Mediterranean Diet Adherence, Physical Activity, and Advanced Glycation End Products in Complex PTSD: A Comprehensive Examination of Lifestyle and Cardiovascular Risk in War Veterans
Abstract
1. Introduction
2. Materials and Methods
2.1. Study Design and Participants
2.2. Procedures
2.3. Statistical Analysis
3. Results
3.1. Patients with Complex PTSD Are Less Adherent to the Mediterranean Diet
3.2. AGE-Based CV Risk Does Not Vary between Patients with PTSD and Those with Complex PTSD
3.3. Complex PTSD Has Profound Impact on Lifestyle
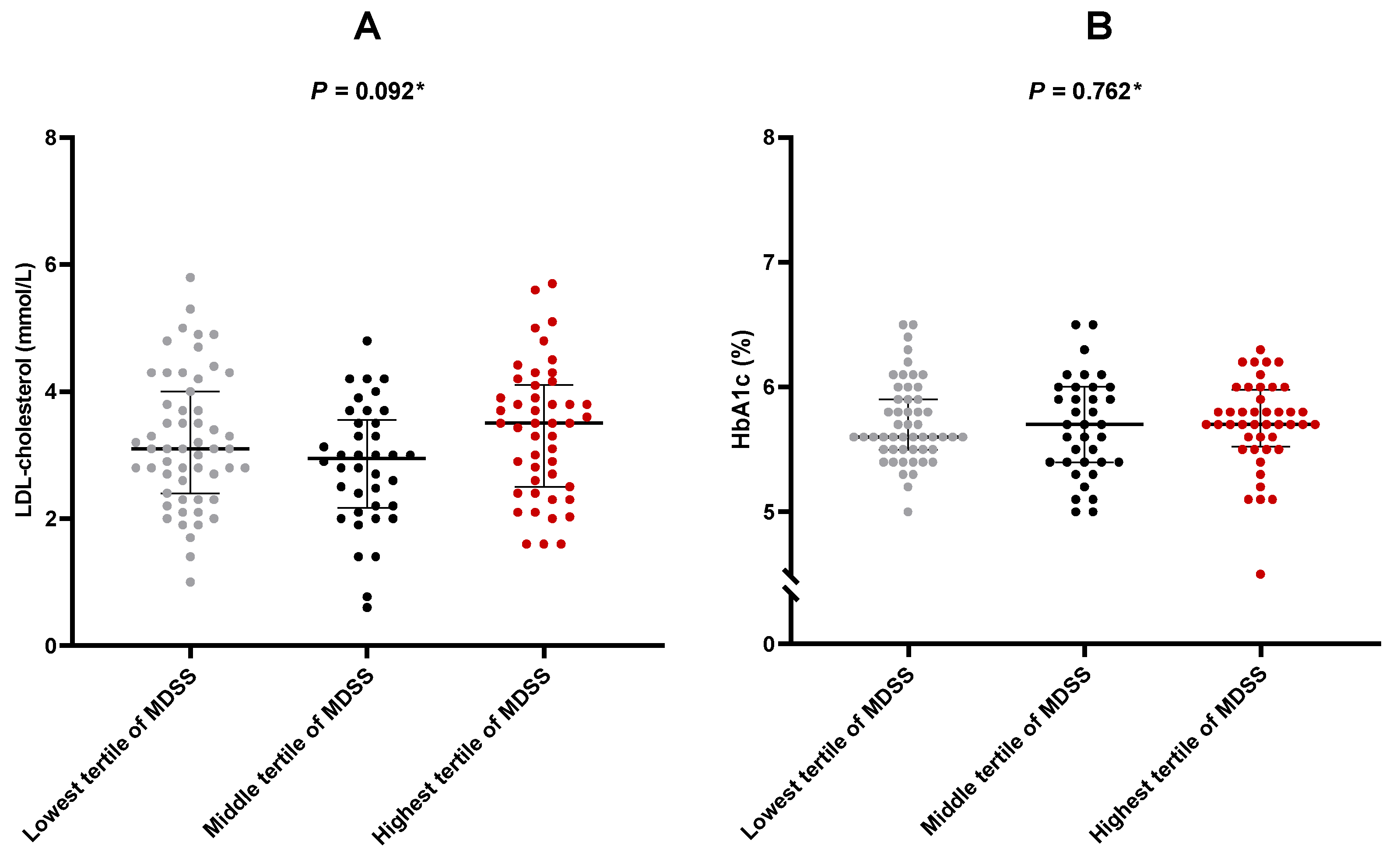
3.4. Mediterranean Diet Adherence Does Not Appear to Affect Anthropometric Parameters or Glucose and Lipid Metabolism Indices
3.5. The Presence of Complex PTSD Does Not Appear to Affect Physical Activity
4. Discussion
5. Conclusions
Author Contributions
Funding
Institutional Review Board Statement
Informed Consent Statement
Data Availability Statement
Conflicts of Interest
References
- Begić, D.; Jokić-Begić, N. Heterogeneity of posttraumatic stress disorder symptoms in Croatian war veterans: Retrospective study. Croat. Med. J. 2007, 48, 133–139. [Google Scholar] [PubMed]
- O’Donnell, C.J.; Schwartz Longacre, L.; Cohen, B.E.; Fayad, Z.A.; Gillespie, C.F.; Liberzon, I.; Pathak, G.A.; Polimanti, R.; Risbrough, V.; Ursano, R.J.; et al. Posttraumatic Stress Disorder and Cardiovascular Disease: State of the Science, Knowledge Gaps, and Research Opportunities. JAMA Cardiol. 2021, 6, 1207–1216. [Google Scholar] [CrossRef] [PubMed]
- Hargrave, A.S.; Sumner, J.A.; Ebrahimi, R.; Cohen, B.E. Posttraumatic Stress Disorder (PTSD) as a Risk Factor for Cardiovascular Disease: Implications for Future Research and Clinical Care. Curr. Cardiol. Rep. 2022, 24, 2067–2079. [Google Scholar] [CrossRef] [PubMed]
- Cohen, B.E.; Marmar, C.; Ren, L.; Bertenthal, D.; Seal, K.H. Association of cardiovascular risk factors with mental health diagnoses in Iraq and Afghanistan war veterans using VA health care. JAMA 2009, 302, 489–492. [Google Scholar] [CrossRef] [PubMed]
- Zen, A.L.; Whooley, M.A.; Zhao, S.; Cohen, B.E. Post-traumatic stress disorder is associated with poor health behaviors: Findings from the heart and soul study. Health Psychol. 2012, 31, 194–201. [Google Scholar] [CrossRef] [PubMed]
- Kim, Y.; Roberts, A.L.; Rimm, E.B.; Chibnik, L.B.; Tworoger, S.S.; Nishimi, K.M.; Sumner, J.A.; Koenen, K.C.; Kubzansky, L.D. Posttraumatic stress disorder and changes in diet quality over 20 years among US women. Psychol. Med. 2021, 51, 310–319. [Google Scholar] [CrossRef]
