Transport of Neutral Amino Acids in the Jejunum of Pigs with Special Consideration of L-Methionine
Abstract
1. Introduction
2. Materials and Methods
2.1. Animal Ethics
2.2. Animals and Diets
2.3. Feed Analysis
2.4. Tissue Sampling
2.5. Ussing Chamber—Amino Acid Flux (Trial B)
2.6. Ussing Chamber—Amino Acid Uptake (Trial C)
2.7. Reverse-Transcription Quantitative PCR
2.8. Statistical Analyses
3. Results
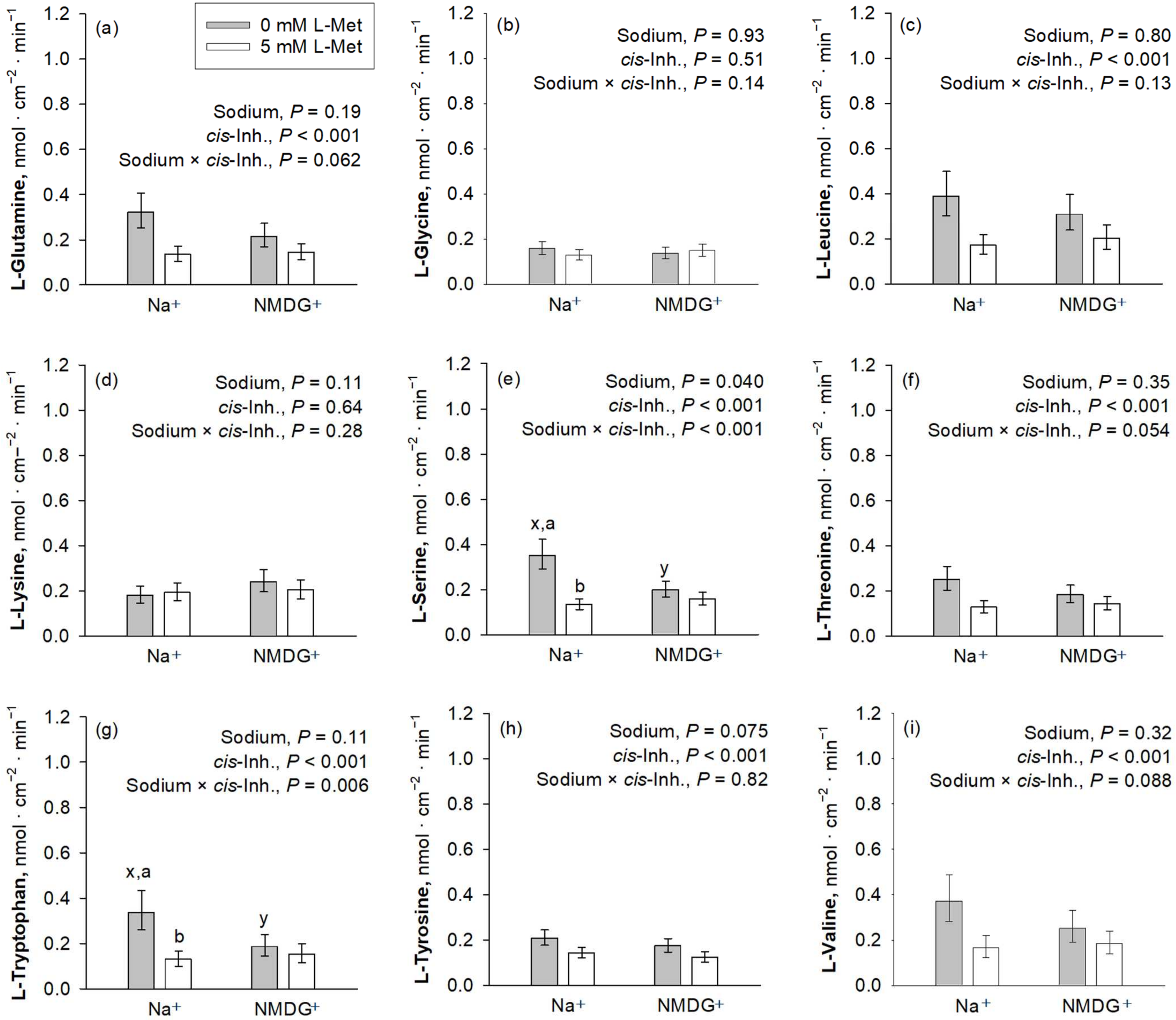
3.1. Ussing Chamber—Amino Acid Flux Rates (Trial B)
3.2. Correlation Network Analysis
3.3. Ussing Chamber—Amino Acid Uptake (Trial C)
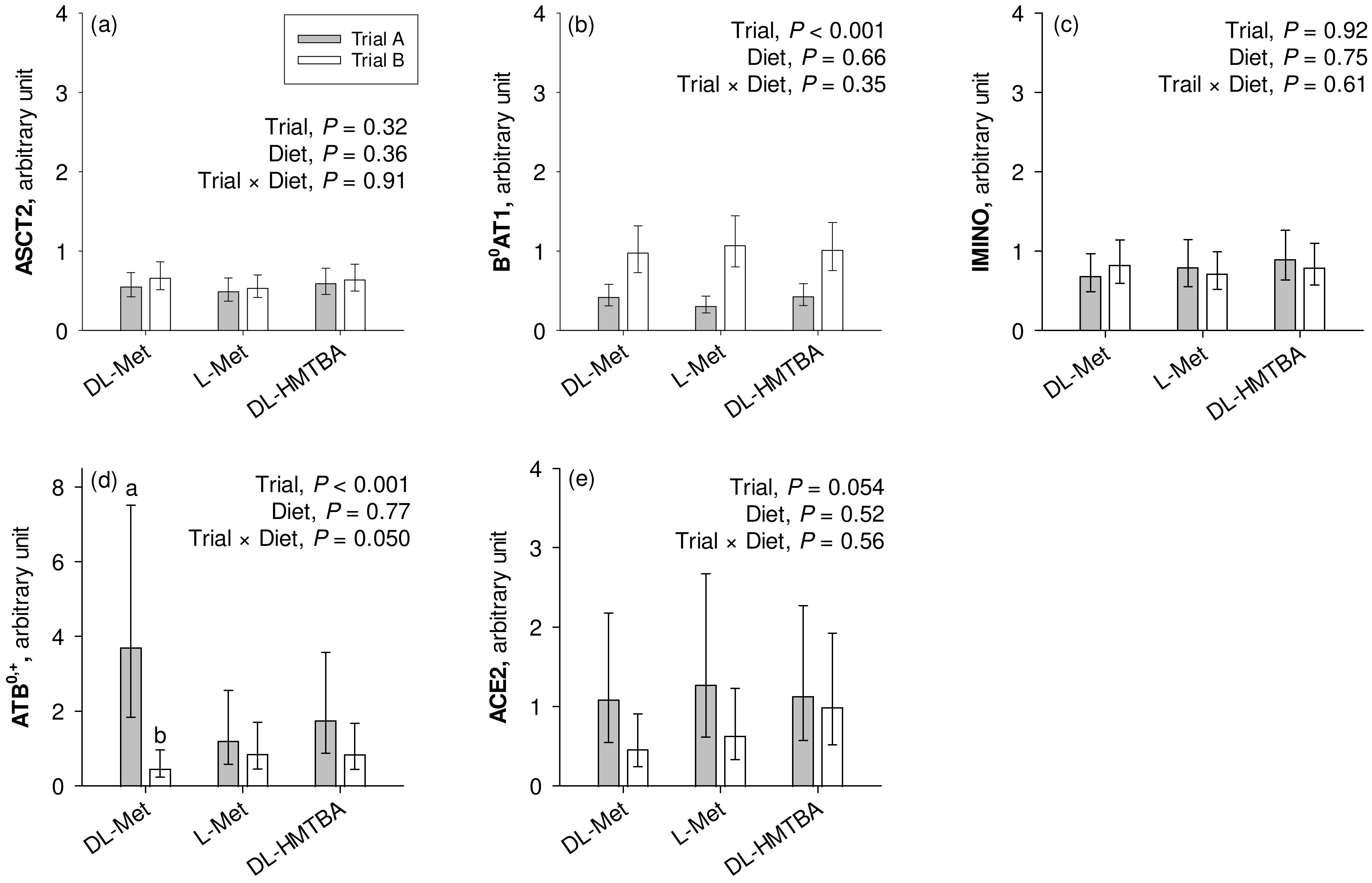
3.4. Quantitative Real-Time PCR—Transporters
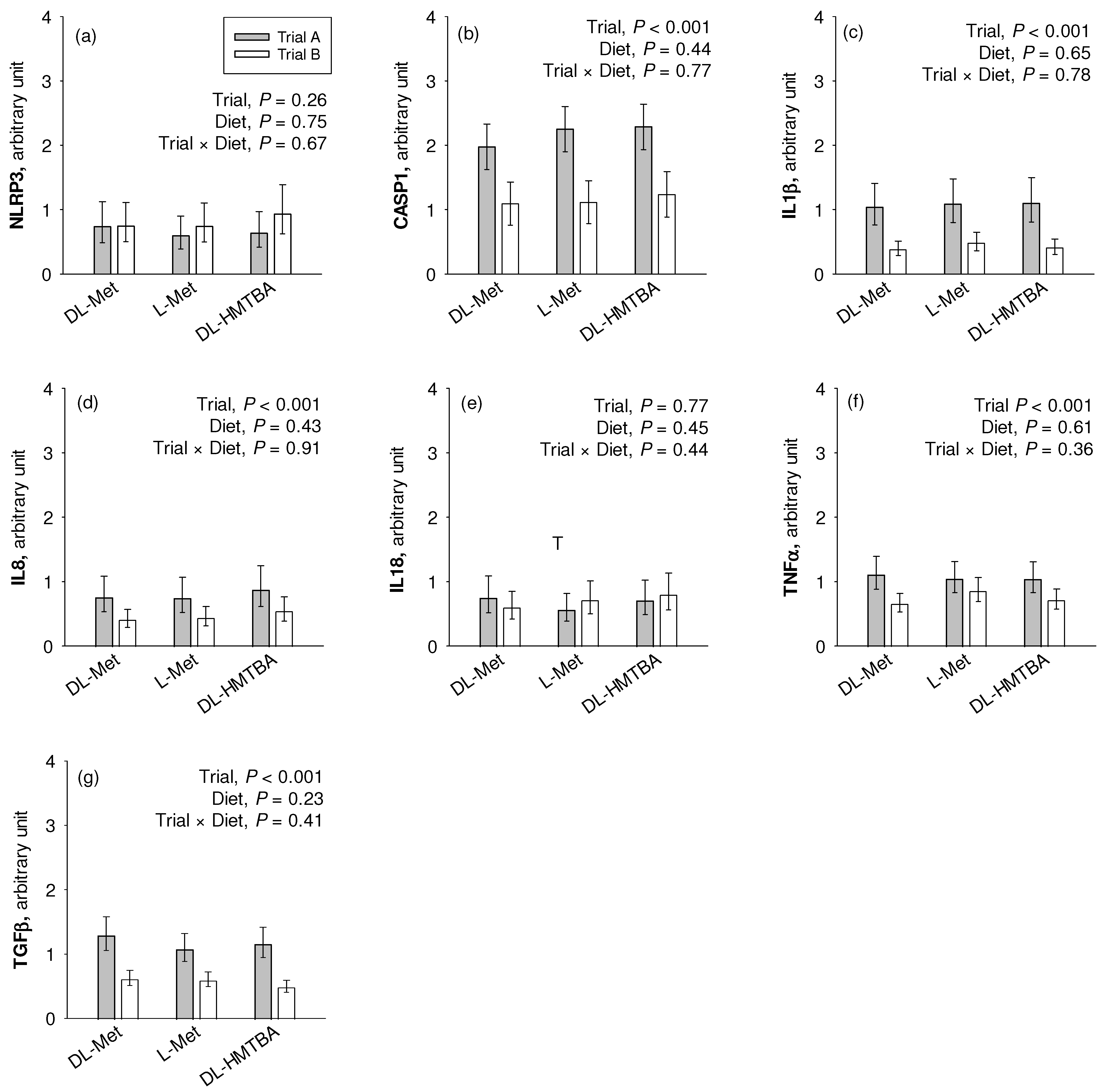
3.5. Quantitative Real-Time PCR—Inflammatory Markers
4. Discussion
5. Conclusions
Author Contributions
Funding
Institutional Review Board Statement
Informed Consent Statement
Data Availability Statement
Acknowledgments
Conflicts of Interest
References
- Wang, W.W.; Qiao, S.Y.; Li, D.F. Amino acids and gut function. Amino Acids 2009, 37, 105–110. [Google Scholar] [CrossRef] [PubMed]
- Mastrototaro, L.; Sponder, G.; Saremi, B.; Aschenbach, J.R. Gastrointestinal methionine shuttle: Priority handling of precious goods. IUBMB Life 2016, 68, 924–934. [Google Scholar] [CrossRef] [PubMed]
- Chiang, P.K.; Gordon, R.K.; Tal, J.; Zeng, G.C.; Doctor, B.P.; Pardhasaradhi, K.; McCann, P.P. S-Adenosylmethionine and methylation. FASEB J. 1996, 10, 471–480. [Google Scholar] [CrossRef] [PubMed]
- Courtney-Martin, G.; Ball, R.O.; Pencharz, P.B. Sulfur amino acid metabolism and requirements. Nutr. Rev. 2012, 70, 170–175. [Google Scholar] [CrossRef] [PubMed]
- Elango, R.; Humayun, M.A.; Turner, J.M.; Rafii, M.; Langos, V.; Ball, R.O.; Pencharz, P.B. Total sulfur amino acid requirements are not altered in children with chronic renal insufficiency, but minimum methionine needs are increased. J. Nutr. 2017, 147, 1954–1959. [Google Scholar] [CrossRef]
- Elango, R. Methionine nutrition and netabolism: Insights from animal studies to inform human nutrition. J. Nutr. 2020, 150, 2518S–2523S. [Google Scholar] [CrossRef]
