar] [CrossRef]
- Misra, M.; Klibanski, A. Neuroendocrine Consequences of Anorexia Nervosa in Adolescents. Endocr. Dev. 2010, 17, 197. [Google Scholar] [CrossRef] [PubMed]
- DiVasta, A.D.; Feldman, H.A.; Brown, J.N.; Giancaterino, C.; Holick, M.F.; Gordon, C.M. Bioavailability of vitamin D in malnourished adolescents with anorexia nervosa. J. Clin. Endocrinol. Metab. 2011, 96, 2575–2580. [Google Scholar] [CrossRef] [PubMed]
- Tasegian, A.; Curcio, F.; Dalla Ragione, L.; Rossetti, F.; Cataldi, S.; Codini, M.; Ambesi-Impiombato, F.S.; Beccari, T.; Albi, E. Hypovitaminosis D3, Leukopenia, and Human Serotonin Transporter Polymorphism in Anorexia Nervosa and Bulimia Nervosa. Mediators Inflamm. 2016. [Google Scholar] [CrossRef] [PubMed]
- Libuda, L.; Timmesfeld, N.; Antel, J.; Hirtz, R.; Bauer, J.; Führer, D.; Zwanziger, D.; Öztürk, D.; Langenbach, G.; Hahn, D.; et al. Effect of vitamin D deficiency on depressive symptoms in child and adolescent psychiatric patients: Results of a randomized controlled trial. Eur. J. Nutr. 2020, 59, 3415. [Google Scholar] [CrossRef]
- Föcker, M.; Timmesfeld, N.; Bühlmeier, J.; Zwanziger, D.; Führer, D.; Grasemann, C.; Ehrlich, S.; Egberts, K.; Fleischhaker, C.; Wewetzer, C.; et al. Vitamin d level trajectories of adolescent patients with anorexia nervosa at inpatient admission, during treatment, and at one year follow up: Association with depressive symptoms. Nutrients 2021, 13, 2356. [Google Scholar] [CrossRef]
- Hemmingsen, S.D.; Lichtenstein, M.B.; Hussain, A.A.; Sjögren, J.M.; Støving, R.K. Case report: Cognitive performance in an extreme case of anorexia nervosa with a body mass index of 7.7. BMC Psychiatry 2020, 20, 284. [Google Scholar] [CrossRef]
- Laczkovics, C.; Czernin, K.; Carlitscheck, J.; Zeiler, M.; Schlund, P.; Wunram, H.L.; Lehmkuhl, G.; Krischer, M. Personality Disorder in Adolescent Patients with Anorexia Nervosa. Psychopathology 2023, 56, 268–275. [Google Scholar] [CrossRef]

| Variable | Group M ± SD/Me (Q1; Q3) | AN1 vs. AN2 | AN1 vs. CG | AN2 vs. CG | |||||
|---|---|---|---|---|---|---|---|---|---|
| AN1 (n = 36) | AN2 (n = 36) | CG (n = 48) | Cohen’s D/Wilcoxon Effect Size r (95% CI) * | Adj p | Cohen’s D/Wilcoxon Effect Size r (95% CI) ** | Adj p | Cohen’s D/Wilcoxon Effect Size r (95% CI) ** | Adj p | |
| Age | 14.53 ± 1.59 | - | 15.52 ± 0.97 | - | - | −0.78 (−1.23; −0.33) | 0.005 2 | - | - |