- Murray, S.L.; Holton, K.F. Effects of a diet low in excitotoxins on PTSD symptoms and related biomarkers. Nutr. Neurosci. 2024, 27, 1–11. [Google Scholar] [CrossRef] [PubMed]
- American Diabetes Association Professional Practice Committee. 2. Classification and Diagnosis of Diabetes: Standards of Medical Care in Diabetes-2022. Diabetes Care 2022, 45 (Suppl. S1), S17–S38. [CrossRef] [PubMed]
- Stojanović, N.M.; Randjelović, P.J.; Pavlović, D.; Stojiljković, N.I.; Jovanović, I.; Sokolović, D.; Radulović, N.S. An Impact of Psychological Stress on the Interplay between Salivary Oxidative Stress and the Classic Psychological Stress-Related Parameters. Oxid. Med. Cell Longev. 2021, 2021, 6635310. [Google Scholar] [CrossRef]
- Yao, D.; Brownlee, M. Hyperglycemia-induced reactive oxygen species increase expression of the receptor for advanced glycation end products (RAGE) and RAGE ligands. Diabetes 2010, 59, 249–255. [Google Scholar] [CrossRef]
- Gill, V.; Kumar, V.; Singh, K.; Kumar, A.; Kim, J.J. Advanced Glycation End Products (AGEs) May Be a Striking Link Between Modern Diet and Health. Biomolecules 2019, 9, 888. [Google Scholar] [CrossRef] [PubMed]
- Grahovac, M.; Kumric, M.; Vilovic, M.; Martinovic, D.; Kreso, A.; Ticinovic Kurir, T.; Vrdoljak, J.; Prizmic, K.; Božić, J. Adherence to Mediterranean diet and advanced glycation endproducts in patients with diabetes. World J. Diabetes 2021, 12, 1942–1956. [Google Scholar] [CrossRef] [PubMed]
- Harrison, J.E.; Weber, S.; Jakob, R.; Chute, C.G. ICD-11: An international classification of diseases for the twenty-first century. BMC Med. Inform. Decis. Mak. 2021, 21, 206. [Google Scholar] [CrossRef] [PubMed]
- Cloitre, M.; Hyland, P.; Prins, A.; Shevlin, M. The international trauma questionnaire (ITQ) measures reliable and clinically significant treatment-related change in PTSD and complex PTSD. Eur. J. Psychotraumatol 2021, 12, 1930961. [Google Scholar] [CrossRef] [PubMed]
- Monteagudo, C.; Mariscal-Arcas, M.; Rivas, A.; Lorenzo-Tovar, M.L.; Tur, J.A.; Olea-Serrano, F. Proposal of a Mediterranean Diet Serving Score. PLoS ONE 2015, 10, e0128594. [Google Scholar] [CrossRef] [PubMed]
- Marendić, M.; Polić, N.; Matek, H.; Oršulić, L.; Polašek, O.; Kolčić, I. Mediterranean diet assessment challenges: Validation of the Croatian Version of the 14-item Mediterranean Diet Serving Score (MDSS) Questionnaire. PLoS ONE 2021, 16, e0247269. [Google Scholar] [CrossRef] [PubMed]
- Craig, C.L.; Marshall, A.L.; Sjöström, M.; Bauman, A.E.; Booth, M.L.; Ainsworth, B.E.; Pratt, M.; Ekelund, U.; Yngve, A.; Sallis, J.F.; et al. International physical activity questionnaire: 12-country reliability and validity. Med. Sci. Sports Exerc. 2003, 35, 1381–1395. [Google Scholar] [CrossRef] [PubMed]
