Diet Supplemented with Special Formula Milk Powder Promotes the Growth of the Brain in Rats
Abstract
1. Introduction
2. Materials and Methods
2.1. Animals
2.2. Diet
2.3. MRI Analysis of the Brain
2.4. Biological Sample Collection
2.5. Serum Extraction and ELISA
2.6. Paraffin Sides and HE Staining
2.7. Lipidomic Analysis of Brain Tissue
2.8. Detection of Protein Expression in Rat Brain Tissue by Western Blot
2.9. Statistical Analysis
3. Results
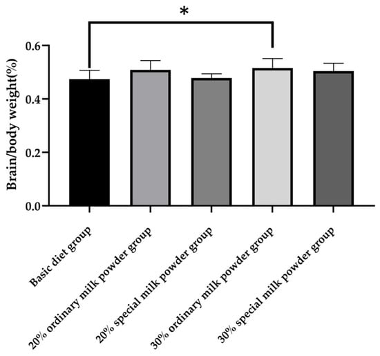
3.1. Brain/Body Weight Ratio Index of SD Rats
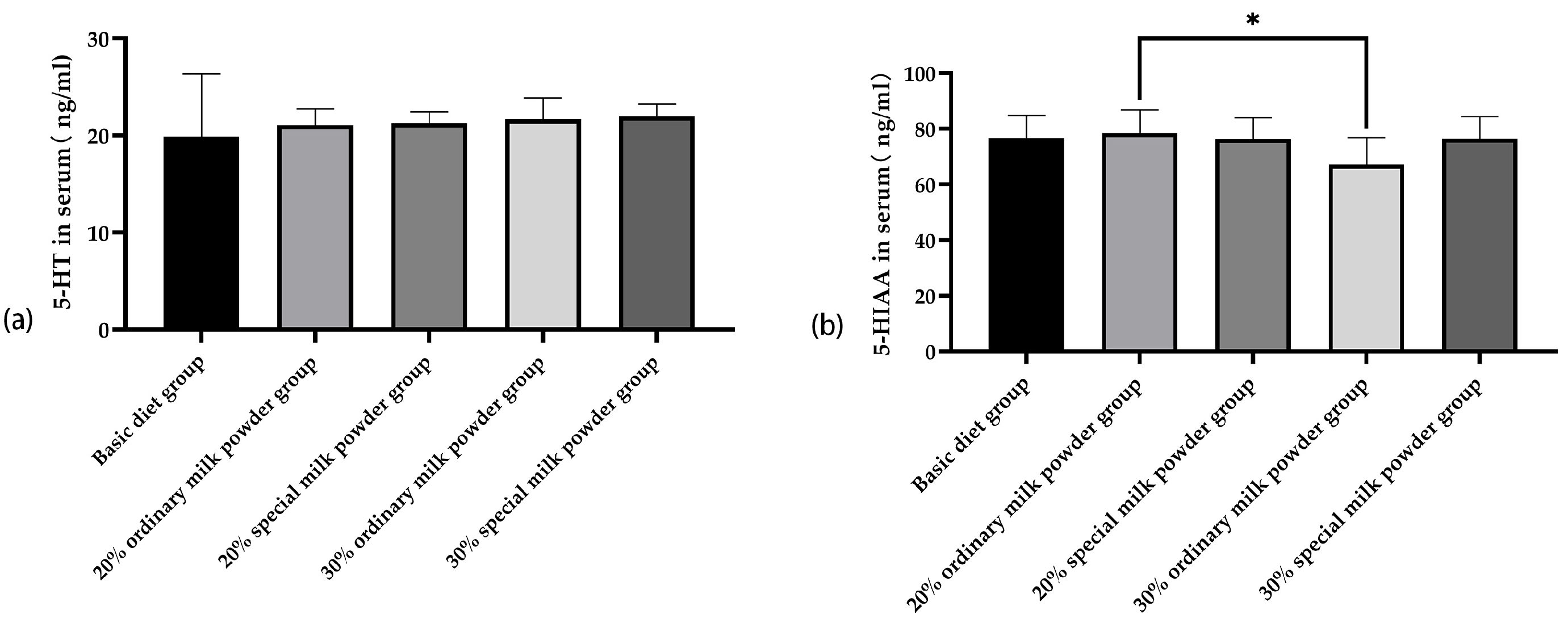
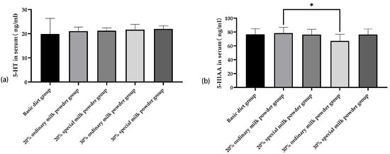
3.2. Serum 5-HT and 5-HIAA Content of SD Rats
3.3. The Structure of the Brain of SD Rats
3.4. The Lipidomics in SD Brain
3.4.1. Comparative Analysis of Lipid Metabolites in the Five Groups
3.4.2. Analysis of Samples of Five Groups Differential Lipid Metabolites
3.4.3. KEGG Pathway Analysis
3.5. Brain Tissue Protein Expression in SD Rats
4. Discussion
5. Conclusions
Author Contributions
Funding
Institutional Review Board Statement
Data Availability Statement
Conflicts of Interest
References
- Lessen, R.; Kavanagh, K. Position of the Academy of Nutrition and Dietetics: Promoting and Supporting Breastfeeding. J. Acad. Nutr. Diet. 2015, 115, 444–449. [Google Scholar] [CrossRef] [PubMed]
- Hennet, T.; Borsig, L. Breastfed at Tiffany’s. Trends Biochem. Sci. 2016, 41, 508–518. [Google Scholar] [CrossRef]
- Chowdhury, R.; Sinha, B.; Sankar, M.J.; Taneja, S.; Bhandari, N.; Rollins, N.; Bahl, R.; Martines, J. Breastfeeding and maternal health outcomes: A systematic review and meta-analysis. Acta Paediatr. 2015, 104, 96–113. [Google Scholar] [CrossRef] [PubMed]
- Martin, C.R.; Ling, P.R.; Blackburn, G.L. Review of Infant Feeding: Key Features of Breast Milk and Infant Formula. Nutrients 2016, 8, 279. [Google Scholar] [CrossRef]
- Tinghäll Nilsson, U.; Hernell, O.; Lönnerdal, B.; Hartvigsen, M.L.; Jacobsen, L.N.; Kvistgaard, A.S.; Karlsland Åkeson, P. Low-Protein Formulas with Alpha-Lactalbumin-Enriched or Glycomacropeptide-Reduced Whey: Effects on Growth, Nutrient Intake and Protein Metabolism during Early Infancy: A Randomized, Double-Blinded Controlled Trial. Nutrients 2023, 15, 1010. [Google Scholar] [CrossRef] [PubMed]
- Stevens, E.E.; Patrick, T.E.; Pickler, R. A history of infant feeding. J. Perinat. Educ. 2009, 18, 32–39. [Google Scholar] [CrossRef] [PubMed]
- Oosting, A.; Harvey, L.; Ringler, S.; van Dijk, G.; Schipper, L. Beyond ingredients: Supramolecular structure of lipid droplets in infant formula affects metabolic and brain function in mouse models. PLoS ONE 2023, 18, e0282816. [Google Scholar] [CrossRef] [PubMed]
- Nelson, C.A., 3rd; Zeanah, C.H.; Fox, N.A.; Marshall, P.J.; Smyke, A.T.; Guthrie, D. Cognitive recovery in socially deprived young children: The Bucharest Early Intervention Project. Science 2007, 318, 1937–1940. [Google Scholar] [CrossRef] [PubMed]
