Serum Interleukin 6, Controlling Nutritional Status (CONUT) Score and Phase Angle in Patients with Crohn’s Disease
Abstract
1. Introduction
2. Materials and Methods
2.1. Design and Study Population
2.2. Inflammatory Markers
2.3. Nutritional Screening Risk Tool: CONUT Score
2.4. Nutritional Assessment
2.5. Statistical Analysis
3. Results
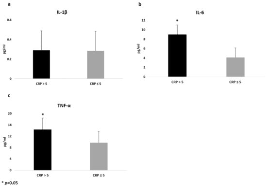
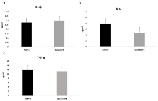
3.1. Cytokines Assessment According to CDAI and CRP Levels
Correlation Coefficients between Cytokines, CRP and Nutritional Indicators
3.2. CONUT Score
3.2.1. Comparison of CDAI and Nutritional Indicators in CD Patients According to CONUT Score
3.2.2. Comparison of Inflammatory Markers in CD Patients According to CONUT Score
3.3. Predictors of Malnutrition Risk Based on CONUT Score
4. Discussion
4.1. Strengths and Future Perspectives
4.2. Limitations
5. Conclusions
Supplementary Materials
Author Contributions
Funding
Institutional Review Board Statement
Informed Consent Statement
Data Availability Statement
Acknowledgments
Conflicts of Interest
References
- Castiglione, F.; Imperatore, N.; Testa, A.; De Palma, G.D.; Nardone, O.M.; Pellegrini, L.; Caporaso, N.; Rispo, A. One-Year Clinical Outcomes with Biologics in Crohn’s Disease: Transmural Healing Compared with Mucosal or No Healing. Aliment. Pharm. Ther. 2019, 49, 1026–1039. [Google Scholar] [CrossRef] [PubMed]
- Rispo, A.; Imperatore, N.; Testa, A.; Mainenti, P.; De Palma, G.D.; Luglio, G.; Maurea, S.; Nardone, O.M.; Caporaso, N.; Castiglione, F. Bowel Damage in Crohn’s Disease: Direct Comparison of Ultrasonography-Based and Magnetic Resonance-Based Lemann Index. Inflamm. Bowel Dis. 2017, 23, 143–151. [Google Scholar] [CrossRef] [PubMed]
- Torres, J.; Bonovas, S.; Doherty, G.; Kucharzik, T.; Gisbert, J.P.; Raine, T.; Adamina, M.; Armuzzi, A.; Bachmann, O.; Bager, P.; et al. ECCO Guidelines on Therapeutics in Crohn’s Disease: Medical Treatment. J. Crohn’s Colitis 2020, 14, 4–22. [Google Scholar] [CrossRef] [PubMed]
- Turner, M.D.; Nedjai, B.; Hurst, T.; Pennington, D.J. Cytokines and Chemokines: At the Crossroads of Cell Signalling and Inflammatory Disease. Biochim. Biophys. Acta (BBA)—Mol. Cell Res. 2014, 1843, 2563–2582. [Google Scholar] [CrossRef]
- Nikolaus, S.; Waetzig, G.H.; Butzin, S.; Ziolkiewicz, M.; Al-Massad, N.; Thieme, F.; Lövgren, U.; Rasmussen, B.B.; Reinheimer, T.M.; Seegert, D.; et al. Evaluation of Interleukin-6 and Its Soluble Receptor Components SIL-6R and Sgp130 as Markers of Inflammation in Inflammatory Bowel Diseases. Int. J. Color. Dis. 2018, 33, 927–936. [Google Scholar] [CrossRef]
- Vasilyeva, E.; Abdulkhakov, S.; Cherepnev, G.; Martynova, E.; Mayanskaya, I.; Valeeva, A.; Abdulkhakov, R.; Safina, D.; Khaiboullina, S.; Rizvanov, A. Serum Cytokine Profiles in Children with Crohn’s Disease. Mediat. Inflamm. 2016, 2016, 7420127. [Google Scholar] [CrossRef]