- European Food Safety Authority. Scientific Opinion on DL-methionine, DL-methionine sodium salt, the hydroxy analogue of methionine and the calcium salt of methionine hydroxy analogue in all animal species; on the isopropyl ester of methionine hydroxy analogue and DL-methionine technically pure protected with copolymer vinylpyridine/styrene in dairy cows; and on DL-methionine technically pure protected with ethylcellulose in ruminants. EFSA J. 2012, 10, 2623. [Google Scholar] [CrossRef]
- Roura, E.; Koopmans, S.J.; Lalles, J.P.; Le Huerou-Luron, I.; de Jager, N.; Schuurman, T.; Val-Laillet, D. Critical review evaluating the pig as a model for human nutritional physiology. Nutr. Res. Rev. 2016, 29, 60–90. [Google Scholar] [CrossRef]
- Miller, E.R.; Ullrey, D.E. The pig as a model for human nutrition. Annu. Rev. Nutr. 1987, 7, 361–382. [Google Scholar] [CrossRef]
- Lin, M.; Zhang, B.; Yu, C.; Li, J.; Zhang, L.; Sun, H.; Gao, F.; Zhou, G. L-Glutamate supplementation improves small intestinal architecture and enhances the expressions of jejunal mucosa amino acid receptors and transporters in weaning piglets. PLoS ONE 2014, 9, e111950. [Google Scholar] [CrossRef]
- Zhang, S.; Saremi, B.; Gilbert, E.R.; Wong, E.A. Physiological and biochemical aspects of methionine isomers and a methionine analogue in broilers. Poult. Sci. 2017, 96, 425–439. [Google Scholar] [CrossRef] [PubMed]
- Romanet, S.; Aschenbach, J.R.; Pieper, R.; Zentek, J.; Htoo, J.K.; Whelan, R.A.; Mastrototaro, L. Dietary supplementation of dl-methionine potently induces sodium-dependent l-methionine absorption in porcine jejunum ex vivo. J. Nutr. 2020, 150, 1782–1789. [Google Scholar] [CrossRef] [PubMed]
- Bohmer, C.; Broer, A.; Munzinger, M.; Kowalczuk, S.; Rasko, J.E.; Lang, F.; Broer, S. Characterization of mouse amino acid transporter B0AT1 (slc6a19). Biochem. J. 2005, 389, 745–751. [Google Scholar] [CrossRef] [PubMed]
- Broer, S. Amino acid transport across mammalian intestinal and renal epithelia. Physiol. Rev. 2008, 88, 249–286. [Google Scholar] [CrossRef]
- Munck, L.K.; Grondahl, M.L.; Skadhauge, E. beta-Amino acid transport in pig small intestine in vitro by a high-affinity, chloride-dependent carrier. Biochim. Biophys. Acta 1995, 1238, 49–56. [Google Scholar] [CrossRef]