- Chen, Y.; Baram, T.Z. Toward Understanding How Early-Life Stress Reprograms Cognitive and Emotional Brain Networks. Neuropsychopharmacology 2016, 41, 197–206. [Google Scholar] [CrossRef]
- Osman, A.; Zuffa, S.; Walton, G.; Fagbodun, E.; Zanos, P.; Georgiou, P.; Kitchen, I.; Swann, J.; Bailey, A. Post-weaning A1/A2 β-casein milk intake modulates depressive-like behavior, brain μ-opioid receptors, and the metabolome of rats. iScience 2021, 24, 103048. [Google Scholar] [CrossRef]
- Lassi, Z.S.; Rind, F.; Irfan, O.; Hadi, R.; Das, J.K.; Bhutta, Z.A. Impact of Infant and Young Child Feeding (IYCF) Nutrition Interventions on Breastfeeding Practices, Growth and Mortality in Low- and Middle-Income Countries: Systematic Review. Nutrients 2020, 12, 722. [Google Scholar] [CrossRef]
- Schwarzenberg, S.J.; Georgieff, M.K. Advocacy for Improving Nutrition in the First 1000 Days to Support Childhood Development and Adult Health. Pediatrics 2018, 141, e20173716. [Google Scholar] [CrossRef]
- Prado, E.L.; Dewey, K.G. Nutrition and brain development in early life. Nutr. Rev. 2014, 72, 267–284. [Google Scholar] [CrossRef] [PubMed]
- Gilmore, J.H.; Knickmeyer, R.C.; Gao, W. Imaging structural and functional brain development in early childhood. Nat. Rev. Neurosci. 2018, 19, 123–137. [Google Scholar] [CrossRef] [PubMed]
- John, C.C.; Black, M.M.; Nelson, C.A., 3rd. Neurodevelopment: The Impact of Nutrition and Inflammation During Early to Middle Childhood in Low-Resource Settings. Pediatrics 2017, 139, S59–S71. [Google Scholar] [CrossRef] [PubMed]
- Cunha, A.J.; Leite, Á.J.; Almeida, I.S. The pediatrician’s role in the first thousand days of the child: The pursuit of healthy nutrition and development. J. Pediatr. (Rio J.) 2015, 91, S44–S51. [Google Scholar] [CrossRef]
- Cormack, B.E.; Harding, J.E.; Miller, S.P.; Bloomfield, F.H. The Influence of Early Nutrition on Brain Growth and Neurodevelopment in Extremely Preterm Babies: A Narrative Review. Nutrients 2019, 11, 2029. [Google Scholar] [CrossRef]
- Schirmbeck, G.H.; Sizonenko, S.; Sanches, E.F. Neuroprotective Role of Lactoferrin during Early Brain Development and Injury through Lifespan. Nutrients 2022, 14, 2923. [Google Scholar] [CrossRef]
- Daniels, M.C.; Adair, L.S. Breast-feeding influences cognitive development in Filipino children. J. Nutr. 2005, 135, 2589–2595. [Google Scholar] [CrossRef] [PubMed]
- Victora, C.G.; Barros, F.C.; Horta, B.L.; Lima, R.C. Breastfeeding and school achievement in Brazilian adolescents. Acta Paediatr. 2005, 94, 1656–1660. [Google Scholar] [CrossRef]
