Inverse Association of the Adequacy and Balance Scores in the Modified Healthy Eating Index with Type 2 Diabetes in Women
Abstract
1. Introduction
2. Materials and Methods
2.1. Design and Data Collection
2.2. Biochemical Tests
2.3. Determination of Dietary Quality and Nutritional Intakes by 24 h Recall and Semi-Quantitative Food Frequency Questionnaires (SQFFQ)
2.4. KHEI and MKHEI Scores for the KSD and WSD
2.5. Statistical Analysis
3. Results
3.1. Demographic Characteristics of the Participants
3.2. Anthropometric Measurements and Serum Glucose and Lipid Profiles According to Gender and T2DM
3.3. KHEI Scores Based on SQFFQ According to Gender and T2DM Status
3.4. Nutrient Intake Using 24 h Recall According to Gender and T2DM Status
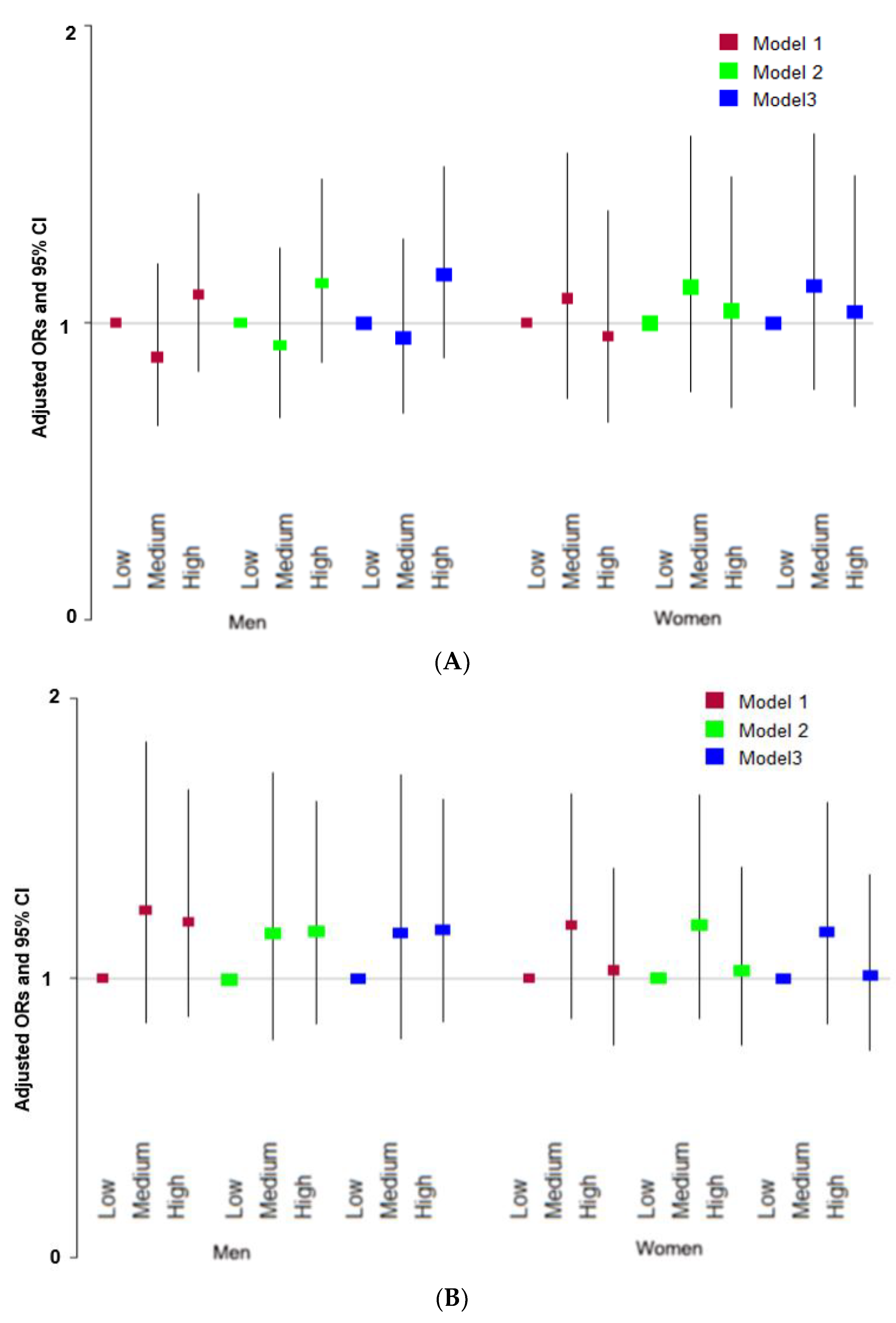
3.5. Association of Total KHEI Score with T2DM Risk
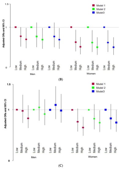
3.6. Association of MKHEI Scores for KSD and WSD with T2DM Risk
4. Discussion
Supplementary Materials
Author Contributions
Funding
Institutional Review Board Statement
Informed Consent Statement
Data Availability Statement
Conflicts of Interest
References
- Lee, H.; Lee, M.; Park, G.; Khang, A. Prevalence of Chronic Diabetic Complications in Patients with Type 2 Diabetes Mellitus: A Retrospective Study Based on the National Health Insurance Service-National Health Screening Cohort in Korea, 2002~2015. Korean J. Adult Nurs. 2022, 34, 39–50. [Google Scholar] [CrossRef]
- Zhu, D.; Dwyer, J.T.; Ouyang, C.-M. Type 2 Diabetes Mellitus in China: Risk Factors and Challenges. Nutr. Today 2020, 55, 304–312. [Google Scholar] [CrossRef]
- Nanditha, A.; Ma, R.C.W.; Ramachandran, A.; Snehalatha, C.; Chan, J.C.N.; Chia, K.S.; Shaw, J.E.; Zimmet, P.Z. Diabetes in Asia and the Pacific: Implications for the Global Epidemic. Diabetes Care 2016, 39, 472–485. [Google Scholar] [CrossRef] [PubMed]
- Muilwijk, M.; Nicolaou, M.; Qureshi, S.A.; Celis-Morales, C.; Gill, J.M.R.; Sheikh, A.; Sattar, N.; Beune, E.; Jenum, A.K.; Stronks, K.; et al. Dietary and physical activity recommendations to prevent type 2 diabetes in South Asian adults: A systematic review. PLoS ONE 2018, 13, e0200681. [Google Scholar] [CrossRef]
- Benson, G.; Hayes, J. An Update on the Mediterranean, Vegetarian, and DASH Eating Patterns in People With Type 2 Diabetes. Diabetes Spectr. 2020, 33, 125–132. [Google Scholar] [CrossRef]