| Height [m] | 1.61 (1.56; 1.65) | - | 1.65 (1.62; 1.69) | - | - | 0.34 (0.15; 0.53) | 0.0065 | - | - |
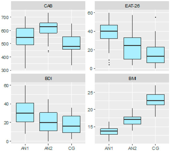
| BMI [kg/m2] | 13.51 ± 1.40 | 16.89 ± 1.51 | 22.70 ± 2.31 | −2.27 (−2.94; −1.59) | <0.001 3 | −4.66 (−5.49; −3.83) | <0.001 2 | −2.90 (−3.51; −2.28) | <0.001 2 |
| Body weight [kg] | 34.46 ± 5.51 | 43.16 ± 7.02 | 62.27 ± 6.61 | −1.29 (−1.58; −0.99) | <0.001 3 | −4.51 (−5.32; −3.69) | <0.001 1 | −2.81 (−3.42; −2.20) | <0.001 1 |
| IBW | 55.50 (53.19; 57.62) | - | 57.25 (56.00; 59.62) | - | - | 0.34 (0.14; 0.54) | 0.005 | - | - |
| %IBW | 0.63 ± 0.07 | 0.79 ± 0.08 | 1.08 ± 0.11 | −2.04 (−2.62; −1.47) | <0.001 3 | −4.82 (−5.67; −3.96) | <0.001 2 | −3.01 (−3.64; −2.37) | <0.001 1 |
| Variable | Group M ± SD/Me (Q1; Q3) | AN1 vs. AN2 | AN1 vs. CG | AN2 vs. CG | |||||
|---|---|---|---|---|---|---|---|---|---|
| AN1 (n = 36) | AN2 (n = 36) | CG (n = 48) | Cohen’s D/Wilcoxon Effect Size r (95% CI) * | Adj p | Cohen’s D/Wilcoxon Effect Size r (95% CI) ** | Adj p | Cohen’s D/Wilcoxon Effect Size r (95% CI) ** | Adj p | |
| CAB | 550.34 (492.76; 616.50) | 629.57 (582.94; 656.24) | 483.02 (457.70; 555.48) | 0.85 (0.77; 0.87) 2 | <0.001 1 | 0.27 (0.04; 0.48) 2 | 0.037 | 0.59 (0.42; 0.72) 2 | <0.001 |
| CA—Perception | 634.00 (563.00; 705.75) | 681.50 (640.00; 733.75) | 488.33 (458.00; 543.50) | 0.55 (0.26; 0.77) 2 | 0.002 1 | 0.54 (0.33; 0.70) 2 | <0.001 | 0.70 (0.56; 0.81) 2 | <0.001 |
| CA—Attention | 612.50 (547.50; 650.00) | 660.00 (602.25; 690.25) | 531.00 (527.47; 605.50) | 0.59 (0.32; 0.80) 2 | 0.001 1 | 0.27 (0.06; 0.47) 2 | 0.036 | 0.50 (0.29; 0.66) 2 | <0.001 |
| CA—Reasoning | 599.00 (556.25; 646.25) | 654.00 (620.00; 686.75) | 622.00 (620.60; 674.50) | 0.73 (0.56; 0.85) 2 | <0.001 1 | 0.27 (0.05; 0.49) 2 | 0.036 | 0.12 (0.01; 0.34) 2 | 0.348 |
| CA—Memory | 512.50 (435.00; 587.50) | 619.00 (568.75; 647.25) | 460.60 (455.80; 592.00) | 0.83 (0.73; 0.87) 2 | <0.001 1 | 0.10 (0.01; 0.34) 2 | 0.468 | 0.46 (0.27; 0.64) 2 | <0.001 |
| CA—Coordination | 391.00 (307.00; 500.00) | 528.00 (424.25; 608.50) | 315.33 (307.00; 400.50) | 0.78 (0.63; 0.87) 2 | <0.001 1 | 0.21 (0.02; 0.41) 2 | 0.091 | 0.51 (0.32; 0.68) 2 | <0.001 |
| EAT-26 | 40.00 (31.75; 46.25) | 24.50 (10.00; 33.00) | 13.00 (6.00; 22.50) | 0.76 (0.57; 0.86) | <0.001 1 | 0.63 (0.46; 0.75) | <0.001 | 0.26 (0.04; 0.47) | 0.033 |
| BDI | 30.00 (20.50; 41.00) | 20.00 (11.00; 30.50) | 16.00 (9.00; 26.50) | 0.69 (0.47; 0.86) | <0.001 1 | 0.44 (0.26; 0.61) 2 | <0.001 | 0.12 (0.01; 0.34) 2 | 0.351 |