- Nieto-Ruiz, A.; García-Santos, J.A.; Verdejo-Román, J.; Diéguez, E.; Sepúlveda-Valbuena, N.; Herrmann, F.; Cerdó, T.; De-Castellar, R.; Jiménez, J.; Bermúdez, M.G.; et al. Infant Formula Supplemented With Milk Fat Globule Membrane, Long-Chain Polyunsaturated Fatty Acids, and Synbiotics Is Associated With Neurocognitive Function and Brain Structure of Healthy Children Aged 6 Years: The COGNIS Study. Front. Nutr. 2022, 9, 820224. [Google Scholar] [CrossRef] [PubMed]
- O’Connor, P.J.; Chen, X.; Coheley, L.M.; Yu, M.; Laing, E.M.; Oshri, A.; Marand, A.; Lance, J.; Kealey, K.; Lewis, R.D. The effects of 9 months of formulated whole-egg or milk powder food products as meal or snack replacements on executive function in preadolescents: A randomized, placebo-controlled trial. Am. J. Clin. Nutr. 2022, 116, 1663–1671. [Google Scholar] [CrossRef] [PubMed]
- Li, Y.; Yang, M.; Zhang, L.; Mao, Z.; Lin, Y.; Xu, S.; Fang, Z.; Che, L.; Feng, B.; Li, J.; et al. Dietary Fiber Supplementation in Gestating Sow Diet Improved Fetal Growth and Placental Development and Function Through Serotonin Signaling Pathway. Front. Vet. Sci. 2022, 9, 831703. [Google Scholar] [CrossRef]
- Udenfriend, S.; Titus, E.; Weissbach, H. The identification of 5-hydroxy-3-indoleacetic acid in normal urine and a method for its assay. J. Biol. Chem. 1955, 216, 499–505. [Google Scholar] [CrossRef]
- Feldman, A.T.; Wolfe, D. Tissue Processing and Hematoxylin and Eosin Staining. In Histopathology: Methods and Protocols; Day, C.E., Ed.; Springer: New York, NY, USA, 2014; pp. 31–43. [Google Scholar] [CrossRef]
- Soria, G.; De Notaris, M.; Tudela, R.; Blasco, G.; Puig, J.; Planas, A.M.; Pedraza, S.; Prats-Galino, A. Improved assessment of ex vivo brainstem neuroanatomy with high-resolution MRI and DTI at 7 Tesla. Anat. Rec. 2011, 294, 1035–1044. [Google Scholar] [CrossRef] [PubMed]
- Zhang, M.; Ye, G.; Deng, L.; Xu, S.; Wang, Y. A case of hypertrophic olivary degeneration after resection of cavernomas of the brain stem and review of the literature. Neuropsychiatr. Dis. Treat. 2015, 11, 2613–2618. [Google Scholar] [CrossRef]
- Song, K.; Liu, X.; Zheng, Q.; Zhang, L.; Zhang, H.; Yu, H.; Zhu, Y.; Huang, L.A.; Chen, Y. Secondary injury to distal regions after intracerebral hemorrhage influence neurological functional outcome. Aging 2020, 12, 4283–4298. [Google Scholar] [CrossRef] [PubMed]
- Kao, Y.C.; Li, W.; Lai, H.Y.; Oyarzabal, E.A.; Lin, W.; Shih, Y.Y. Dynamic perfusion and diffusion MRI of cortical spreading depolarization in photothrombotic ischemia. Neurobiol. Dis. 2014, 71, 131–139. [Google Scholar] [CrossRef]
- Wu, Z.; Bagarolo, G.I.; Thoröe-Boveleth, S.; Jankowski, J. “Lipidomics”: Mass spectrometric and chemometric analyses of lipids. Adv. Drug Deliv. Rev. 2020, 159, 294–307. [Google Scholar] [CrossRef]