- Yang, G.L.; Ren, J.; Zhang, H.S.; Huang, W.B.; Guo, Y.M.; Duan, Y.Y.; Liu, M.Z.; Huang, L.S. Isolation and molecular characterization of the porcine SLC6A14 gene excludes it as a candidate gene for fat deposition and growth. J. Appl. Genet. 2010, 51, 299–308. [Google Scholar] [CrossRef]
- Romanet, S.; Aschenbach, J.R.; Pieper, R.; Zentek, J.; Htoo, J.K.; Whelan, R.A.; Mastrototaro, L. Expression of proposed methionine transporters along the gastrointestinal tract of pigs and their regulation by dietary methionine sources. Genes Nutr. 2021, 16, 1–15. [Google Scholar] [CrossRef]
- Sloan, J.L.; Mager, S. Cloning and functional expression of a human Na+ and Cl−-dependent neutral and cationic amino acid transporter B0+. J. Biol. Chem. 1999, 274, 23740–23745. [Google Scholar] [CrossRef]
- Utsunomiya-Tate, N.; Endou, H.; Kanai, Y. Cloning and functional characterization of a system ASC-like Na+-dependent neutral amino acid transporter. J. Biol. Chem. 1996, 271, 14883–14890. [Google Scholar] [CrossRef]
- Takanaga, H.; Mackenzie, B.; Suzuki, Y.; Hediger, M.A. Identification of mammalian proline transporter SIT1 (SLC6A20) with characteristics of classical system imino. J. Biol. Chem. 2005, 280, 8974–8984. [Google Scholar] [CrossRef]
- Chillaron, J.; Estevez, R.; Mora, C.; Wagner, C.A.; Suessbrich, H.; Lang, F.; Gelpi, J.L.; Testar, X.; Busch, A.E.; Zorzano, A.; et al. Obligatory amino acid exchange via systems bo,+-like and y+L-like. A tertiary active transport mechanism for renal reabsorption of cystine and dibasic amino acids. J. Biol. Chem. 1996, 271, 17761–17770. [Google Scholar] [CrossRef] [PubMed]
- Martin-Venegas, R.; Rodriguez-Lagunas, M.J.; Geraert, P.A.; Ferrer, R. Monocarboxylate transporter 1 mediates DL-2-Hydroxy-(4-methylthio)butanoic acid transport across the apical membrane of Caco-2 cell monolayers. J. Nutr. 2007, 137, 49–54. [Google Scholar] [CrossRef] [PubMed][Green Version]
- Sundaram, U.; Wisel, S.; Fromkes, J.J. Unique mechanism of inhibition of Na+-amino acid cotransport during chronic ileal inflammation. Am. J. Physiol. 1998, 275, G483–G489. [Google Scholar] [CrossRef] [PubMed]
- Camargo, S.M.; Singer, D.; Makrides, V.; Huggel, K.; Pos, K.M.; Wagner, C.A.; Kuba, K.; Danilczyk, U.; Skovby, F.; Kleta, R.; et al. Tissue-specific amino acid transporter partners ACE2 and collectrin differentially interact with hartnup mutations. Gastroenterology 2009, 136, 872–882. [Google Scholar] [CrossRef]