| Main Variable | Variable | Group M ± SD/Me (Q1; Q3) | AN1 vs. AN2 | AN1 vs. CG | AN2 vs. CG | |||||
|---|---|---|---|---|---|---|---|---|---|---|
| AN1 (n = 36) | AN2 (n = 36) | CG (n = 48) | Cohen’s D/Wilcoxon Effect Size r (95% CI) * | Adj p | Cohen’s D/Wilcoxon Effect Size r (95% CI) ** | Adj p | Cohen’s D/Wilcoxon Effect Size r (95% CI) ** | Adj p | ||
| CA—Perception | Auditory Perception | 567.50 (447.25; 670.50) | 688.50 (622.00; 742.25) | 526.27 (523.63; 662.00) | 0.73 (0.56; 0.84) 6 | <0.001 4 | 0.01 (0.00; 0.27) 6 | 0.917 | 0.43 (0.22; 0.62) 6 | <0.001 |
| Estimation | 619.50 (379.75; 696.75) | 676.00 (505.50; 703.50) | 514.87 (436.50; 573.50) | 0.16 (0.01; 0.45) 6 | 0.375 4 | 0.26 (0.04; 0.48) 6 | 0.037 | 0.44 (0.21; 0.64) 6 | <0.001 | |
| Recognition | 561.00 (408.50; 634.75) | 633.00 (577.50; 706.00) | 387.87 (360.00; 545.00) | 0.70 (0.49; 0.85) 6 | <0.001 4 | 0.27 (0.04; 0.48) 6 | 0.036 | 0.57 (0.39; 0.72) 6 | <0.001 | |
| Spatial Perception | 613.00 (415.25; 647.25) | 611.00 (308.00; 707.25) | 258.47 (202.50; 317.00) | 0.21 (0.01; 0.54) 6 | 0.240 4 | 0.55 (0.36; 0.71) 6 | <0.001 | 0.50 (0.30; 0.67) 6 | <0.001 | |
| Visual Perception | 657.50 (589.25; 732.25) | 694.50 (644.50; 737.25) | 578.00 (577.13; 745.00) | 0.47 (0.20; 0.68) 6 | 0.007 4 | 0.09 (0.00; 0.32) 6 | 0.506 | 0.26 (0.05; 0.48) 6 | 0.034 | |
| Visual Scanning | 505.00 (263.50; 628.50) | 599.50 (434.75; 631.00) | 532.00 (496.50; 610.00) | 0.52 (0.26; 0.75) 6 | 0.003 4 | 0.18 (0.01; 0.41) 6 | 0.156 | 0.07 (0.00; 0.29) 6 | 0.634 | |
| CA—Attention | Divided Attention | 787.50 (781.75; 800.00) | 795.00 (787.50; 800.00) | 785.87 (779.50; 795.50) | 0.32 (0.03; 0.60) 6 | 0.081 4 | 0.11 (0.01; 0.32) 6 | 0.456 | 0.27 (0.05; 0.49) 6 | 0.027 |
| Focus Attention | 604.00 (436.00; 650.25) | 629.00 (587.50; 680.25) | 431.93 (399.00; 582.50) | 0.63 (0.38; 0.81) 6 | <0.001 4 | 0.26 (0.05; 0.47) 6 | 0.037 | 0.48 (0.28; 0.65) 6 | <0.001 | |
| Updating | 609.00 (411.00; 664.00) | 696.50 (607.25; 736.75) | 463.80 (457.90; 582.50) | 0.82 (0.71; 0.87) 6 | <0.001 4 | 0.14 (0.01; 0.37) 6 | 0.288 | 0.51 (0.33; 0.69) 6 | <0.001 | |
| Inhibition | 800.00 (220.50; 800.00) | 800.00 (632.25; 800.00) | 514.13 (513.07; 800.00) | 0.27 (0.02; 0.55) 6 | 0.089 4 | 0.09 (0.01; 0.32) 6 | 0.522 | 0.28 (0.08; 0.49) 6 | 0.023 | |