- Stern, J.H.; Rutkowski, J.M.; Scherer, P.E. Adiponectin, Leptin, and Fatty Acids in the Maintenance of Metabolic Homeostasis through Adipose Tissue Crosstalk. Cell Metab. 2016, 23, 770–784. [Google Scholar] [CrossRef]
- Castellanos, D.B.; Martín-Jiménez, C.A.; Rojas-Rodríguez, F.; Barreto, G.E.; González, J. Brain lipidomics as a rising field in neurodegenerative contexts: Perspectives with Machine Learning approaches. Front. Neuroendocr. 2021, 61, 100899. [Google Scholar] [CrossRef]
- Tan, D.; Konduri, S.; Erikci Ertunc, M.; Zhang, P.; Wang, J.; Chang, T.; Pinto, A.F.M.; Rocha, A.; Donaldson, C.J.; Vaughan, J.M.; et al. A class of anti-inflammatory lipids decrease with aging in the central nervous system. Nat. Chem. Biol. 2023, 19, 187–197. [Google Scholar] [CrossRef]
- Lötsch, J.; Schiffmann, S.; Schmitz, K.; Brunkhorst, R.; Lerch, F.; Ferreiros, N.; Wicker, S.; Tegeder, I.; Geisslinger, G.; Ultsch, A. Machine-learning based lipid mediator serum concentration patterns allow identification of multiple sclerosis patients with high accuracy. Sci. Rep. 2018, 8, 14884. [Google Scholar] [CrossRef]
- Akyol, S.; Ugur, Z.; Yilmaz, A.; Ustun, I.; Gorti, S.K.K.; Oh, K.; McGuinness, B.; Passmore, P.; Kehoe, P.G.; Maddens, M.E.; et al. Lipid Profiling of Alzheimer’s Disease Brain Highlights Enrichment in Glycerol(phospho)lipid, and Sphingolipid Metabolism. Cells 2021, 10, 2591. [Google Scholar] [CrossRef] [PubMed]
- Nitsch, R.; Pittas, A.; Blusztajn, J.K.; Slack, B.E.; Growdon, J.H.; Wurtman, R.J. Alterations of phospholipid metabolites in postmortem brain from patients with Alzheimer’s disease. Ann. N. Y. Acad. Sci. 1991, 640, 110–113. [Google Scholar] [CrossRef] [PubMed]
- Kim, J.; Hoppel, C.L. Identification of unusual phospholipids from bovine heart mitochondria by HPLC-MS/MS. J. Lipid Res. 2020, 61, 1707–1719. [Google Scholar] [CrossRef] [PubMed]
- Falabella, M.; Vernon, H.J.; Hanna, M.G.; Claypool, S.M.; Pitceathly, R.D.S. Cardiolipin, Mitochondria, and Neurological Disease. Trends Endocrinol. Metab. 2021, 32, 224–237. [Google Scholar] [CrossRef] [PubMed]
- Pointer, C.B.; Wenzel, T.J.; Klegeris, A. Extracellular cardiolipin regulates select immune functions of microglia and microglia-like cells. Brain Res. Bull. 2019, 146, 153–163. [Google Scholar] [CrossRef]
- Igarashi, M.; Ma, K.; Gao, F.; Kim, H.-W.; Rapoport, S.I.; Rao, J.S. Disturbed Choline Plasmalogen and Phospholipid Fatty Acid Concentrations in Alzheimer’s Disease Prefrontal Cortex. J. Alzheimer’s Dis. 2011, 24, 507–517. [Google Scholar] [CrossRef] [PubMed]
- Kosicek, M.; Hecimovic, S. Phospholipids and Alzheimer’s disease: Alterations, mechanisms and potential biomarkers. Int. J. Mol. Sci. 2013, 14, 1310–1322. [Google Scholar] [CrossRef] [PubMed]
- Blusztajn, J.K.; Slack, B.E.; Mellott, T.J. Neuroprotective Actions of Dietary Choline. Nutrients 2017, 9, 815. [Google Scholar] [CrossRef]