- Kim, M.J.; Hur, H.J.; Jang, D.J.; Kim, M.-S.; Park, S.; Yang, H.J. Inverse association of a traditional Korean diet composed of a multigrain rice-containing meal with fruits and nuts with metabolic syndrome risk: The KoGES. Front. Nutr. 2022, 9, 1051637. [Google Scholar] [CrossRef]
- Park, S.; Kim, K.; Lee, B.K.; Ahn, J. A Healthy Diet Rich in Calcium and Vitamin C Is Inversely Associated with Metabolic Syndrome Risk in Korean Adults from the KNHANES 2013–2017. Nutrients 2021, 13, 1312. [Google Scholar] [CrossRef]
- Brlek, A.; Gregorič, M. Diet quality indices and their associations with all-cause mortality, CVD and type 2 diabetes mellitus: An umbrella review. Br. J. Nutr. 2022. [Google Scholar] [CrossRef]
- Yang, H.J.; Kim, M.J.; Hur, H.J.; Lee, B.K.; Kim, M.S.; Park, S. Association Between Korean-Style Balanced Diet and Risk of Abdominal Obesity in Korean Adults: An Analysis Using KNHANES-VI (2013–2016). Front. Nutr. 2021, 8, 772347. [Google Scholar] [CrossRef]
- Park, S.; Ahn, J.; Lee, B.K. Very-low-fat diets may be associated with increased risk of metabolic syndrome in the adult population. Clin. Nutr. 2016, 35, 1159–1167. [Google Scholar] [CrossRef]
- Ahn, J.; Kim, N.S.; Lee, B.K.; Park, S. Carbohydrate Intake Exhibited a Positive Association with the Risk of Metabolic Syndrome in Both Semi-Quantitative Food Frequency Questionnaires and 24-Hour Recall in Women. J. Korean Med. Sci. 2017, 32, 1474–1483. [Google Scholar] [CrossRef] [PubMed]
- Park, S.; Kim, K.; Lee, B.K.; Ahn, J. Association of the Healthy Eating Index with Estimated Cardiovascular Age in Adults from the KNHANES 2013–2017. Nutrients 2020, 12, 2912. [Google Scholar] [CrossRef]
- American Diabetes Association Professional Practice Committee. 2. Classification and Diagnosis of Diabetes: Standards of Medical Care in Diabetes—2022. Diabetes Care 2021, 45 (Suppl. S1), S17–S38. [Google Scholar]
- Park, S.; Ham, J.O.; Lee, B.K. Effects of total vitamin A, vitamin C, and fruit intake on risk for metabolic syndrome in Korean women and men. Nutrition 2015, 31, 111–118. [Google Scholar] [CrossRef] [PubMed]
- Kim, Y.J.; Hwang, J.Y.; Kim, H.; Park, S.; Kwon, O. Diet quality, physical activity, and their association with metabolic syndrome in Korean adults. Nutrition 2019, 59, 138–144. [Google Scholar] [CrossRef] [PubMed]
- Kang, Y.; Kim, J. Gender difference on the association between dietary patterns and metabolic syndrome in Korean population. Eur. J. Nutr. 2016, 55, 2321–2330. [Google Scholar] [CrossRef]