- Ferreira-Duarte, M.; Estevinho, M.M.; Duarte-Araujo, M.; Magro, F.; Morato, M. Unraveling the role of ACE2, the binding receptor for SARS-CoV-2, in inflammatory bowel disease. Inflamm. Bowel Dis. 2020, 26, 1787–1795. [Google Scholar] [CrossRef]
- Nowak, J.K.; Lindstrom, J.C.; Kalla, R.; Ricanek, P.; Halfvarson, J.; Satsangi, J. Age, Inflammation, and Disease Location Are Critical Determinants of Intestinal Expression of SARS-CoV-2 Receptor ACE2 and TMPRSS2 in Inflammatory Bowel Disease. Gastroenterology 2020, 159, 1151–1154.e1152. [Google Scholar] [CrossRef]
- Nisoli, E.; Cinti, S.; Valerio, A. COVID-19 and Hartnup disease: An affair of intestinal amino acid malabsorption. Eat. Weight Disord. 2020, 26, 1647–1651. [Google Scholar] [CrossRef]
- Broz, P.; Dixit, V.M. Inflammasomes: Mechanism of assembly, regulation and signalling. Nat. Rev. Immunol. 2016, 16, 407–420. [Google Scholar] [CrossRef]
- Bent, R.; Moll, L.; Grabbe, S.; Bros, M. Interleukin-1 beta-A friend or foe in malignancies? Int. J. Mol. Sci. 2018, 19, 2155. [Google Scholar] [CrossRef]
- Yasuda, K.; Nakanishi, K.; Tsutsui, H. Interleukin-18 in health and disease. Int. J. Mol. Sci. 2019, 20, 649. [Google Scholar] [CrossRef]
- Maini, R.N.; Elliott, M.J.; Brennan, F.M.; Feldmann, M. Beneficial effects of tumour necrosis factor-alpha (TNF-alpha) blockade in rheumatoid arthritis (RA). Clin. Exp. Immunol. 1995, 101, 207–212. [Google Scholar] [CrossRef] [PubMed]
- Baggiolini, M.; Clark-Lewis, I. Interleukin-8, a chemotactic and inflammatory cytokine. FEBS Lett. 1992, 307, 97–101. [Google Scholar] [CrossRef] [PubMed]
- Letterio, J.J.; Roberts, A.B. Regulation of immune responses by TGF-beta. Annu. Rev. Immunol. 1998, 16, 137–161. [Google Scholar] [CrossRef] [PubMed]
- Zimmermann, B.; Mosenthin, R.; Rademacher, M.; Lynch, P.B.; Esteve-Garcia, E. Comparative studies on the relative efficacy of DL-methionine and liquid methionine hydroxy analogue in growing pigs. Asian-Australas. J. Anim. Sci. 2005, 18, 1003–1010. [Google Scholar] [CrossRef]
- ISO 12099:2017; Animal Feeding Stuffs, Cereals and Milled Cereal Products—Guidelines for the Application of Near Infrared Spectrometry. ISO: Geneva, Switzerland, 2017.