- Kurano, M.; Saito, Y.; Uranbileg, B.; Saigusa, D.; Kano, K.; Aoki, J.; Yatomi, Y. Modulations of bioactive lipids and their receptors in postmortem Alzheimer’s disease brains. Front. Aging Neurosci. 2022, 14, 1066578. [Google Scholar] [CrossRef]
- Llano, D.A.; Devanarayan, V. Serum Phosphatidylethanolamine and Lysophosphatidylethanolamine Levels Differentiate Alzheimer’s Disease from Controls and Predict Progression from Mild Cognitive Impairment. J. Alzheimer’s Dis. 2021, 80, 311–319. [Google Scholar] [CrossRef]
- Tanaka, Y.; Waki, H.; Kon, K.; Ando, S. Gangliosides enhance KCl-induced Ca2+ influx and acetylcholine release in brain synaptosomes. Neuroreport 1997, 8, 2203–2207. [Google Scholar] [CrossRef] [PubMed]
- Park, E.J.; Suh, M.; Ramanujam, K.; Steiner, K.; Begg, D.; Clandinin, M.T. Diet-induced changes in membrane gangliosides in rat intestinal mucosa, plasma and brain. J. Pediatr. Gastroenterol. Nutr. 2005, 40, 487–495. [Google Scholar] [CrossRef] [PubMed]
- McJarrow, P.; Schnell, N.; Jumpsen, J.; Clandinin, T. Influence of dietary gangliosides on neonatal brain development. Nutr. Rev. 2009, 67, 451–463. [Google Scholar] [CrossRef] [PubMed]
- Signorelli, P.; Conte, C.; Albi, E. The Multiple Roles of Sphingomyelin in Parkinson’s Disease. Biomolecules 2021, 11, 1311. [Google Scholar] [CrossRef] [PubMed]
- Tamboli, I.Y.; Hampel, H.; Tien, N.T.; Tolksdorf, K.; Breiden, B.; Mathews, P.M.; Saftig, P.; Sandhoff, K.; Walter, J. Sphingolipid Storage Affects Autophagic Metabolism of the Amyloid Precursor Protein and Promotes Aβ Generation. J. Neurosci. 2011, 31, 1837–1849. [Google Scholar] [CrossRef]
- Deshmukh, D.S.; Flynn, T.J.; Pieringer, R.A. The biosynthesis and concentration of galactosyl diglyceride in glial and neuronal enriched fractions of actively myelinating rat brain. J. Neurochem. 1974, 22, 479–485. [Google Scholar] [CrossRef]
- Blusztajn, J.K.; Aytan, N.; Rajendiran, T.; Mellott, T.J.; Soni, T.; Burant, C.F.; Serrano, G.E.; Beach, T.G.; Lin, H.; Stein, T.D. Cerebral Gray and White Matter Monogalactosyl Diglyceride Levels Rise with the Progression of Alzheimer’s Disease. J. Alzheimer’s Dis. 2023, 95, 1623–1634. [Google Scholar] [CrossRef]
- Piccolis, M.; Bond, L.M.; Kampmann, M.; Pulimeno, P.; Chitraju, C.; Jayson, C.B.K.; Vaites, L.P.; Boland, S.; Lai, Z.W.; Gabriel, K.R.; et al. Probing the Global Cellular Responses to Lipotoxicity Caused by Saturated Fatty Acids. Mol. Cell 2019, 74, 32–44.e38. [Google Scholar] [CrossRef] [PubMed]
- Lauritzen, L.; Brambilla, P.; Mazzocchi, A.; Harsløf, L.B.; Ciappolino, V.; Agostoni, C. DHA Effects in Brain Development and Function. Nutrients 2016, 8, 6. [Google Scholar] [CrossRef] [PubMed]