| CA—Reasoning | Planning | 654.50 (524.25; 694.75) | 663.50 (612.00; 737.75) | 513.13 (511.57; 628.00) | 0.30 (0.02; 0.58) 6 | 0.099 4 | 0.30 (0.08; 0.50) 6 | 0.022 | 0.45 (0.27; 0.63) 6 | <0.001 |
| Processing Speed | 615.50 (515.50; 700.00) | 675.50 (576.25; 710.75) | 597.13 (585.50; 673.00) | 0.52 (0.23; 0.74) 6 | 0.003 4 | 0.01 (0.00; 0.26) 6 | 0.917 | 0.20 (0.02; 0.42) 6 | 0.108 | |
| Shifting | 769.50 (730.25; 788.50) | 780.00 (745.00; 796.25) | 754.00 (751.20; 794.00) | 0.27 (0.02; 0.56) 6 | 0.138 4 | 0.05 (0.00; 0.28) 6 | 0.677 | 0.07 (0.00; 0.30) 6 | 0.634 | |
| CA—Memory | Phonological Short-Term Memory | 410.00 (270.75; 592.50) | 511.50 (339.25; 648.50) | 362.53 (324.50; 448.00) | 0.47 (0.17; 0.71) 6 | 0.007 4 | 0.10 (0.01; 0.32) 6 | 0.468 | 0.27 (0.06; 0.49) 6 | 0.028 |
| Visual Short-Term Memory | 660.00 (509.00; 703.50) | 655.50 (588.25; 715.25) | 511.00 (508.47; 635.50) | 0.06 (0.01; 0.39) 6 | 0.747 4 | 0.26 (0.04; 0.47) 6 | 0.037 | 0.31 (0.09; 0.52) 6 | 0.011 | |
| Naming | 619.50 (472.25; 677.00) | 669.00 (599.75; 722.25) | 496.00 (485.27; 654.00) | 0.45 (0.15; 0.70) 6 | 0.009 4 | 0.14 (0.01; 0.37) 6 | 0.284 | 0.32 (0.10; 0.51) 6 | 0.010 | |
| Contextual Memory | 616.00 (518.50; 675.00) | 707.50 (654.25; 736.25) | 489.27 (476.13; 599.50) | 0.78 (0.63; 0.86) 6 | <0.001 4 | 0.26 (0.05; 0.46) 6 | 0.037 | 0.56 (0.39; 0.72) 6 | <0.001 | |
| Short-Term Memory | 609.50 (420.75; 661.50) | 623.00 (517.50; 682.00) | 410.93 (409.97; 553.00) | 0.31 (0.03; 0.61) 6 | 0.007 4 | 0.26 (0.04; 0.47) 6 | 0.037 | 0.41 (0.19; 0.61) 6 | 0.001 | |
| Non-Verbal Memory | 650.50 (474.00; 693.25) | 670.50 (626.50; 722.25) | 522.47 (504.73; 691.00) | 0.31 (0.03; 0.57) 6 | 0.083 4 | 0.16 (0.01; 0.39) 6 | 0.228 | 0.38 (0.16; 0.55) 6 | 0.002 | |
| Working Memory | 614.50 (464.50; 660.75) | 666.50 (635.75; 719.00) | 445.47 (445.47; 613.50) | 0.82 (0.72; 0.87) 6 | <0.001 4 | 0.21 (0.02; 0.43) 6 | 0.107 | 0.56 (0.39; 0.70) 6 | <0.001 | |
| CA—Coordination | Response Time | 338.94 ± 164.63 | 395.72 ± 148.40 | 349.32 ± 124.31 | −0.35 (−0.58; −0.13) 5 | 0.005 3 | −0.07 (−0.51; 0.37) 5 | 0.790 2 | 0.34 (−0.11; 0.79) 5 | 0.184 1 |
| Hand–Eye Coordination | 229.50 (125.50; 498.25) | 470.50 (215.00; 619.25) | 198.07 (159.50; 241.50) | 0.61 (0.38; 0.77) 6 | 0.001 4 | 0.12 (0.01; 0.36) 6 | 0.395 | 0.45 (0.22; 0.64) 6 | <0.001 | |
| Variable | Group M ± SD/Me (Q1; Q3) | AN1 vs. AN2 | AN1 vs. CG | AN2 vs. CG | |||||
|---|---|---|---|---|---|---|---|---|---|