- Wilson, D.M.C.; Nielsen, E.; Ciliska, N. Lifestyle Assessment: Testing the FANTASTIC Instrument. Can. Fam. Physician 1984, 30, 1863–1866. [Google Scholar]
- den Dekker, M.A.; Zwiers, M.; van den Heuvel, E.R.; de Vos, L.C.; Smit, A.J.; Zeebregts, C.J.; Oudkerk, M.; Vliegenthart, R.; Lefrandt, J.D.; Mulder, D.J. Skin autofluorescence, a non-invasive marker for AGE accumulation, is associated with the degree of atherosclerosis. PLoS ONE 2013, 8, e83084. [Google Scholar] [CrossRef]
- Meerwaldt, R.; Graaff, R.; Oomen, P.H.N.; Links, T.P.; Jager, J.J.; Alderson, N.L.; Thorpe, S.R.; Baynes, J.W.; Gans, R.O.B.; Smit, A.J. Simple non-invasive assessment of advanced glycation endproduct accumulation. Diabetologia 2004, 47, 1324–1330. [Google Scholar] [CrossRef]
- Stadtmann, M.P.; Maercker, A.; Binder, J.; Schnepp, W. Why do I have to suffer? Symptom management, views and experiences of persons with a CPTSD: A grounded theory approach. BMC Psychiatry 2018, 18, 392. [Google Scholar] [CrossRef] [PubMed]
- Shiner, B.; Watts, B.V.; Pomerantz, A.; Young-Xu, Y.; Schnurr, P.P. Sensitivity of the SF-36 to PTSD symptom change in veterans. J. Trauma. Stress. 2011, 24, 111–115. [Google Scholar] [CrossRef] [PubMed]
- Mayer, A.; Mizdrak, M.; Babić, M.; Mastelić, T.; Glavina, T.; Božić, J.; Kurir, T.T. Knowledge, Attitudes, and Screening for Obstructive Sleep Apnea and Diabetes Mellitus among War Veterans Seeking Treatment of Posttraumatic Stress Disorder. Healthcare 2021, 9, 1698. [Google Scholar] [CrossRef] [PubMed]
- Yang, W.; Cui, K.; Sim, T.; Zhang, J.; Yang, Y.; Ma, X. Health-related quality of life and post-traumatic stress disorder in inpatients injured in the Ludian earthquake: A longitudinal study. Health Qual. Life Outcomes 2020, 18, 229. [Google Scholar] [CrossRef] [PubMed]
- Lehavot, K.; O’Hara, R.; Washington, D.L.; Yano, E.M.; Simpson, T.L. Posttraumatic stress disorder symptom severity and socioeconomic factors associated with veterans health administration use among women veterans. Women’s Health Issues 2015, 25, 535–541. [Google Scholar] [CrossRef] [PubMed]
- Nickerson, A.; Cloitre, M.; Bryant, R.A.; Schnyder, U.; Morina, N.; Schick, M. The factor structure of complex posttraumatic stress disorder in traumatized refugees. Eur. J. Psychotraumatol 2016, 7, 33253. [Google Scholar] [CrossRef] [PubMed]
- Li, D.; Luo, J.; Yan, X.; Liang, Y. Complex Posttraumatic Stress Disorder (CPTSD) as an Independent Diagnosis: Differences in Hedonic and Eudaimonic Well-Being between CPTSD and PTSD. Healthcare 2023, 11, 1188. [Google Scholar] [CrossRef] [PubMed]