- Crawford, M.A.; Sinclair, A.J.; Hall, B.; Ogundipe, E.; Wang, Y.; Bitsanis, D.; Djahanbakhch, O.B.; Harbige, L.; Ghebremeskel, K.; Golfetto, I.; et al. The imperative of arachidonic acid in early human development. Prog. Lipid Res. 2023, 91, 101222. [Google Scholar] [CrossRef] [PubMed]
- Al-Khafaji, A.H.; Jepsen, S.D.; Christensen, K.R.; Vigsnæs, L.K. The potential of human milk oligosaccharides to impact the microbiota-gut-brain axis through modulation of the gut microbiota. J. Funct. Foods 2020, 74, 104176. [Google Scholar] [CrossRef]
- Qu, Z.; Tian, P.; Wang, L.; Jin, X.; Guo, M.; Lu, J.; Zhao, J.; Chen, W.; Wang, G. Dietary Nucleotides Promote Neonatal Rat Microbiota–Gut–Brain Axis Development by Affecting Gut Microbiota Composition and Metabolic Function. J. Agric. Food Chem. 2023, 71, 19622–19637. [Google Scholar] [CrossRef] [PubMed]
- Mahmassani, H.A.; Switkowski, K.M.; Scott, T.M.; Johnson, E.J.; Rifas-Shiman, S.L.; Oken, E.; Jacques, P.F. Maternal Intake of Lutein and Zeaxanthin during Pregnancy Is Positively Associated with Offspring Verbal Intelligence and Behavior Regulation in Mid-Childhood in the Project Viva Cohort. J. Nutr. 2021, 151, 615–627. [Google Scholar] [CrossRef]
- Coley, A.A.; Gao, W.J. PSD95: A synaptic protein implicated in schizophrenia or autism? Prog. Neuropsychopharmacol. Biol. Psychiatry 2018, 82, 187–194. [Google Scholar] [CrossRef]
- Martinsen, V.; Kursula, P. Multiple sclerosis and myelin basic protein: Insights into protein disorder and disease. Amino Acids 2022, 54, 99–109. [Google Scholar] [CrossRef]
- Martin, R.; McFarland, H.F.; McFarlin, D.E. Immunological Aspects of Demyelinating Diseases. Annu. Rev. Immunol. 1992, 10, 153–187. [Google Scholar] [CrossRef]








| Special Ingredients | Special Milk Powder | Ordinary Milk Powder |
|---|---|---|
| α-linolenic acid (mg) | 260 | - |
| Selenium (μg) | 12 | - |
| choline (mg) | 120 | 42.8 |
| Manganese (μg) | 37 | - |
| inositol (mg) | 40 | 25.3 |
| taurine (mg) | 38 | 19 |
| L-carnitine (mg) | 11 | 7.8 |
| DHA (mg) | 50 | - |
| Eicosatetraenoic acid (ARA) | 85 | - |
| Galactooligosaccharide (mg) | 3 | - |
| 1,3-dioleic-2-palmitate triglyceride (g) | 4 | - |
| Lutein (g) | 210 | - |
| nucleotide (μg) | 30 | - |
| lactoferrin (mg) | 45 | - |
| casein phosphopeptides (mg) | 40 | - |
| Animal Bifidobacterium bb-12 (CFU) | 109 | - |
| Ganglioside (mg) | 67.1 | - |
| total phospholipid (mg) | 348 | - |
| Basic Diet | Ordinary Milk Powder Diet (20%) | Special Milk Powder Diet (20%) | Ordinary Milk Powder Diet (30%) | Special Milk Powder Diet (30%) | |
|---|---|---|---|---|---|
| kcal/g | 3.99 | 3.92 | 3.93 | 3.89 | 3.90 |
| Protein | 17.3 | 17.3 | 17.3 | 17.3 | 17.3 |
| Fat | 18.8 | 20.4 | 21.1 | 19.5 | 19.8 |
| Carbohydrate | 63.9 | 62.3 | 61.6 | 63.2 | 62.9 |
| Casein (g) | 20 | 15.9 | 16.5 | 13.8 | 14.7 |
| L-Cystine (g) | 0.3 | 0.3 | 0.3 | 0.3 | 0.3 |
| Corn Starch (g) | 39.7 | 27.7 | 27.2 | 21.8 | 21.0 |