- Llames, C.R.; Fontaine, J. Determination of amino-acids in feeds—Collaborative study. J. AOAC Int. 1994, 77, 1362–1402. [Google Scholar] [CrossRef]
- Klingspor, S.; Martens, H.; Caushi, D.; Twardziok, S.; Aschenbach, J.R.; Lodemann, U. Characterization of the effects of Enterococcus faecium on intestinal epithelial transport properties in piglets. J. Anim. Sci. 2013, 91, 1707–1718. [Google Scholar] [CrossRef]
- Schultz, S.G.; Zalusky, R. Ion transport in isolated rabbit ileum. I. Short-circuit current and Na fluxes. J. Gen. Physiol. 1964, 47, 567–584. [Google Scholar] [CrossRef]
- Schermuly, I.I.; Romanet, S.; Klünemann, M.; Mastrototaro, L.; Pieper, R.; Zentek, J.; Whelan, R.A.; Aschenbach, J.R. Dietary methionine source alters the lipidome in the small intestinal epithelium of pigs. Sci. Rep. 2022, 12, 4863. [Google Scholar] [CrossRef]
- Vandesompele, J.; De Preter, K.; Pattyn, F.; Poppe, B.; Van Roy, N.; De Paepe, A.; Speleman, F. Accurate normalization of real-time quantitative RT-PCR data by geometric averaging of multiple internal control genes. Genome Biol. 2002, 3, 1–12. [Google Scholar] [CrossRef]
- Livak, K.J.; Schmittgen, T.D. Analysis of relative gene expression data using real-time quantitative PCR and the 2−ΔΔCT Method. Methods 2001, 25, 402–408. [Google Scholar] [CrossRef]
- Loss, H.; Aschenbach, J.R.; Tedin, K.; Ebner, F.; Lodemann, U. The inflammatory response to enterotoxigenic E. coli and probiotic E. faecium in a coculture model of porcine intestinal epithelial and dendritic cells. Mediat. Inflamm. 2018, 2018, 9368295. [Google Scholar] [CrossRef] [PubMed]
- Xu, X.; Chang, J.; Wang, P.; Liu, C.; Liu, M.; Zhou, T.; Yin, Q.; Yan, G. Combination of glycyrrhizic acid and compound probiotics alleviates deoxynivalenol-induced damage to weaned piglets. Ecotoxicol. Environ. Saf. 2023, 256, 114901. [Google Scholar] [CrossRef] [PubMed]
- Shannon, P.; Markiel, A.; Ozier, O.; Baliga, N.S.; Wang, J.T.; Ramage, D.; Amin, N.; Schwikowski, B.; Ideker, T. Cytoscape: A software environment for integrated models of biomolecular interaction networks. Genome Res. 2003, 13, 2498–2504. [Google Scholar] [CrossRef] [PubMed]
- Wells, R.G.; Hediger, M.A. Cloning of a rat kidney cDNA that stimulates dibasic and neutral amino acid transport and has sequence similarity to glucosidases. Proc. Natl. Acad. Sci. USA 1992, 89, 5596–5600. [Google Scholar] [CrossRef]
- Nørgaard, J.; Canibe, N.; Nielsen, B.; Carlson, D.; Knap, I.; Cantor, M.; Poulsen, H. First studies on a new concept for amino acid provision through B. subtilis in situ valine production in young pigs. Livest. Sci. 2012, 147, 33–39. [Google Scholar] [CrossRef]
- Webb, K.E., Jr. Intestinal absorption of protein hydrolysis products: A review. J. Anim. Sci. 1990, 68, 3011–3022. [Google Scholar] [CrossRef]
- Turner, J.R.; Buschmann, M.M.; Romero-Calvo, I.; Sailer, A.; Shen, L. The role of molecular remodeling in differential regulation of tight junction permeability. Semin. Cell Dev. Biol. 2014, 36, 204–212. [Google Scholar] [CrossRef]
- Nickel, A.; Kottra, G.; Schmidt, G.; Danier, J.; Hofmann, T.; Daniel, H. Characteristics of transport of selenoamino acids by epithelial amino acid transporters. Chem.-Biol. Interact. 2009, 177, 234–241. [Google Scholar] [CrossRef]
- Windmueller, H.G.; Spaeth, A.E. Respiratory fuels and nitrogen metabolism in vivo in small intestine of fed rats. Quantitative importance of glutamine, glutamate, and aspartate. J. Biol. Chem. 1980, 255, 107–112. [Google Scholar] [CrossRef]
- Windmueller, H.G.; Spaeth, A.E. Intestinal metabolism of glutamine and glutamate from the lumen as compared to glutamine from blood. Arch. Biochem. Biophys. 1975, 171, 662–672. [Google Scholar] [CrossRef]