- Bondjers, K.; Hyland, P.; Roberts, N.P.; Bisson, J.I.; Willebrand, M.; Arnberg, F.K. Validation of a clinician-administered diagnostic measure of ICD-11 PTSD and Complex PTSD: The International Trauma Interview in a Swedish sample. Eur. J. Psychotraumatol 2019, 10, 1665617. [Google Scholar] [CrossRef] [PubMed]
- Martinovic, D.; Tokic, D.; Martinovic, L.; Vilovic, M.; Vrdoljak, J.; Kumric, M.; Bukic, J.; Ticinovic Kurir, T.; Tavra, M.; Bozic, J. Adherence to Mediterranean Diet and Tendency to Orthorexia Nervosa in Professional Athletes. Nutrients 2022, 14, 237. [Google Scholar] [CrossRef]
- Martinovic, D.; Tokic, D.; Martinovic, L.; Kumric, M.; Vilovic, M.; Rusic, D.; Vrdoljak, J.; Males, I.; Ticinovic Kurir, T.; Lupi-Ferandin, S.; et al. Adherence to the Mediterranean Diet and Its Association with the Level of Physical Activity in Fitness Center Users: Croatian-Based Study. Nutrients 2021, 13, 4038. [Google Scholar] [CrossRef]
- Ke, S.; Wang, X.W.; Ratanatharathorn, A. Association of probable post-traumatic stress disorder with dietary pattern and gut microbiome in a cohort of women. Nat. Mental. Health 2023, 1, 900–913. [Google Scholar] [CrossRef]
- Esposito, K.; Kastorini, C.M.; Panagiotakos, D.B.; Giugliano, D. Mediterranean diet and weight loss: Meta-analysis of randomized controlled trials. Metab. Syndr. Relat. Disord. 2011, 9, 1–12. [Google Scholar] [CrossRef] [PubMed]
- Poulimeneas, D.; Anastasiou, C.A.; Santos, I.; Hill, J.O.; Panagiotakos, D.B.; Yannakoulia, M. Exploring the relationship between the Mediterranean diet and weight loss maintenance: The MedWeight study. Br. J. Nutr. 2020, 124, 874–880. [Google Scholar] [CrossRef] [PubMed]
- Rosenbaum, S.; Tiedemann, A.; Sherrington, C.; van der Ploeg, H.P. Assessing physical activity in people with posttraumatic stress disorder: Feasibility and concurrent validity of the International Physical Activity Questionnaire--short form and actigraph accelerometers. BMC Res. Notes 2014, 7, 576. [Google Scholar] [CrossRef] [PubMed]
- Bichler, C.S.; Niedermeier, M.; Gufler, A.; Gálffy, M.; Sperner-Unterweger, B.; Kopp, M. A case-control study on physical activity preferences, motives, and barriers in patients with psychiatric conditions. Compr. Psychiatry 2021, 111, 152276. [Google Scholar] [CrossRef] [PubMed]
- Wang, Z.; Jiang, B.; Wang, X.; Li, Z.; Wang, D.; Xue, H.; Wang, D. Relationship between physical activity and individual mental health after traumatic events: A systematic review. Eur J Psychotraumatol. 2023, 4, 2205667. [Google Scholar] [CrossRef] [PubMed]