| AN1 (n = 36) | AN2 (n = 36) | CG (n = 48) | Cohen’s D/Wilcoxon Effect Size r (95% CI) * | Adj p | Cohen’s D/Wilcoxon Effect Size r (95% CI) ** | Adj p | Cohen’s D/Wilcoxon Effect Size r (95% CI) ** | Adj p | |
| 1.25(0H)2D [ng/mL] (30.0–50.0) | 24.85 (17.98; 35.00) | 19.65 (11.05; 26.20) | 19.30 (15.18; 25.77) | 0.53 (0.27; 0.75) 6 | 0.003 4 | 0.22 (0.03; 0.43) 6 | 0.066 | 0.04 (0.00; 0.27) 6 | 0.835 |
| WBC [103/μL] (4.0–10.0) | 4.35 (3.92; 5.03) | 5.76 (5.06; 6.37) | 6.65 (5.28; 7.46) | 0.81 (0.68; 0.86) 6 | <0.001 4 | 0.60 (0.44; 0.72) 6 | <0.001 | 0.26 (0.05; 0.45) 6 | 0.030 |
| RBC [106/μL] (4.0–5.0) | 4.39 ± 0.56 | 4.33 ± 0.40 | 4.66 ± 0.31 | 0.12 (−0.22; 0.46) 5 | 0.523 3 | −0.63 (−1.07; −0.18) 5 | 0.030 2 | −0.95 (−1.40; −0.49) 5 | <0.001 1 |
| HGB [g/dL] (12.0–16.0) | 13.45 (12.90; 14.30) | 12.95 (12.28; 13.55) | 13.65 (13.17; 14.03) | 0.28 (0.02; 0.57) 6 | 0.108 4 | 0.06 (0.00; 0.29) 6 | 0.631 | 0.36 (0.17; 0.54) 6 | 0.002 |
| HCT [%] | 39.30 (37.27; 41.10) | 38.65 (36.72; 39.95) | 39.55 (38.65; 40.85) | 0.05 (0.01; 0.40) 6 | 0.747 4 | 0.06 (0.00; 0.30) 6 | 0.631 | 0.23 (0.03; 0.44) 6 | 0.054 |
| PLT [103/μL] (150–400) | 226.94 ± 60.63 | 286.03 ± 51.03 | 290.35 ± 61.77 | −1.03 (−1.55; −0.51) 5 | <0.001 3 | −1.03 (−1.49; −0.57) 5 | <0.001 1 | −0.08 (−0.51; 0.36) 5 | 0.835 1 |
| Glucose [mg/dL] (60–101) | 73.17 ± 9.65 | 82.11 ± 5.87 | 84.81 ± 7.48 | −1.08 (−1.61; −0.56) 5 | <0.001 3 | −1.37 (−1.85; −0.89) 5 | <0.001 1 | −0.40 (−0.83; 0.04) 5 | 0.108 1 |
| Insulin [mU/mL] (<15) | 4.30 (2.80; 5.90) | 6.15 (4.88; 9.48) | 7.05 (5.30; 9.30) | 0.61 (0.34; 0.83) 6 | 0.001 4 | 0.53 (0.36; 0.67) 6 | <0.001 | 0.13 (0.01; 0.33) 6 | 0.316 |
| HOMA-IR | 0.77 (0.54; 1.08) | 1.23 (0.93; 2.05) | 1.48 (1.13; 1.90) | 0.67 (0.46; 0.83) 6 | <0.001 4 | 0.60 (0.46; 0.74) 6 | <0.001 | 0.15 (0.01; 0.35) 6 | 0.237 |
| TSH [mIU/L] (0.47–3.41) | 2.02 ± 0.91 | 2.18 ± 0.99 | 2.14 ± 0.97 | −0.17 (−0.51; 0.18) 5 | 0.375 3 | −0.13 (−0.57; 0.30) 5 | 0.626 1 | 0.04 (−0.40; 0.47) 5 | 0.945 1 |
| FT4 [ng/dL] (0.86–1.37) | 0.82 (0.77; 0.91) | 0.79 (0.73; 0.85) | 0.98 (0.93; 1.02) | 0.43 (0.13; 0.68) 6 | 0.013 4 | 0.57 (0.39; 0.73) 6 | <0.001 | 0.75 (0.61; 0.83) 6 | <0.001 |
| Variable | CAB | CA—Perception | CA—Attention | CA—Reasoning | CA—Memory | CA—Coordination | ||||||
|---|---|---|---|---|---|---|---|---|---|---|---|---|
| rho | p | rho | p | rho | p | rho | p | rho | p | rho | p | |