- Kennedy, E.T.; Ohls, J.; Carlson, S.; Fleming, K. The Healthy Eating Index: Design and applications. J. Am. Diet. Assoc. 1995, 95, 1103–1108. [Google Scholar] [CrossRef]
- Yun, S.; Park, S.; Yook, S.M.; Kim, K.; Shim, J.E.; Hwang, J.Y.; Oh, K. Development of the Korean Healthy Eating Index for adults, based on the Korea National Health and Nutrition Examination Survey. Nutr. Res. Pract. 2022, 16, 233–247. [Google Scholar] [CrossRef]
- Muilwijk, M.; Bolijn, R.; Galenkamp, H.; Stronks, K.; van Charante, E.M.; van Valkengoed, I.G.M. The association between gender-related characteristics and type 2 diabetes risk in a multi-ethnic population: The HELIUS study. Nutr. Metab. Cardiovasc. Dis. 2022, 32, 142–150. [Google Scholar] [CrossRef]
- Arnetz, L.; Ekberg, N.R.; Alvarsson, M. Sex differences in type 2 diabetes: Focus on disease course and outcomes. Diabetes Metab. Syndr. Obes. 2014, 7, 409–420. [Google Scholar] [CrossRef]
- Wu, L.; Parhofer, K.G. Diabetic dyslipidemia. Metabolism 2014, 63, 1469–1479. [Google Scholar] [CrossRef]
- Tramunt, B.; Smati, S.; Grandgeorge, N.; Lenfant, F.; Arnal, J.-F.; Montagner, A.; Gourdy, P. Sex differences in metabolic regulation and diabetes susceptibility. Diabetologia 2020, 63, 453–461. [Google Scholar] [PubMed]
- Abassi, M.M.; Sassi, S.; El Ati, J.; Ben Gharbia, H.; Delpeuch, F.; Traissac, P. Gender inequalities in diet quality and their socioeconomic patterning in a nutrition transition context in the Middle East and North Africa: A cross-sectional study in Tunisia. Nutr. J. 2019, 18, 18. [Google Scholar] [CrossRef] [PubMed]
- Westenhoefer, J. Age and gender dependent profile of food choice. Forum. Nutr. 2005, 57, 44–51. [Google Scholar]
- Vlassoff, C. Gender differences in determinants and consequences of health and illness. J. Health Popul. Nutr. 2007, 25, 47–61. [Google Scholar]
- Alkazemi, D. Gender differences in weight status, dietary habits, and health attitudes among college students in Kuwait: A cross-sectional study. Nutr. Health 2019, 25, 75–84. [Google Scholar] [CrossRef] [PubMed]
- Halvorsen, R.E.; Elvestad, M.; Molin, M.; Aune, D. Fruit and vegetable consumption and the risk of type 2 diabetes: A systematic review and dose–response meta-analysis of prospective studies. BMJ Nutr. Prev. Health 2021, 4, 519–531. [Google Scholar] [CrossRef]
- Ahmed, A.; Lager, A.; Fredlund, P.; Elinder, L.S. Consumption of fruit and vegetables and the risk of type 2 diabetes: A 4-year longitudinal study among Swedish adults. J. Nutr. Sci. 2020, 9, e14. [Google Scholar] [CrossRef]