- Xue, X.; Falcon, D.M. The Role of Immune Cells and Cytokines in Intestinal Wound Healing. Int. J. Mol. Sci. 2019, 20, 6097. [Google Scholar] [CrossRef]
- Thia, K.T.; Sandborn, W.J.; Harmsen, W.S.; Zinsmeister, A.R.; Loftus, E.V. Risk Factors Associated with Progression to Intestinal Complications of Crohn’s Disease in a Population-Based Cohort. Gastroenterology 2010, 139, 1147–1155. [Google Scholar] [CrossRef]
- Vavricka, S.R.; Spigaglia, S.M.; Rogler, G.; Pittet, V.; Michetti, P.; Felley, C.; Mottet, C.; Braegger, C.P.; Rogler, D.; Straumann, A.; et al. Systematic Evaluation of Risk Factors for Diagnostic Delay in Inflammatory Bowel Disease. Inflamm. Bowel Dis. 2012, 18, 496–505. [Google Scholar] [CrossRef]
- Liu, D.-J.; Zahariev, F.; Gordon, M.S.; Evans, J.W. Predictive Beyond-Mean-Field Rate Equations for Multisite Lattice-Gas Models of Catalytic Surface Reactions: CO Oxidation on Pd (100). J. Phys. Chem. C 2016, 120, 28639–28653. [Google Scholar] [CrossRef]
- Lochhead, P.; Khalili, H.; Ananthakrishnan, A.N.; Richter, J.M.; Chan, A.T. Association Between Circulating Levels of C-Reactive Protein and Interleukin-6 and Risk of Inflammatory Bowel Disease. Clin. Gastroenterol. Hepatol. 2016, 14, 818–824.e6. [Google Scholar] [CrossRef]
- Pawłowska-Kamieniak, A.; Krawiec, P.; Pac-Kożuchowska, E. Interleukin 6: Biological Significance and Role in Inflammatory Bowel Diseases. Adv. Clin. Exp. Med. 2021, 30, 465–469. [Google Scholar] [CrossRef]
- Takac, B.; Mihaljević, S.; Stefanić, M.; Glavas-Obrovac, L.; Kibel, A.; Samardzija, M. Importance of Interleukin 6 in Pathogenesis of Inflammatory Bowel Disease. Coll. Antropol. 2014, 38, 659–664. [Google Scholar]
- Santarpia, L.; Alfonsi, L.; Castiglione, F.; Pagano, M.C.; Cioffi, I.; Rispo, A.; Sodo, M.; Contaldo, F.; Pasanisi, F. Nutritional Rehabilitation in Patients with Malnutrition Due to Crohn’s Disease. Nutrients 2019, 11, 2947. [Google Scholar] [CrossRef]
- Sammarco, R.; Marra, M.; Pagano, M.C.; Alfonsi, L.; Santarpia, L.; Cioffi, I.; Contaldo, F.; Pasanisi, F. Resting Energy Expenditure in Adult Patients with Crohn’s Disease. Clin. Nutr. 2017, 36, 467–470. [Google Scholar] [CrossRef]
- Cioffi, I.; Imperatore, N.; Di Vincenzo, O.; Pagano, M.C.; Santarpia, L.; Pellegrini, L.; Testa, A.; Marra, M.; Contaldo, F.; Castiglione, F.; et al. Evaluation of Nutritional Adequacy in Adult Patients with Crohn’s Disease: A Cross-Sectional Study. Eur. J. Nutr. 2020, 59, 3647–3658. [Google Scholar] [CrossRef]
- Marra, M.; Cioffi, I.; Morlino, D.; Di Vincenzo, O.; Pagano, M.C.; Imperatore, N.; Alfonsi, L.; Santarpia, L.; Castiglione, F.; Scalfi, L.; et al. New Predictive Equations for Estimating Resting Energy Expenditure in Adults With Crohn’s Diseases. J. Parenter. Enter. Nutr. 2020, 44, 1021–1028. [Google Scholar] [CrossRef]