- Edmondson, D.; von Känel, R. Post-traumatic stress disorder and cardiovascular disease. Lancet Psychiatry 2017, 4, 320–329. [Google Scholar] [CrossRef]
- Karanikas, E. Psychologically Traumatic Oxidative Stress; A Comprehensive Review of Redox Mechanisms and Related Inflammatory Implications. Psychopharmacol. Bull. 2021, 51, 65–86. [Google Scholar] [PubMed]
- Gutteridge, J.M. Lipid peroxidation and antioxidants as biomarkers of tissue damage. Clin. Chem. 1995, 41, 1819–1828. [Google Scholar] [CrossRef] [PubMed]
- Edmondson, D.; Cohen, B.E. Posttraumatic stress disorder and cardiovascular disease. Prog. Cardiovasc. Dis. 2013, 55, 548–556. [Google Scholar] [CrossRef]
- Salim, S. Oxidative stress and psychological disorders. Curr. Neuropharmacol. 2014, 12, 140–147. [Google Scholar] [CrossRef] [PubMed]
- Miller, M.W.; Sadeh, N. Traumatic stress, oxidative stress and post-traumatic stress disorder: Neurodegeneration and the accelerated-aging hypothesis. Mol. Psychiatry 2014, 19, 1156–1162. [Google Scholar] [CrossRef] [PubMed]
- Borovac Štefanović, L.; Kalinić, D.; Mimica, N.; Beer Ljubić, B.; Aladrović, J.; Mandelsamen Perica, M.; Curić, M.; Grošić, P.F.; Delaš, I. Oxidative status and the severity of clinical symptoms in patients with post-traumatic stress disorder. Ann. Clin. Biochem. 2015, 52, 95–104. [Google Scholar] [CrossRef] [PubMed]
- Rozanski, A.; Blumenthal, J.A.; Davidson, K.W.; Saab, P.G.; Kubzansky, L. The epidemiology, pathophysiology, and management of psychosocial risk factors in cardiac practice: The emerging field of behavioral cardiology. J. Am. Coll. Cardiol. 2005, 45, 637–651. [Google Scholar] [CrossRef] [PubMed]
- Bigger, J.T.; Fleiss, J.L., Jr.; Steinman, R.C.; Rolnitzky, L.M.; Kleiger, R.E.; Rottman, J.N. Frequency domain measures of heart period variability and mortality after myocardial infarction. Circulation 1992, 85, 164–171. [Google Scholar] [CrossRef] [PubMed]
- Piccirillo, G.; Magrì, D.; Matera, S.; Magnanti, M.; Torrini, A.; Pasquazzi, E.; Schifano, E.; Velitti, S.; Marigliano, V.; Quaglione, R.; et al. QT variability strongly predicts sudden cardiac death in asymptomatic subjects with mild or moderate left ventricular systolic dysfunction: A prospective study. Eur. Heart J. 2007, 28, 1344–1350. [Google Scholar] [CrossRef] [PubMed]
- Pinto, R.S.; Machado, U.F.; Passarelli, M. Advanced glycation end products as biomarkers for cardiovascular disease: Browning clarifying atherogenesis. Biomark. Med. 2020, 14, 611–614. [Google Scholar] [CrossRef]
- Rungratanawanich, W.; Qu, Y.; Wang, X.; Essa, M.M.; Song, B.J. Advanced glycation end products (AGEs) and other adducts in aging-related diseases and alcohol-mediated tissue injury. Exp. Mol. Med. 2021, 53, 168–188. [Google Scholar] [CrossRef]