- Schwingshackl, L.; Hoffmann, G.; Lampousi, A.M.; Knüppel, S.; Iqbal, K.; Schwedhelm, C.; Bechthold, A.; Schlesinger, S.; Boeing, H. Food groups and risk of type 2 diabetes mellitus: A systematic review and meta-analysis of prospective studies. Eur. J. Epidemiol. 2017, 32, 363–375. [Google Scholar]
- Li, S.; Miao, S.; Huang, Y.; Liu, Z.; Tian, H.; Yin, X.; Tang, W.; Steffen, L.M.; Xi, B. Fruit intake decreases risk of incident type 2 diabetes: An updated meta-analysis. Endocrine 2015, 48, 454–460. [Google Scholar] [CrossRef]
- Li, M.; Fan, Y.; Zhang, X.; Hou, W.; Tang, Z. Fruit and vegetable intake and risk of type 2 diabetes mellitus: Meta-analysis of prospective cohort studies. BMJ Open 2014, 4, e005497. [Google Scholar] [CrossRef] [PubMed]
- Seah, J.Y.H.; Koh, W.P.; Yuan, J.M.; van Dam, R.M. Rice intake and risk of type 2 diabetes: The Singapore Chinese Health Study. Eur. J. Nutr. 2019, 58, 3349–3360. [Google Scholar] [CrossRef] [PubMed]
- Huang, M.; Lo, K.; Li, J.; Allison, M.; Wu, W.C.; Liu, S. Pasta meal intake in relation to risks of type 2 diabetes and atherosclerotic cardiovascular disease in postmenopausal women: Findings from the Women’s Health Initiative. BMJ Nutr. Prev. Health 2021, 4, 195–205. [Google Scholar] [PubMed]



| Parameters | Categories | T2DM (n = 949) | Non-T2DM (n = 11,368) | p Value * |
|---|---|---|---|---|
| Sex | Male | 507 (8.9) | 4379 (91.1) | <0.01 |
| Female | 442 (5.2) | 6989 (94.8) | ||
| Age groups | 20–29 | 14 (0.8) | 1765 (99.2) | <0.01 |
| 30–39 | 73 (2.8) | 2787 (97.2) | ||
| 40–49 | 191 (6.8) | 2899 (93.2) | ||
| 50–59 | 373 (12.3) | 2778 (87.7) | ||
| 60–64 | 298 (21.1) | 1139 (78.9) | ||
| Residence | Urban | 746 (6.7) | 9499 (93.3) | <0.01 |
| Rural | 203 (8.7) | 1869 (91.3) | ||
| Region | Seoul | 347 (6.8) | 4296 (93.2) | <0.01 |
| Kyunggee-do | 248 (5.7) | 3424 (94.3) | ||
| Chungcheong-do | 111 (7.8) | 1187 (92.2) | ||
| Jeonlla-do | 111 (8.1) | 1209 (91.9) | ||
| Gyungsang-do | 132 (8.9) | 1252 (91.1) | ||
| Education | Less than high school | 333 (14.3) | 1861 (85.7) | <0.01 |
| High school | 324 (9.0) | 3250 (91.0) | ||
| College | 292 (4.1) | 6257 (95.9) | ||
| Income | 1st Q | 171 (12.7) | 935 (87.3) | <0.01 |
| 2nd Q | 259 (7.8) | 2712 (92.2) | ||
| 3rd Q | 244 (5.7) | 3679 (94.3) | ||
| 4th Q | 271 (6.2) | 4008 (93.8) | ||