- Cioffi, I.; Imperatore, N.; Di Vincenzo, O.; Santarpia, L.; Rispo, A.; Marra, M.; Testa, A.; Contaldo, F.; Castiglione, F.; Pasanisi, F. Association between Health-Related Quality of Life and Nutritional Status in Adult Patients with Crohn’s Disease. Nutrients 2020, 12, 746. [Google Scholar] [CrossRef]
- Ignacio de Ulíbarri, J.; González-Madroño, A.; de Villar, N.G.P.; González, P.; González, B.; Mancha, A.; Rodríguez, F.; Fernández, G. CONUT: A Tool for Controlling Nutritional Status. First Validation in a Hospital Population. Nutr. Hosp. 2005, 20, 38–45. [Google Scholar]
- Takagi, K.; Domagala, P.; Polak, W.G.; Buettner, S.; Ijzermans, J.N.M. The Controlling Nutritional Status Score and Postoperative Complication Risk in Gastrointestinal and Hepatopancreatobiliary Surgical Oncology: A Systematic Review and Meta-Analysis. Ann. Nutr. Metab. 2019, 74, 303–312. [Google Scholar] [CrossRef]
- Li, L.; Liu, C.; Yang, J.; Wu, H.; Wen, T.; Wang, W.; Li, B.; Yan, L. Early Postoperative Controlling Nutritional Status (CONUT) Score Is Associated with Complication III-V after Hepatectomy in Hepatocellular Carcinoma: A Retrospective Cohort Study of 1334 Patients. Sci. Rep. 2018, 8, 13406. [Google Scholar] [CrossRef] [PubMed]
- Dong, X.; Tang, S.; Liu, W.; Qi, W.; Ye, L.; Yang, X.; Ge, X.; Zhou, W. Prognostic Significance of the Controlling Nutritional Status (CONUT) Score in Predicting Postoperative Complications in Patients with Crohn’s Disease. Sci. Rep. 2020, 10, 19040. [Google Scholar] [CrossRef] [PubMed]
- Bamba, S.; Sasaki, M.; Takaoka, A.; Takahashi, K.; Imaeda, H.; Nishida, A.; Inatomi, O.; Sugimoto, M.; Andoh, A. Sarcopenia Is a Predictive Factor for Intestinal Resection in Admitted Patients with Crohn’s Disease. PLoS ONE 2017, 12, e0180036. [Google Scholar] [CrossRef] [PubMed]
- Cioffi, I.; Marra, M.; Imperatore, N.; Pagano, M.C.; Santarpia, L.; Alfonsi, L.; Testa, A.; Sammarco, R.; Contaldo, F.; Castiglione, F.; et al. Assessment of Bioelectrical Phase Angle as a Predictor of Nutritional Status in Patients with Crohn’s Disease: A Cross Sectional Study. Clin. Nutr. 2020, 39, 1564–1571. [Google Scholar] [CrossRef]
- Kyle, U. Bioelectrical Impedance Analysis? Part I: Review of Principles and Methods. Clin. Nutr. 2004, 23, 1226–1243. [Google Scholar] [CrossRef]
- Kushner, R.F. Bioelectrical Impedance Analysis: A Review of Principles and Applications. J. Am. Coll. Nutr. 1992, 11, 199–209. [Google Scholar] [CrossRef]
- Maaser, C.; Sturm, A.; Vavricka, S.R.; Kucharzik, T.; Fiorino, G.; Annese, V.; Calabrese, E.; Baumgart, D.C.; Bettenworth, D.; Borralho Nunes, P.; et al. ECCO-ESGAR Guideline for Diagnostic Assessment in IBD Part 1: Initial Diagnosis, Monitoring of Known IBD, Detection of Complications. J. Crohn’s Colitis 2019, 13, 144–164. [Google Scholar] [CrossRef]