- Ducroc, R.; Sakar, Y.; Fanjul, C.; Barber, A.; Bado, A.; Lostao, M.P. Luminal leptin inhibits L-glutamine transport in rat small intestine: Involvement of ASCT2 and B0AT1. Am. J. Physiol. Gastrointest. Liver Physiol. 2010, 299, G179–G185. [Google Scholar] [CrossRef] [PubMed]
- Jando, J.; Camargo, S.M.R.; Herzog, B.; Verrey, F. Expression and regulation of the neutral amino acid transporter B0AT1 in rat small intestine. PLoS ONE 2017, 12, e0184845. [Google Scholar] [CrossRef] [PubMed]
- Broer, S. The role of the neutral amino acid transporter B0AT1 (SLC6A19) in Hartnup disorder and protein nutrition. IUBMB Life 2009, 61, 591–599. [Google Scholar] [CrossRef] [PubMed]
- Torrente, M.; Guetg, A.; Sass, J.O.; Arps, L.; Ruckstuhl, L.; Camargo, S.M.; Verrey, F. Amino acids regulate transgene expression in MDCK cells. PLoS ONE 2014, 9, e96823. [Google Scholar] [CrossRef]
- Spencer, R.P.; Samiy, A.H. Intestinal transport of L-tryptophan in vitro: Inhibition by high concentrations. Am. J. Physiol. 1960, 199, 1033–1036. [Google Scholar] [CrossRef]
- Bosin, T.R.; Hathaway, D.R.; Maickel, R.P. Intestinal transport of tryptophan and its analogs. Am. J. Physiol. 1975, 228, 496–500. [Google Scholar] [CrossRef][Green Version]
- Madara, J.L.; Carlson, S. Supraphysiologic L-tryptophan elicits cytoskeletal and macromolecular permeability alterations in hamster small intestinal epithelium in vitro. J. Clin. Investig. 1991, 87, 454–462. [Google Scholar] [CrossRef]
- Wu, G. Amino acids: Metabolism, functions, and nutrition. Amino Acids 2009, 37, 1–17. [Google Scholar] [CrossRef]
- Richard, D.M.; Dawes, M.A.; Mathias, C.W.; Acheson, A.; Hill-Kapturczak, N.; Dougherty, D.M. L-Tryptophan: Basic Metabolic Functions, Behavioral Research and Therapeutic Indications. Int. J. Tryptophan Res. 2009, 2, 45–60. [Google Scholar] [CrossRef]
- van Meijl, L.E.; Popeijus, H.E.; Mensink, R.P. Amino acids stimulate Akt phosphorylation, and reduce IL-8 production and NF-kappaB activity in HepG2 liver cells. Mol. Nutr. Food Res. 2010, 54, 1568–1573. [Google Scholar] [CrossRef]
- Krishnan, N.; Dickman, M.B.; Becker, D.F. Proline modulates the intracellular redox environment and protects mammalian cells against oxidative stress. Free Radic. Biol. Med. 2008, 44, 671–681. [Google Scholar] [CrossRef]
- Soares, S.; Garcia-Estevez, I.; Ferrer-Galego, R.; Bras, N.F.; Brandao, E.; Silva, M.; Teixeira, N.; Fonseca, F.; Sousa, S.F.; Ferreira-da-Silva, F.; et al. Study of human salivary proline-rich proteins interaction with food tannins. Food Chem. 2018, 243, 175–185. [Google Scholar] [CrossRef] [PubMed]
- Cappai, M.G.; Wolf, P.; Pinna, W.; Kamphues, J. Pigs use endogenous proline to cope with acorn (Quercus pubescens Willd.) combined diets high in hydrolysable tannins. Livest. Sci. 2013, 155, 316–322. [Google Scholar] [CrossRef]
- Nikolaus, S.; Schulte, B.; Al-Massad, N.; Thieme, F.; Schulte, D.M.; Bethge, J.; Rehman, A.; Tran, F.; Aden, K.; Hasler, R.; et al. Increased tryptophan metabolism is associated with activity of inflammatory bowel diseases. Gastroenterology 2017, 153, 1504–1516.e1502. [Google Scholar] [CrossRef] [PubMed]
- Arthur, S.; Saha, P.; Sundaram, S.; Kekuda, R.; Sundaram, U. Regulation of sodium-glutamine cotransport in villus and crypt cells by glucocorticoids during chronic enteritis. Inflamm. Bowel Dis. 2012, 18, 2149–2157. [Google Scholar] [CrossRef]
- Sharma, D.; Kanneganti, T.D. The cell biology of inflammasomes: Mechanisms of inflammasome activation and regulation. J. Cell Biol. 2016, 213, 617–629. [Google Scholar] [CrossRef]
- Scialo, F.; Daniele, A.; Amato, F.; Pastore, L.; Matera, M.G.; Cazzola, M.; Castaldo, G.; Bianco, A. ACE2: The major cell entry receptor for SARS-CoV-2. Lung 2020, 198, 867–877. [Google Scholar] [CrossRef]
- Kuba, K.; Imai, Y.; Rao, S.; Gao, H.; Guo, F.; Guan, B.; Huan, Y.; Yang, P.; Zhang, Y.; Deng, W.; et al. A crucial role of angiotensin converting enzyme 2 (ACE2) in SARS coronavirus-induced lung injury. Nat. Med. 2005, 11, 875–879. [Google Scholar] [CrossRef]