| Smoking status | Current smoker | 480 (5.4) | 7249 (94.6) | <0.01 |
| Past smoker | 217 (9.6) | 1839 (90.4) | ||
| Non-smoker | 252 (9.0) | 2280 (91.0) | ||
| Drinking status | None | 285 (9.2) | 2702 (90.8) | <0.01 |
| Mild | 412 (5.3) | 6206 (94.7) | ||
| Moderate | 105 (6.9) | 1255 (93.1) | ||
| Severe | 147 (10.6) | 1205 (89.4) | ||
| Regular exercise | Yes | 415 (6.0) | 5645 (94.0) | 0.79 |
| No | 534 (8.1) | 5723 (91.9) | ||
| Marriage | Yes | 890 (8.5) | 9142 (91.5) | <0.01 |
| No | 57 (2.4) | 2222 (97.6) | ||
| Year | 2013 | 250 (7.3) | 3011 (92.7) | 0.53 |
| 2014 | 226 (6.9) | 2754 (93.1) | ||
| 2015 | 229 (6.4) | 2722 (93.6) | ||
| 2016 | 244 (7.4) | 2881 (92.6) |
| Female (n = 7431) | p value | Male (n = 4886) | p Value * | |||
|---|---|---|---|---|---|---|
| Diabetes (n = 442) | Normal (n = 6989) | Diabetes (n = 507) | Normal (n = 4379) | |||
| Glucose | 150 (144~155) | 92.2 (91.9~92.4) | 0.001 | 151 (146~157) | 95.3 (94.9~95.6) | 0.001 |
| Chol | 184 (179~188) | 190 (189~1901) | 0.001 | 186 (181~192) | 191 (190~192) | 0.001 |
| HDL | 50.4 (49.3~51.6) | 55.9 (55.6~56.3) | 0.001 | 44.3 (43.2~45.3) | 47.9 (47.6~48.3) | 0.001 |
| LDL | 104 (99.9~108) | 113 (112~114) | 0.001 | 95.5 (90.6~100) | 111 (110~112) | 0.001 |
| TG | 145 (135~155) | 105 (103~107) | 0.001 | 233 (212~255) | 162 (157~166) | 0.001 |
| Waist | 83.0 (81.9~84.2) | 76.7 (76.4~76.9) | 0.001 | 89.3 (88.2~90.3) | 84.8 (84.5~85.1) | 0.001 |
| BMI | 25.3 (24.8~25.8) | 22.9 (22.8~23.0) | 0.001 | 25.7 (25.3~26.1) | 24.4 (24.3~24.6) | 0.001 |
| Classification | Female (n = 7431) | Male (n = 4886) | |||||
|---|---|---|---|---|---|---|---|
| T2DM (n = 442) | Non-T2DM (n = 6989) | p Value | T2DM (n = 507) | Non-T2DM (n = 4379) | p Value * | ||
| Adequacy | Have breakfast | 6.878 (6.48~7.276) | 7.023 (6.913~7.133) | 0.475 | 6.911 (6.547~7.275) | 6.697 (6.565~6.828) | 0.268 |
| Mixed grains intake | 4.283 (4.112~4.453) | 4.119 (4.069~4.169) | 0.065 | 4.171 (4.004~4.338) | 3.748 (3.679~3.817) | 0.001 | |
| Fresh fruit intake | 3.469 (3.286~3.652) | 3.791 (3.747~3.835) | 0.001 | 2.298 (2.111~2.485) | 2.486 (2.422~2.549) | 0.054 | |
| Total fruit intake | 3.393 (3.211~3.576) | 3.684 (3.638~3.73) | 0.002 | 2.065 (1.878~2.251) | 2.215 (2.152~2.277) | 0.126 | |
| Vegetable intake, excluding kimchi and pickled vegetables | 4.916 (4.876~4.956) | 4.896 (4.882~4.91) | 0.345 | 4.755 (4.683~4.828) | 4.827 (4.803~4.851) | 0.057 | |