- Chen, P.; Zhou, G.; Lin, J.; Li, L.; Zeng, Z.; Chen, M.; Zhang, S. Serum Biomarkers for Inflammatory Bowel Disease. Front. Med. 2020, 7, 123. [Google Scholar] [CrossRef]
- Xie, T.; Zhao, C.; Ding, C.; Zhang, L.; Cheng, M.; Chun, C.; Yu, W.; Gong, J.; Zhu, W. Postoperative Interleukin-6 Predicts Intra-Abdominal Septic Complications at an Early Stage After Elective Intestinal Operation for Crohn’s Disease Patients. Inflamm. Bowel Dis. 2018, 24, 1992–2000. [Google Scholar] [CrossRef]
- Hirano, T. Revisiting the 1986 Molecular Cloning of Interleukin 6. Front Immunol. 2014, 5, 456. [Google Scholar] [CrossRef]
- Hirano, T.; Yasukawa, K.; Harada, H.; Taga, T.; Watanabe, Y.; Matsuda, T.; Kashiwamura, S.; Nakajima, K.; Koyama, K.; Iwamatsu, A. Complementary DNA for a Novel Human Interleukin (BSF-2) That Induces B Lymphocytes to Produce Immunoglobulin. Nature 1986, 324, 73–76. [Google Scholar] [CrossRef]
- Ganter, U.; Arcone, R.; Toniatti, C.; Morrone, G.; Ciliberto, G. Dual Control of C-Reactive Protein Gene Expression by Interleukin-1 and Interleukin-6. EMBO J. 1989, 8, 3773–3779. [Google Scholar] [CrossRef]
- Mahida, Y.R.; Kurlac, L.; Gallagher, A.; Hawkey, C.J. High Circulating Concentrations of Interleukin-6 in Active Crohn’s Disease but Not Ulcerative Colitis. Gut 1991, 32, 1531–1534. [Google Scholar] [CrossRef]
- Hyams, J.S.; Fitzgerald, J.E.; Treem, W.R.; Wyzga, N.; Kreutzer, D.L. Relationship of Functional and Antigenic Interleukin 6 to Disease Activity in Inflammatory Bowel Disease. Gastroenterology 1993, 104, 1285–1292. [Google Scholar] [CrossRef]
- Nancey, S.; Hamzaoui, N.; Moussata, D.; Graber, I.; Bienvenu, J.; Flourie, B. Serum Interleukin-6, Soluble Interleukin-6 Receptor and Crohn’s Disease Activity. Dig. Dis. Sci. 2008, 53, 242–247. [Google Scholar] [CrossRef]
- Avdagić, N.; Babić, N.; Šeremet, M.; Delić-Šarac, M.; Drače, Z.; Denjalić, A.; Nakaš-Ićindić, E. Tumor Necrosis Factor-Alpha Serum Level in Assessment of Disease Activity in Inflammatory Bowel Diseases. Med. Glas. (Zenica) 2013, 10, 211–216. [Google Scholar]
- Bischoff, S.C.; Bager, P.; Escher, J.; Forbes, A.; Hébuterne, X.; Hvas, C.L.; Joly, F.; Klek, S.; Krznaric, Z.; Ockenga, J.; et al. ESPEN Guideline on Clinical Nutrition in Inflammatory Bowel Disease. Clin. Nutr. 2023, 42, 352–379. [Google Scholar] [CrossRef]
- Cederholm, T.; Barazzoni, R.; Austin, P.; Ballmer, P.; Biolo, G.; Bischoff, S.C.; Compher, C.; Correia, I.; Higashiguchi, T.; Holst, M.; et al. ESPEN Guidelines on Definitions and Terminology of Clinical Nutrition. Clin. Nutr. 2017, 36, 49–64. [Google Scholar] [CrossRef]
- Cederholm, T.; Bosaeus, I.; Barazzoni, R.; Bauer, J.; Van Gossum, A.; Klek, S.; Muscaritoli, M.; Nyulasi, I.; Ockenga, J.; Schneider, S.M.; et al. Diagnostic Criteria for Malnutrition—An ESPEN Consensus Statement. Clin. Nutr. 2015, 34, 335–340. [Google Scholar] [CrossRef]