| AN1 | ||||||||||||
| BDI | −0.18 | 0.286 | −0.05 | 0.777 | −0.18 | 0.290 | −0.15 | 0.372 | −0.15 | 0.382 | −0.11 | 0.538 |
| EAT-26 | −0.43 | 0.010 | −0.27 | 0.108 | −0.29 | 0.090 | −0.21 | 0.224 | −0.34 | 0.040 | −0.30 | 0.071 |
| AN2 | ||||||||||||
| BDI | −0.14 | 0.414 | −0.12 | 0.472 | −0.08 | 0.652 | −0.19 | 0.266 | −0.09 | 0.593 | −0.02 | 0.906 |
| EAT-26 | −0.31 | 0.063 | −0.20 | 0.241 | −0.18 | 0.296 | −0.07 | 0.666 | −0.26 | 0.133 | −0.28 | 0.092 |
| CG | ||||||||||||
| BDI | −0.08 | 0.600 | −0.10 | 0.532 | −0.11 | 0.486 | −0.02 | 0.914 | −0.11 | 0.502 | 0.17 | 0.273 |
| EAT-26 | −0.16 | 0.299 | −0.12 | 0.436 | −0.35 | 0.024 | −0.11 | 0.476 | −0.25 | 0.110 | 0.11 | 0.505 |
Disclaimer/Publisher’s Note: The statements, opinions and data contained in all publications are solely those of the individual author(s) and contributor(s) and not of MDPI and/or the editor(s). MDPI and/or the editor(s) disclaim responsibility for any injury to people or property resulting from any ideas, methods, instructions or products referred to in the content. |
© 2024 by the authors. Licensee MDPI, Basel, Switzerland. This article is an open access article distributed under the terms and conditions of the Creative Commons Attribution (CC BY) license (https://creativecommons.org/licenses/by/4.0/).
Share and Cite
Jowik-Krzemińska, K.; Dylewska, D.; Pawlińska-Maćkowiak, A.; Słopień, A.; Tyszkiewicz-Nwafor, M. Cognitive Functions in Adolescent Girls with Anorexia Nervosa during Nutritional Rehabilitation. Nutrients 2024, 16, 3435. https://doi.org/10.3390/nu16203435
Jowik-Krzemińska K, Dylewska D, Pawlińska-Maćkowiak A, Słopień A, Tyszkiewicz-Nwafor M. Cognitive Functions in Adolescent Girls with Anorexia Nervosa during Nutritional Rehabilitation. Nutrients. 2024; 16(20):3435. https://doi.org/10.3390/nu16203435
Chicago/Turabian StyleJowik-Krzemińska, Katarzyna, Dagmara Dylewska, Aleksandra Pawlińska-Maćkowiak, Agnieszka Słopień, and Marta Tyszkiewicz-Nwafor. 2024. "Cognitive Functions in Adolescent Girls with Anorexia Nervosa during Nutritional Rehabilitation" Nutrients 16, no. 20: 3435. https://doi.org/10.3390/nu16203435
APA StyleJowik-Krzemińska, K., Dylewska, D., Pawlińska-Maćkowiak, A., Słopień, A., & Tyszkiewicz-Nwafor, M. (2024). Cognitive Functions in Adolescent Girls with Anorexia Nervosa during Nutritional Rehabilitation. Nutrients, 16(20), 3435. https://doi.org/10.3390/nu16203435