| Fermented vegetables, kimchi, and pickled vegetables | 4.46 (4.321~4.598) | 4.445 (4.411~4.478) | 0.833 | 4.221 (4.069~4.372) | 4.281 (4.234~4.328) | 0.434 | |
| Seaweed intake | 1.426 (1.223~1.629) | 1.507 (1.454~1.56) | 0.445 | 0.78 (0.628~0.933) | 0.814 (0.768~0.859) | 0.676 | |
| Fish intake | 1.19 (0.998~1.382) | 1.581 (1.523~1.638) | 0.001 | 1.501 (1.306~1.696) | 1.555 (1.485~1.625) | 0.606 | |
| Meat and eggs | 2.416 (2.205~2.627) | 2.691 (2.639~2.743) | 0.012 | 2.867 (2.676~3.059) | 2.95 (2.895~3.004) | 0.424 | |
| Beans, including fermented beans | 1.24 (1.035~1.445) | 1.248 (1.198~1.298) | 0.938 | 1.471 (1.273~1.669) | 1.354 (1.284~1.424) | 0.284 | |
| Milk and milk products intake | 3.235 (2.806~3.665) | 3.704 (3.584~3.823) | 0.039 | 3.238 (2.842~3.634) | 3.372 (3.236~3.507) | 0.528 | |
| Nuts | 0.384 (0.197~0.571) | 0.414 (0.371~0.458) | 0.756 | 0.351 (0.161~0.542) | 0.464 (0.404~0.524) | 0.291 | |
| KHEI_A_All | 37.19 (36.04~38.35) | 38.98 (38.65~39.31) | 0.002 | 34.52 (33.47~35.58) | 34.59 (34.18~34.99) | 0.91 | |
| Moderation | Percentage of energy from saturated fatty acids | 9.433 (9.334~9.533) | 9.403 (9.372~9.435) | 0.549 | 9.486 (9.397~9.576) | 9.454 (9.419~9.489) | 0.488 |
| Percentage of energy from polyunsaturated fatty acids | 4.701 (4.513~4.888) | 4.691 (4.639~4.742) | 0.915 | 4.323 (4.206~4.44) | 4.327 (4.283~4.372) | 0.941 | |
| Sodium intake | 5.301 (4.907~5.695) | 5.258 (5.154~5.361) | 0.831 | 3.894 (3.527~4.261) | 3.84 (3.718~3.963) | 0.786 | |
| Percentage of energy from sweets and beverages | 3.738 (3.54~3.935) | 3.643 (3.583~3.702) | 0.361 | 4.086 (3.88~4.292) | 3.983 (3.918~4.049) | 0.353 | |
| Fast food intake | 3.78 (3.663~3.897) | 3.848 (3.819~3.876) | 0.273 | 3.49 (3.356~3.623) | 3.483 (3.443~3.524) | 0.931 | |
| Noodle intake | 3.405 (3.372~3.438) | 3.609 (3.483~3.736) | 0.002 | 3.301 (3.256~3.345) | 3.338 (3.192~3.484) | 0.628 | |
| KHEI_M_All | 30.40 (29.83~30.97) | 30.14 (29.98~30.30) | 0.382 | 28.44 (27.89~28.99) | 28.34 (28.15~28.53) | 0.724 | |
| Balance | Energy intake | 3.847 (3.668~4.025) | 3.951 (3.902~4.000) | 0.269 | 3.813 (3.623~4.002) | 3.954 (3.89~4.017) | 0.162 |
| V-C intake | 2.77 (2.536~3.005) | 3.107 (3.042~3.172) | 0.005 | 2.384 (2.163~2.605) | 2.581 (2.501~2.661) | 0.093 | |
| Fiber intake | 3.575 (3.418~3.732) | 3.614 (3.573~3.655) | 0.626 | 3.773 (3.633~3.914) | 3.724 (3.675~3.774) | 0.514 | |
| Ca intake | 1.07 (0.895~1.245) | 1.138 (1.087~1.189) | 0.451 | 1.53 (1.342~1.719) | 1.572 (1.504~1.64) | 0.682 | |