- Di Vincenzo, O.; Luisi, M.L.E.; Alicante, P.; Ballarin, G.; Biffi, B.; Gheri, C.F.; Scalfi, L. The Assessment of the Risk of Malnutrition (Undernutrition) in Stroke Patients. Nutrients 2023, 15, 683. [Google Scholar] [CrossRef]
- Akkuzu, M.Z.; Altıntaş, E.; Yaraş, S.; Sezgin, O.; Ateş, F.; Üçbilek, E.; Özdoğan, O. Controlling Nutritional Status (CONUT) Score and Prognostic Nutritional Index (PNI) Are Good Candidates for Prognostic Markers for Acute Pancreatitis. Medicina (Kaunas) 2022, 59, 70. [Google Scholar] [CrossRef] [PubMed]
- Sargento, L.; Longo, S.; Lousada, N.; dos Reis, R.P. The Importance of Assessing Nutritional Status in Elderly Patients with Heart Failure. Curr. Heart Fail. Rep. 2014, 11, 220–226. [Google Scholar] [CrossRef] [PubMed]
- Forrest, L.M.; McMillan, D.C.; McArdle, C.S.; Angerson, W.J.; Dunlop, D.J. Evaluation of Cumulative Prognostic Scores Based on the Systemic Inflammatory Response in Patients with Inoperable Non-Small-Cell Lung Cancer. Br. J. Cancer 2003, 89, 1028–1030. [Google Scholar] [CrossRef] [PubMed]
- Mitani, A.; Iwai, T.; Shichinohe, T.; Takeda, H.; Kumagai, S.; Nishida, M.; Sugita, J.; Teshima, T. The Combined Usage of the Global Leadership Initiative on Malnutrition Criteria and Controlling Nutrition Status Score in Acute Care Hospitals. Ann. Nutr. Metab. 2021, 77, 178–184. [Google Scholar] [CrossRef] [PubMed]
- Morlino, D.; Cioffi, I.; Marra, M.; Di Vincenzo, O.; Scalfi, L.; Pasanisi, F. Bioelectrical Phase Angle in Patients with Breast Cancer: A Systematic Review. Cancers 2022, 14, 2002. [Google Scholar] [CrossRef]
- Di Vincenzo, O.; Marra, M.; Antognozzi, V.; Sammarco, R.; Ballarin, G.; Cioffi, I.; Scalfi, L.; Pasanisi, F. Comparison of Bioelectrical Impedance Analysis-Derived Phase Angle in Individuals with Different Weight Status. Nutrition 2023, 108, 111960. [Google Scholar] [CrossRef]
- Peng, Z.; Xu, D.; Li, Y.; Peng, Y.; Liu, X. Phase Angle as a Comprehensive Tool for Nutritional Monitoring and Management in Patients with Crohn’s Disease. Nutrients 2022, 14, 2260. [Google Scholar] [CrossRef]
- Norman, K.; Stobäus, N.; Pirlich, M.; Bosy-Westphal, A. Bioelectrical Phase Angle and Impedance Vector Analysis—Clinical Relevance and Applicability of Impedance Parameters. Clin. Nutr. 2012, 31, 854–886. [Google Scholar] [CrossRef]
- Tomeleri, C.M.; Cavalcante, E.F.; Antunes, M.; Nabuco, H.C.G.; de Souza, M.F.; Teixeira, D.C.; Gobbo, L.A.; Silva, A.M.; Cyrino, E.S. Phase Angle Is Moderately Associated With Muscle Quality and Functional Capacity, Independent of Age and Body Composition in Older Women. J. Geriatr. Phys. Ther. 2019, 42, 281–286. [Google Scholar] [CrossRef]