- Verdecchia, P.; Cavallini, C.; Spanevello, A.; Angeli, F. The pivotal link between ACE2 deficiency and SARS-CoV-2 infection. Eur. J. Intern. Med. 2020, 76, 14–20. [Google Scholar] [CrossRef]
- Freire, A.C.; Basit, A.W.; Choudhary, R.; Piong, C.W.; Merchant, H.A. Does sex matter? The influence of gender on gastrointestinal physiology and drug delivery. Int. J. Pharm. 2011, 415, 15–28. [Google Scholar] [CrossRef]






| Ingredients | % as Fed Basis |
|---|---|
| Corn | 65.41 |
| Soybean meal, 48% CP | 21.96 |
| Rapeseed meal | 5.88 |
| Corn starch | 2.00 |
| Dicalcium phosphate 19 | 1.81 |
| Soybean oil | 0.71 |
| Salt (NaCl) | 0.68 |
| L-Lysine sulfate, 54.6% L-Lys 3 | 0.58 |
| Premix Blank Swine 2 | 0.50 |
| Limestone (CaCO3) | 0.28 |
| L-Threonine 3 | 0.14 |
| L-Tryptophan 3 | 0.04 |
| L-Valine 3 | 0.01 |
| Dry matter | 88.87 |
| Calculated nutrient composition | |
| Crude protein | 18.00 |
| Crude fiber | 2.72 |
| Ether extract | 3.73 |
| Ash | 5.90 |
| ME (MJ/kg) | 13.78 |
| NE (MJ/kg) | 10.40 |
| SID 4 Lys | 1.07 |
| SID Met | 0.25 |
| SID Met + Cys | 0.50 |
| SID Thr | 0.70 |
| SID Trp | 0.21 |
| SID Val | 0.73 |
| SID Ile | 0.63 |
| SID Leu | 1.31 |
| SID Phe | 0.75 |
| SID His | 0.41 |
| Calcium | 0.70 |
| Phosphorus | 0.66 |
| Nutrient Composition | Control | DL-Met | L-Met | DL-HMTBA |
|---|---|---|---|---|
| Crude protein | 17.7 | 18.8 | 18.3 | 18.3 |
| Crude fiber | 2.5 | 2.6 | 2.6 | 2.6 |
| Ether extract | 4.0 | 3.7 | 3.6 | 3.7 |
| Ash | 5.2 | 5.2 | 5.1 | 5.2 |
| Neutral detergent fiber | 9.6 | 9.9 | 9.6 | 10.1 |
| Acid detergent fiber | 3.5 | 3.8 | 3.8 | 3.8 |
| Starch | 45.0 | 44.4 | 44.6 | 45.1 |
| Sugar | 3.6 | 3.8 | 3.7 | 3.6 |
| Dry Matter | 88.4 | 88.1 | 88.2 | 88.0 |
| Met | 0.27 | 0.43 | 0.42 | 0.27 |
| Cys | 0.30 | 0.32 | 0.31 | 0.31 |
| Met + Cys | 0.57 | 0.75 | 0.73 | 0.58 |
| Lys | 1.21 | 1.29 | 1.20 | 1.23 |
| Thr | 0.81 | 0.83 | 0.82 | 0.80 |
| Arg | 1.12 | 1.18 | 1.15 | 1.12 |
| Ile | 0.72 | 0.75 | 0.74 | 0.71 |
| Leu | 1.45 | 1.51 | 1.47 | 1.46 |
| Val | 0.84 | 0.87 | 0.85 | 0.83 |
| His | 0.45 | 0.47 | 0.46 | 0.45 |
| Phe | 0.80 | 0.84 | 0.82 | 0.82 |
| Gly | 0.73 | 0.77 | 0.76 | 0.74 |
| Ser | 0.83 | 0.86 | 0.85 | 0.84 |
| Pro | 1.11 | 1.12 | 1.10 | 1.07 |
| Ala | 0.88 | 0.91 | 0.90 | 0.89 |
| Asp | 1.64 | 1.73 | 1.69 | 1.66 |
| Glu | 3.06 | 3.19 | 3.12 | 3.08 |
| Ammonia | 0.37 | 0.39 | 0.38 | 0.37 |
| Supplemented | ||||
| Met | <0.01 | 0.15 | 0.15 | <0.01 |
| Lys | 0.32 | 0.32 | 0.30 | 0.32 |
| Thr | 0.15 | 0.14 | 0.14 | 0.15 |
| Val | <0.02 | <0.02 | <0.02 | <0.02 |
| DL-HMTBA | 0.22 |
| Gene | Primer | Primer Sequence | Probe Sequence | Accession No | Reference |
|---|---|---|---|---|---|
| B0AT1 (SLC6A19) | Forward | CTTCATCTTCACCCTGAACTC | CCCCTGCTCATCATCGCCTTCTTCGAGATGT | XM_003359855.4 | [17] |
| Reverse | GATGTCGCTGTTGAACCTG | ||||
| ATB0,+ (SLC6A14) | Forward | CTGTGGCTTGGGGTGGTTTA | CCAACTCCCAGGTGGGCCAT | NM_001348402.1 | [17] |
| Reverse | AACCAAGCAGCAACCCAAAG | ||||
| ASCT2 (SLC1A5) | Forward | CGATTCGTTCCTGGATCTTG | CTCCAACCTGGTGTCTGCAGCCTT | XM_003127238.4 | [17] |
| Reverse | TAGGACGTCGCGTATGAG | ||||
| IMINO (SLC6A20) | Forward | TCGTGTCCCTCATCAACAG | ACCTCCATCTTTGCCAGTGTCGTCACCTT | XM_003358406.4 | [17] |
| Reverse | AGGAAGCCATCTTCAAGGTC | ||||
| ACE2 | Forward | ATGGTCGAAAAGTGGTCTGC | GTGCACAAAAGTGACGATGG | NM_001123070.1 | |
| Reverse | TTCTGAGCAGGTAGGGCTGT | ||||
| CASP1 | Forward | CTCTCCACAGGTTCACAATC | None | NM_214162 | [42] |
| Reverse | GAAGACGCAGGCTTAACTGG | ||||
| NLRP3 | Forward | AGCACATTCCAGTGCATCAAAG | None | NM_001256770.2 | [42] |
| Reverse | CCTGGTGAAGCGTTTGTTGAG | ||||
| IL1β | Forward | CCTCCTCCCAGGCCTTCTGT | None | NM_214055.1 | [42] |
| Reverse | GGGCCAGCCAGCACTAGAGA | ||||
| IL8 | Forward | GGCAGTTTTCCTGCTTTC | None | X61151.1 | [42] |