| Percentage of energy from carbohydrates | 3.021 (2.833~3.21) | 3.212 (3.165~3.26) | 0.057 | 3.192 (2.999~3.384) | 3.279 (3.218~3.339) | 0.399 | |
| Percentage of energy intake from fats | 3.862 (3.68~4.044) | 4.141 (4.105~4.178) | 0.041 | 3.906 (3.736~4.077) | 4.025 (3.977~4.072) | 0.202 | |
| KHEI_B_All | 17.43 (16.79~18.06) | 18.29 (18.11~18.46) | 0.009 | 17.85 (17.18~18.51) | 18.33 (18.12~18.55) | 0.164 | |
| KHEI_All_Score | 85.01 (83.5~86.5) | 87.40 (86.99~87.82) | 0.001 | 80.81 (79.47~82.15) | 81.26 (80.77~81.74) | 0.528 | |
| Female (n = 7431) | Male (n = 4886) | |||||
|---|---|---|---|---|---|---|
| T2DM (n = 442) | Non-T2DM (n = 6989) | p Value | T2DM (n = 507) | Non-T2DM (n = 4379) | p Value * | |
| Energy (kcal) | 1772 (1706~1839) | 1813 (1795~1832) | 0.224 | 2433 (2343~2523) | 2402 (2373~2430) | 0.51 |
| Fat (En%) | 18.9 (18.3~19.4) | 19.7 (19.4~19.7) | 0.018 | 19.5 (19.0~20.1) | 19.6 (19.4~19.8) | 0.233 |
| Protein (En%) | 13.3 (13.1~13.6) | 13.5 (13.5~13.6) | 0.124 | 13.8 (13.5~14.0) | 13.6 (13.6~13.7) | 0.946 |
| CHO (En%) | 67.8 (67.1~68.6) | 66.8 (66.6~67.0) | 0.133 | 66.7 (66.9~67.5) | 66.8 (66.6~67.1) | 0.501 |
| Fiber (g) | 20.0 (19.0~20.9) | 20.2 (20.0~20.5) | 0.548 | 21.9 (20.9~23.0) | 21.2 (20.9~21.6) | 0.212 |
| Calcium (mg) | 442.9 (422.9~462.9) | 466.0 (459.7~472.4) | 0.026 | 525.0 (499.3~550) | 524.1 (515.6~532.7) | 0.972 |
| Iron (mg) | 12.9 (12.4~13.5) | 13.113 (13.0~13.3) | 0.578 | 15.6 (14.8~16.3) | 15.1 (14.9~15.3) | 0.236 |
| Vitamin C (mg) | 113.1 (103.3~122.8) | 124.1 (121.5~126.7) | 0.029 | 100.6 (93.4~107.8) | 105.6 (102.9~108.4) | 0.15 |
| SFA (En%) | 5.71 (5.52~5.9) | 5.97 (5.92~6.02) | 0.009 | 5.72 (5.5~5.9) | 58.6 (5.8~5.92) | 0.143 |
| MUFA (En%) | 6.01 (5.8~6.21) | 6.26 (6.21~6.32) | 0.017 | 6.03 (5.81~6.24) | 6.14 (6.08~6.21) | 0.312 |
| PUFA (En%) | 5.5 (5.3~5.7) | 5.58 (5.53~5.63) | 0.45 | 4.96 (4.8~5.12) | 5.01 (4.96~5.06) | 0.574 |
| N3-FA (En%) | 1.23 (1.16~1.31) | 1.28 (1.26~1.30) | 0.198 | 1.47 (1.39~1.55) | 1.47 (1.45~1.50) | 0.916 |
| N6-FA (En%) | 9.00 (8.46~9.54) | 9.24 (9.09~9.38) | 0.398 | 11.3 (10.6~11.9) | 11.2 (10.9~11.4) | 0.78 |
| Phosphate (mg) | 923.2 (883.7~962.7) | 960.7 (949.3~972.1) | 0.063 | 1154 (1105~1203) | 1136 (1120~1152) | 0.478 |
| Sodium (mg) | 3050 (2901~3200) | 3101 (3058~3145) | 0.507 | 3878 (3682~4075) | 3797 (3731~3862) | 0.427 |
| Potassium (mg) | 2649 (2510~2788) | 2755 (2720~2792) | 0.135 | 3020 (2887~3154) | 2995 (2948~3041) | 0.713 |