| Parameter | Total Population (n = 137) | PTSD Group (n = 48) | Complex PTSD Group (n = 89) | p * |
|---|---|---|---|---|
| Age, years | 57.1 ± 5.6 | 57.5 ± 6.2 | 56.9 ± 5.4 | 0.559 |
| Body mass index, kg/m2 | 28.4 ± 4.0 | 28.3 ± 4.3 | 28.5 ± 3.8 | 0.862 |
| Waist-to-hip ratio | 0.97 ± 0.06 | 0.95 ± 0.06 | 0.98 ± 0.06 | 0.095 |
| Body fat, % | 26.1 ± 5.2 | 26.4 ± 5.4 | 26.0 ± 5.1 | 0.692 |
| Visceral fat, % | 13.4 ± 3.4 | 13.7 ± 3.9 | 13.2 ± 3.2 | 0.478 |
| Phase angle, ° | 5.5 ± 1.4 | 5.5 ± 1.2 | 5.5 ± 1.5 | 0.938 |
| Hemoglobin A1c, % | 5.8 ± 0.4 | 5.7 ± 0.4 | 5.8 ± 0.4 | 0.309 |
| Total cholesterol, mmol/L | 5.4 ± 1.2 | 5.6 ± 1.3 | 5.3 ± 1.1 | 0.100 |
| LDL-C, mmol/L | 3.2 ± 1.0 | 3.4 ± 1.1 | 3.1 ± 1.0 | 0.184 |
| HDL-C, mmol/L | 1.2 (1.0–1.5) | 1.3 (1.1–1.6) | 1.2 (1.0–1.4) | 0.266 |
| Triglycerides, mmol/L | 1.5 (1.1–2.2) | 1.4 (1.0–1.8) | 1.7 (1.1–2.3) | 0.284 |
| Smoking, n (%) | 61 (44.5) | 18 (37.5) | 43 (48.3) | 0.226 |
| Alcohol **, n (%) | 76 (55.5) | 30 (62.5) | 46 (51.7) | 0.226 |
| Hypertension, n (%) | 88 (64.2) | 30 (62.5) | 58 (65.2) | 0.757 |
| Socioeconomic status, n (%) | ||||
| Low | 51 (37.2) | 13 (27.1) | 38 (42.7) | 0.174 |
| Average | 6 (4.4) | 32 (66.7) | 3 (3.4) | |
| Above average | 80 (58.4) | 3 (6.2) | 48 (53.9) | |
| Work status, n (%) | ||||
| Employed | 45 (32.8) | 11 (22.9) | 31 (34.8) | 0.007 |
| Unemployed | 42 (30.7) | 11 (22.9) | 34 (38.2) | |
| Retired | 50 (36.5) | 26 (54.2) | 24 (27.0) | |
| Education, n (%) | ||||
| Elementary school | 23 (16.8) | 10 (20.8) | 13 (14.6) | |
| High school | 98 (71.5) | 32 (66.7) | 66 (74.2) | 0.604 |
| Higher education | 16 (11.7) | 6 (12.5) | 10 (11.2) | |
| Treatment duration, years | 12.8 ± 9.7 | 12.3 ± 9.3 | 13.0 ± 9.9 | 0.682 |
| Time spent in war, years | 2.4 (1.0–3.5) | 2.6 (1.4–4.5) | 1.9 (1.0–1.3) | 0.034 |
| Parameter | Total Population (n = 137) | PTSD Group (n = 48) | CPTSD Group (n = 89) | p * |
|---|---|---|---|---|
| Cereals, n (%) | 66 (48.2) | 26 (54.2) | 40 (45.0) | 0.304 |
| Potato, n (%) | 108 (78.8) | 38 (79.2) | 70 (78.7) | 0.944 |
| Olive oil, n (%) | 22 (16.1) | 8 (16.7) | 14 (15.7) | 0.887 |
| Nuts, n (%) | 24 (17.5) | 9 (18.8) | 15 (16.9) | 0.781 |
| Fresh fruit, n (%) | 16 (11.7) | 5 (10.4) | 11 (12.4) | 0.736 |
| Vegetables, n (%) | 16 (11.7) | 12 (25.0) | 4 (4.5) | <0.001 |
| Milk and dairy products, n (%) | 24 (17.5) | 7 (14.6) | 17 (19.1) | 0.509 |
| Legumes, n (%) | 13 (9.5) | 4 (8.3) | 9 (10.1) | 0.736 |
| Eggs, n (%) | 70 (51.1) | 23 (47.9) | 47 (52.8) | 0.586 |