| Maltodextrin (g) | 13.2 | 13.2 | 13.2 | 13.2 | 13.2 |
| Sucrose (g) | 10 | 10 | 10 | 10 | 10 |
| Cellulose (g) | 5 | 5 | 5 | 5 | 5 |
| Soybean oil (g) | 7 | 3.1 | 3 | 1.15 | 1 |
| Hydrocholine Bitartrate (g) | 0.25 | 0.25 | 0.25 | 0.25 | 0.25 |
| Mineral Mix (g) | 3.5 | 3.5 | 3.5 | 3.5 | 3.5 |
| Vitamin Mix (g) | 1 | 1 | 1 | 1 | 1 |
| Pathway ID | Pathway Description | First Category | Second Category | Number of Lipid Metabolites |
|---|---|---|---|---|
| map01100 | Metabolic pathways | Metabolism | Global and overview maps | 90 |
| map00564 | Glycerophospholipid metabolism | Metabolism | Lipid metabolism | 73 |
| map05231 | Choline metabolism in cancer | Human Diseases | Cancer: overview | 69 |
| map04723 | Retrograde endocannabinoid signaling | Organismal Systems | Nervous system | 54 |
| map04931 | Insulin resistance | Human Diseases | Endocrine and metabolic disease | 39 |
| map04975 | Fat digestion and absorption | Organismal Systems | Digestive system | 32 |
| map00561 | Glycerolipid metabolism | Metabolism | Lipid metabolism | 25 |
| map04071 | Sphingolipid signaling pathway | Environmental Information Processing | Signal transduction | 19 |
| map00600 | Sphingolipid metabolism | Metabolism | Lipid metabolism | 12 |
| map05200 | Pathways in cancer | Human Diseases | Cancer: overview | 8 |
Disclaimer/Publisher’s Note: The statements, opinions and data contained in all publications are solely those of the individual author(s) and contributor(s) and not of MDPI and/or the editor(s). MDPI and/or the editor(s) disclaim responsibility for any injury to people or property resulting from any ideas, methods, instructions or products referred to in the content. |
© 2024 by the authors. Licensee MDPI, Basel, Switzerland. This article is an open access article distributed under the terms and conditions of the Creative Commons Attribution (CC BY) license (https://creativecommons.org/licenses/by/4.0/).
Share and Cite
Mu, R.; Li, J.; Fu, Y.; Xie, Q.; Ma, W. Diet Supplemented with Special Formula Milk Powder Promotes the Growth of the Brain in Rats. Nutrients 2024, 16, 2188. https://doi.org/10.3390/nu16142188
Mu R, Li J, Fu Y, Xie Q, Ma W. Diet Supplemented with Special Formula Milk Powder Promotes the Growth of the Brain in Rats. Nutrients. 2024; 16(14):2188. https://doi.org/10.3390/nu16142188
Chicago/Turabian StyleMu, Ruiqi, Jufang Li, Yu Fu, Qinggang Xie, and Weiwei Ma. 2024. "Diet Supplemented with Special Formula Milk Powder Promotes the Growth of the Brain in Rats" Nutrients 16, no. 14: 2188. https://doi.org/10.3390/nu16142188
APA StyleMu, R., Li, J., Fu, Y., Xie, Q., & Ma, W. (2024). Diet Supplemented with Special Formula Milk Powder Promotes the Growth of the Brain in Rats. Nutrients, 16(14), 2188. https://doi.org/10.3390/nu16142188