- Da Silva, B.R.; Gonzalez, M.C.; Cereda, E.; Prado, C.M. Exploring the Potential Role of Phase Angle as a Marker of Oxidative Stress: A Narrative Review. Nutrition 2022, 93, 111493. [Google Scholar] [CrossRef]



| Total | Men | Women | |
|---|---|---|---|
| N, (%) | 140 (100) | 82 (58.6) | 58 (41.4) |
| Age, y (mean ± SD) | 38.8 ± 14.0 | 38.1 ± 13.8 | 39.9 ± 14.4 |
| Body weight, kg (mean ± SD) | 64.9 ± 12.0 | 69.8 ± 10.2 | 58.0 ± 11.1 ** |
| BMI, n (%) | |||
| <18.5 kg/m2 | 9 (6.4) | 1 (1.2) | 8 (13.8) |
| 18.5–24.9 kg/m2 | 102 (72.9) | 66 (80.5) | 36 (62.1) |
| 25-29.9 kg/m2 | 21 (15) | 12 (14.6) | 9 (15.5) |
| >30 kg/m2 | 8 (5.7) | 3 (3.7) | 5 (8.6) |
| BIA variables, mean ± SD | |||
| FFM, kg | 49.2 ± 10.2 | 56.0 ± 6.47 | 39.6 ± 5.86 ** |
| FM kg | 15.7 ± 8.10 | 13.7 ± 7.43 | 18.5 ± 8.24 ** |
| FM, % | 23.9 ± 10.4 | 19.0 ± 8.36 | 30.9 ± 8.93 ** |
| PhA, degrees | 6.36± 0.94 | 6.80 ± 0.89 | 5.72 ± 0.59 ** |
| CRP, mg/L, median (IQR) | 3.15 (8.0) | 3.1 (9.4) | 3.1 (7.1) |
| Cytokines, pg/L, median (IQR) | |||
| IL-1β | 0.16 (0.25) | 0.13 (0.27) | 0.18 (0.21) * |
| IL-6 | 3.47 (5.8) | 3.84 (6.1) | 3.15 (3.0) * |
| TNF-α | 10.4 (4.7) | 10.3 (4.2) | 10.4 (5.3) |
| Previous surgery, n (%) | 74 (52.9) | 41 (50.0) | 33 (56.9) |
| Mean duration, y [median; range] | 8.80 [0.5–36] | 9.01 [1–30] | 8.52 [0.5–36] |
| Clinical activity, n (%) | |||
| CDAI < 150 | 78 (55.7) | 50 (61) | 28 (48.3) |
| >150 CDAI <450 | 62 (44.3) | 32 (39) | 30 (51.7) |
| Montreal age at diagnosis, n (%) | |||
| A1: <16 y | 26 (18.6) | 17 (20.7) | 9 (15.5) |
| A2: 17–40 y | 93 (66.4) | 53 (64.6) | 40 (69.0) |
| A3: >40 y | 21 (15.0) | 12 (14.6) | 9 (15.5) |
| Montreal disease location, n (%) | |||
| L1: Ileum | 46 (32.9) | 28 (34.1) | 18 (31.0) |
| L2: Colon | 11 (7.9) | 10 (12.2) | 1 (1.7) |
| L3: Ileum and colon | 80 (57.1) | 42 (51.2) | 38 (65.5) |
| L4: Upper GI tract | 3 (2.1) | 2 (2.4) | 1 (1.7) |
| Montreal disease behaviour, n (%) | |||
| B1: Inflammatory | 37 (26.4) | 27 (32.9) | 10 (17.2) |
| B2: Stricturing | 76 (54.3) | 43 (52.4) | 33 (56.9) |
| B3: Penetrating | 27 (19.3) | 12 (14.6) | 15 (25.9) |
| Medications, n (%) | |||
| None | 43 (30.7) | 23 (28.0) | 20 (34.5) |
| 5-ASA | 24 (17.1) | 14 (17.0) | 10 (17.2) |
| IMMs | 17 (12.1) | 9 (17.1) | 8 (13.8) |
| Biologics | 56 (40.0) | 36 (43.9) | 20 (34.5) |
| CONUT 0–1 | CONUT 2–4 | CONUT ≥ 5 | p | |
|---|---|---|---|---|
| (n = 50) | (n = 76) | (n = 14) | ||
| CDAI | 125 ± 74 | 140 ± 79 | 172 ± 99 | 0.132 |
| Age, y | 45.2 ± 12.9 ^ | 35.4 ± 13.5 | 34.1 ± 12.4 | 0.000 |
| Weight, kg | 66.4 ± 13.7 | 64.8 ± 11.4 | 60.1 ± 6.37 | 0.237 |
| BMI, kg/m2 | 24.5 ± 4.31 ^ | 22.8 ± 3.21 | 20.5 ± 1.94 | 0.001 |
| FFM, kg | 47.0 ± 9.98 | 50.0 ± 10.6 | 52.5 ± 8.16 | 0.122 |
| FM, kg | 19.3 ± 8.63 | 14.8 ± 6.96 | 7.72 ± 3.99 ‡ | 0.000 |
| FM, % | 28.6 ± 9.61 | 22.8 ± 9.60 | 13.1 ± 7.60 ‡ | 0.000 |