| Fish, n (%) | 97 (70.8) | 35 (72.9) | 62 (69.7) | 0.691 |
| White meat, n (%) | 49 (35.8) | 12 (25.0) | 37 (41.6) | 0.054 |
| Red meat, n (%) | 34 (24.8) | 12 (25.0) | 22 (24.7) | 0.971 |
| Sweets, n (%) | 65 (47.4) | 21 (43.8) | 44 (49.4) | 0.526 |
| Wine, n (%) | 44 (32.1) | 19 (39.6) | 25 (28.1) | 0.171 |
Disclaimer/Publisher’s Note: The statements, opinions and data contained in all publications are solely those of the individual author(s) and contributor(s) and not of MDPI and/or the editor(s). MDPI and/or the editor(s) disclaim responsibility for any injury to people or property resulting from any ideas, methods, instructions or products referred to in the content. |
© 2024 by the authors. Licensee MDPI, Basel, Switzerland. This article is an open access article distributed under the terms and conditions of the Creative Commons Attribution (CC BY) license (https://creativecommons.org/licenses/by/4.0/).
Share and Cite
Puljiz, Z.; Kumric, M.; Borovina Marasovic, T.; Mastelic, T.; Rakusic, M.; Pavela, G.; Beg, A.; Glavina, T.; Mornar, M.; Supe Domic, D.; et al. Mediterranean Diet Adherence, Physical Activity, and Advanced Glycation End Products in Complex PTSD: A Comprehensive Examination of Lifestyle and Cardiovascular Risk in War Veterans. Nutrients 2024, 16, 1791. https://doi.org/10.3390/nu16111791
Puljiz Z, Kumric M, Borovina Marasovic T, Mastelic T, Rakusic M, Pavela G, Beg A, Glavina T, Mornar M, Supe Domic D, et al. Mediterranean Diet Adherence, Physical Activity, and Advanced Glycation End Products in Complex PTSD: A Comprehensive Examination of Lifestyle and Cardiovascular Risk in War Veterans. Nutrients. 2024; 16(11):1791. https://doi.org/10.3390/nu16111791
Chicago/Turabian StylePuljiz, Zivana, Marko Kumric, Tonka Borovina Marasovic, Tonci Mastelic, Mihaela Rakusic, Goran Pavela, Andelko Beg, Trpimir Glavina, Marin Mornar, Daniela Supe Domic, and et al. 2024. "Mediterranean Diet Adherence, Physical Activity, and Advanced Glycation End Products in Complex PTSD: A Comprehensive Examination of Lifestyle and Cardiovascular Risk in War Veterans" Nutrients 16, no. 11: 1791. https://doi.org/10.3390/nu16111791
APA StylePuljiz, Z., Kumric, M., Borovina Marasovic, T., Mastelic, T., Rakusic, M., Pavela, G., Beg, A., Glavina, T., Mornar, M., Supe Domic, D., Vilovic, M., Zucko, J., Ticinovic Kurir, T., & Bozic, J. (2024). Mediterranean Diet Adherence, Physical Activity, and Advanced Glycation End Products in Complex PTSD: A Comprehensive Examination of Lifestyle and Cardiovascular Risk in War Veterans. Nutrients, 16(11), 1791. https://doi.org/10.3390/nu16111791