| Reverse | CAGTGGGGTCCACTCTC | ||||
| IL18 | Forward | ACGATGAAGACCTGGAATCG | None | AF191088.1 | [42] |
| Reverse | GCCAGACCTCTAGTGAGGCTA | ||||
| TGFβ | Forward | TGACCCGCAGAGAGGCTATA | None | NM_214015.2 | [42] |
| Reverse | CATGAGGAGCAGGAAGGGC | ||||
| TNFα | Forward | TTCCAGCTGGCCCCTTGAGC | None | NM_214022.1 | [43] |
| Reverse | GAGGGCATTGGCATACCCAC | ||||
| GAPDH | Forward | CAAGAAGGTGGTGAAGCAG | TGAGGACCAGGTTGTGTCCTGTGACTTCAA | XM_021091114.1 | [17] |
| Reverse | GCATCAAAAGTGGAAGAGTGAG | ||||
| YWHAZ | Forward | AAGAGTCATACAAAGACAGCAC | ATCGGATACCCAAGGAGATGAAGCTGAA | XM_005662949.2 | [17] |
| Reverse | ATTTTCCCCTCCTTCTCCTG |
| Gln | Gly | Leu | Lys | Met | Ser | Thr | Trp | Tyr | Val | |
|---|---|---|---|---|---|---|---|---|---|---|
| 50 µM amino acid concentration | ||||||||||
| Gln | --- | 0.28 | 0.61 ** | 0.32 | 0.42 ** | 0.42 ** | 0.51 ** | 0.30 | 0.37 * | 0.59 ** |
| Gly | --- | 0.30 | 0.29 | 0.30 | 0.25 | 0.44 ** | 0.10 | 0.31 | 0.23 | |
| Leu | --- | 0.47 ** | 0.47 ** | 0.49 ** | 0.28 | 0.27 | 0.44 ** | 0.48 ** | ||
| Lys | --- | 0.42 * | 0.56 ** | 0.52 ** | -0.17 | 0.70 ** | 0.11 | |||
| Met | --- | 0.58 ** | 0.31 | -0.02 | 0.44 ** | 0.55 ** | ||||
| Ser | --- | 0.45 ** | 0.02 | 0.79 ** | 0.47 ** | |||||
| Thr | --- | -0.26 | 0.58 ** | 0.12 | ||||||
| Trp | --- | -0.15 | 0.29 | |||||||
| Tyr | --- | 0.32 * | ||||||||
| Val | --- | |||||||||
| 5 mM amino acid concentration | ||||||||||
| Gln | --- | 0.12 | 0.40 * | --- | 0.64 ** | 0.62 ** | 0.69 ** | --- | 0.48 ** | 0.46 ** |
| Gly | --- | 0.09 | --- | 0.40 * | 0.11 | 0.13 | --- | 0.30 | 0.05 | |
| Leu | --- | --- | 0.58 ** | 0.32 * | 0.19 | --- | 0.32 | 0.52 ** | ||
| Lys 1 | --- | --- | --- | --- | --- | --- | --- | --- | --- | --- |
| Met | --- | --- | 0.36 * | 0.58 ** | --- | 0.51 ** | 0.51 ** | |||
| Ser | --- | --- | 0.75 ** | --- | 0.14 | 0.45 ** | ||||
| Thr | --- | --- | --- | 0.26 | 0.42 ** | |||||
| Trp 1 | --- | --- | --- | --- | --- | --- | --- | --- | --- | --- |
| Tyr | --- | --- | --- | 0.37 * | ||||||
| Val | --- | --- | --- | |||||||
Disclaimer/Publisher’s Note: The statements, opinions and data contained in all publications are solely those of the individual author(s) and contributor(s) and not of MDPI and/or the editor(s). MDPI and/or the editor(s) disclaim responsibility for any injury to people or property resulting from any ideas, methods, instructions or products referred to in the content. |
© 2024 by the authors. Licensee MDPI, Basel, Switzerland. This article is an open access article distributed under the terms and conditions of the Creative Commons Attribution (CC BY) license (https://creativecommons.org/licenses/by/4.0/).
Share and Cite
Schermuly, I.I.; Romanet, S.; Patra, A.K.; Mastrototaro, L.; Lemme, A.; Pieper, R.; Zentek, J.; Aschenbach, J.R. Transport of Neutral Amino Acids in the Jejunum of Pigs with Special Consideration of L-Methionine. Nutrients 2024, 16, 3418. https://doi.org/10.3390/nu16193418
Schermuly II, Romanet S, Patra AK, Mastrototaro L, Lemme A, Pieper R, Zentek J, Aschenbach JR. Transport of Neutral Amino Acids in the Jejunum of Pigs with Special Consideration of L-Methionine. Nutrients. 2024; 16(19):3418. https://doi.org/10.3390/nu16193418
Chicago/Turabian StyleSchermuly, Isabel I., Stella Romanet, Amlan K. Patra, Lucia Mastrototaro, Andreas Lemme, Robert Pieper, Jürgen Zentek, and Jörg R. Aschenbach. 2024. "Transport of Neutral Amino Acids in the Jejunum of Pigs with Special Consideration of L-Methionine" Nutrients 16, no. 19: 3418. https://doi.org/10.3390/nu16193418
APA StyleSchermuly, I. I., Romanet, S., Patra, A. K., Mastrototaro, L., Lemme, A., Pieper, R., Zentek, J., & Aschenbach, J. R. (2024). Transport of Neutral Amino Acids in the Jejunum of Pigs with Special Consideration of L-Methionine. Nutrients, 16(19), 3418. https://doi.org/10.3390/nu16193418