| Vitamin A | 614.8 (574.7~654.8) | 623.0 (613.4~632.6) | 0.091 | 660.0 (620.5~699) | 647.3 (635.5~659.1) | 0.533 |
| Carotenoids (µg) | 3079 (2856~3301) | 3075 (3024~3126) | 0.975 | 3235 (3031~3440) | 3152 (3091~3214) | 0.431 |
| Retinol (µg) | 80.8 (75.3~86.4) | 88.4 (86.9~90.0) | 0.008 | 97.5 (91.5~103.4) | 98.3 (96.3~100.3) | 0.779 |
| Vitamin B1 (mg) | 1.70 (1.63~1.77) | 1.74 (1.72~1.76) | 0.308 | 2.13 (2.40~2.2) | 2.10 (2.07~2.13) | 0.497 |
| Vitamin B2 (mg) | 1.22 (1.16~1.28) | 1.29 (1.27~1.30) | 0.025 | 1.53 (1.45~1.61) | 1.52 (1.49~1.54) | 0.803 |
| Niacin (mg) | 12.3(11.7~12.8) | 12.7 (12.5~12.8) | 0.18 | 15.9 (15.2~16.6) | 15.5 (15.2~15.7) | 0.263 |
Disclaimer/Publisher’s Note: The statements, opinions and data contained in all publications are solely those of the individual author(s) and contributor(s) and not of MDPI and/or the editor(s). MDPI and/or the editor(s) disclaim responsibility for any injury to people or property resulting from any ideas, methods, instructions or products referred to in the content. |
© 2023 by the authors. Licensee MDPI, Basel, Switzerland. This article is an open access article distributed under the terms and conditions of the Creative Commons Attribution (CC BY) license (https://creativecommons.org/licenses/by/4.0/).
Share and Cite
Yang, H.-J.; Kim, M.-J.; Hur, H.-J.; Jang, D.-J.; Lee, B.-K.; Kim, M.-S.; Park, S. Inverse Association of the Adequacy and Balance Scores in the Modified Healthy Eating Index with Type 2 Diabetes in Women. Nutrients 2023, 15, 1741. https://doi.org/10.3390/nu15071741
Yang H-J, Kim M-J, Hur H-J, Jang D-J, Lee B-K, Kim M-S, Park S. Inverse Association of the Adequacy and Balance Scores in the Modified Healthy Eating Index with Type 2 Diabetes in Women. Nutrients. 2023; 15(7):1741. https://doi.org/10.3390/nu15071741
Chicago/Turabian StyleYang, Hye-Jeong, Min-Jung Kim, Haeng-Jeon Hur, Dai-Ja Jang, Byung-Kook Lee, Myung-Sunny Kim, and Sunmin Park. 2023. "Inverse Association of the Adequacy and Balance Scores in the Modified Healthy Eating Index with Type 2 Diabetes in Women" Nutrients 15, no. 7: 1741. https://doi.org/10.3390/nu15071741
APA StyleYang, H.-J., Kim, M.-J., Hur, H.-J., Jang, D.-J., Lee, B.-K., Kim, M.-S., & Park, S. (2023). Inverse Association of the Adequacy and Balance Scores in the Modified Healthy Eating Index with Type 2 Diabetes in Women. Nutrients, 15(7), 1741. https://doi.org/10.3390/nu15071741