| PhA, degrees | 6.22 ± 0.80 | 6.51 ± 0.98 | 5.97 ± 1.09 | 0.070 |
| CONUT 0–1 | CONUT 2–4 | CONUT ≥ 5 | p | |
|---|---|---|---|---|
| (n = 50) | (n = 76) | (n = 14) | ||
| CRP, mg/L | 2.0 (4.9) | 3.1 (10.2) | 8.5 (27.1) § | 0.008 |
| IL-1β, pg/mL | 0.13 (0.22) | 0.15 (0.25) | 0.33 (0.47) ‡ | 0.008 |
| IL-6, pg/mL | 2.22 (3.4) | 3.55 (4.4) | 9.83 (12.9) ‡ | 0.000 |
| TNF-α, pg/mL | 9.88 (5.1) | 10.8 (4.5) | 11.8 (5.5) | 0.219 |
| OR | 95° CIs | p | |
|---|---|---|---|
| Age, y | 0.939 | 0.869–1.014 | 0.108 |
| BMI, kg/m2 | 0.712 | 0.366–1.386 | 0.318 |
| FFM, kg | 1.039 | 0.852–1.267 | 0.707 |
| FM, kg | 0.783 | 0.588–1.042 | 0.094 |
| PhA, degrees | 0.296 | 0.093–0.946 | 0.040 |
| IL-1β, pg/mL | 0.288 | 0.010–8.641 | 0.473 |
| IL-6, pg/mL | 1.165 | 1.028–1.321 | 0.017 |
| TNF-α, pg/mL | 0.841 | 0.659–1.074 | 0.165 |
| CRP, mg/dL | 1.015 | 0.973–1.059 | 0.482 |
Disclaimer/Publisher’s Note: The statements, opinions and data contained in all publications are solely those of the individual author(s) and contributor(s) and not of MDPI and/or the editor(s). MDPI and/or the editor(s) disclaim responsibility for any injury to people or property resulting from any ideas, methods, instructions or products referred to in the content. |
© 2023 by the authors. Licensee MDPI, Basel, Switzerland. This article is an open access article distributed under the terms and conditions of the Creative Commons Attribution (CC BY) license (https://creativecommons.org/licenses/by/4.0/).
Share and Cite
Cioffi, I.; Scialò, F.; Di Vincenzo, O.; Gelzo, M.; Marra, M.; Testa, A.; Castiglione, F.; Vitale, M.; Pasanisi, F.; Santarpia, L. Serum Interleukin 6, Controlling Nutritional Status (CONUT) Score and Phase Angle in Patients with Crohn’s Disease. Nutrients 2023, 15, 1953. https://doi.org/10.3390/nu15081953
Cioffi I, Scialò F, Di Vincenzo O, Gelzo M, Marra M, Testa A, Castiglione F, Vitale M, Pasanisi F, Santarpia L. Serum Interleukin 6, Controlling Nutritional Status (CONUT) Score and Phase Angle in Patients with Crohn’s Disease. Nutrients. 2023; 15(8):1953. https://doi.org/10.3390/nu15081953
Chicago/Turabian StyleCioffi, Iolanda, Filippo Scialò, Olivia Di Vincenzo, Monica Gelzo, Maurizio Marra, Anna Testa, Fabiana Castiglione, Maria Vitale, Fabrizio Pasanisi, and Lidia Santarpia. 2023. "Serum Interleukin 6, Controlling Nutritional Status (CONUT) Score and Phase Angle in Patients with Crohn’s Disease" Nutrients 15, no. 8: 1953. https://doi.org/10.3390/nu15081953
APA StyleCioffi, I., Scialò, F., Di Vincenzo, O., Gelzo, M., Marra, M., Testa, A., Castiglione, F., Vitale, M., Pasanisi, F., & Santarpia, L. (2023). Serum Interleukin 6, Controlling Nutritional Status (CONUT) Score and Phase Angle in Patients with Crohn’s Disease. Nutrients, 15(8), 1953. https://doi.org/10.3390/nu15081953

