The Relationship between Dietary Flavonols Intake and Metabolic Syndrome in Polish Adults
Abstract
1. Introduction
2. Materials and Methods
2.1. Ethical Concerns
2.2. Statistical Analysis
3. Results
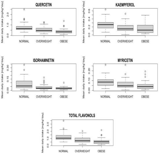
3.1. The Characteristics of the Participant Group
3.2. Flavonols Intake in Participants with and without MetS
3.3. Flavonols Intake and MetS Advancement
3.4. The Analysis of Laboratory Parameters in MetS Patients
3.5. The Analysis of the Flavonol Source Consumption in MetS Patients
4. Discussion
5. Conclusions
Funding
Institutional Review Board Statement
Informed Consent Statement
Data Availability Statement
Conflicts of Interest
References
- Matsuzawa, Y.; Funahashi, T.; Nakamura, T. The Concept of Metabolic Syndrome: Contribution of Visceral Fat Accumulation and Its Molecular Mechanism. J. Atheroscler. Thromb. 2011, 18, 629. [Google Scholar] [CrossRef] [PubMed]
- Moore, J.X.; Chaudhary, N.; Akinyemiju, T. Metabolic Syndrome Prevalence by Race/Ethnicity and Sex in the United States, National Health and Nutrition Examination Survey, 1988–2012. Prev. Chronic Dis. 2017, 14, 160287. [Google Scholar] [CrossRef]
- Scuteri, A.; Laurent, S.; Cucca, F.; Cockcroft, J.; Cunha, P.G.; Mañas, L.R.; Raso, F.U.M.; Muiesan, M.L.; Ryliškyte, L.; Rietzschel, E.; et al. Metabolic Syndrome across Europe: Different Clusters of Risk Factors. Eur. J. Prev. Cardiol. 2015, 22, 486–491. [Google Scholar] [CrossRef] [PubMed]
- Roth, G.A.; Abate, D.; Abate, K.H.; Abay, S.M.; Abbafati, C.; Abbasi, N.; Abbastabar, H.; Abd-Allah, F.; Abdela, J.; Abdelalim, A.; et al. Global, Regional, and National Age-Sex-Specific Mortality for 282 Causes of Death in 195 Countries and Territories, 1980–2017: A Systematic Analysis for the Global Burden of Disease Study 2017. Lancet 2018, 392, 1736–1788. [Google Scholar] [CrossRef] [PubMed]
- Blaszczak, A.M.; Jalilvand, A.; Liu, J.; Wright, V.P.; Suzo, A.; Needleman, B.; Noria, S.; Lafuse, W.; Hsueh, W.A.; Bradley, D. Human Visceral Adipose Tissue Macrophages Are Not Adequately Defined by Standard Methods of Characterization. J. Diabetes Res. 2019, 2019, 8124563. [Google Scholar] [CrossRef] [PubMed]
- Patel, P.; Abate, N. Body Fat Distribution and Insulin Resistance. Nutrients 2013, 5, 2019–2027. [Google Scholar] [CrossRef]
- International Diabetes Federation. The IDF Consensus Worldwide Definition of the Metabolic Syndrome. Obe. Metab. 2005, 2, 47–49. [Google Scholar] [CrossRef]
- Ross, R.; Neeland, I.J.; Yamashita, S.; Shai, I.; Seidell, J.; Magni, P.; Santos, R.D.; Arsenault, B.; Cuevas, A.; Hu, F.B.; et al. Waist Circumference as a Vital Sign in Clinical Practice: A Consensus Statement from the IAS and ICCR Working Group on Visceral Obesity. Nat. Rev. Endocrinol. 2020, 16, 177–189. [Google Scholar] [CrossRef]
- Fathi Dizaji, B. The Investigations of Genetic Determinants of the Metabolic Syndrome. Diabetes Metab. Syndr. Clin. Res. Rev. 2018, 12, 783–789. [Google Scholar] [CrossRef] [PubMed]
- Visseren, F.L.J.; Mach, F.; Smulders, Y.M.; Carballo, D.; Koskinas, K.C.; Bäck, M.; Benetos, A.; Biffi, A.; Boavida, J.-M.; Capodanno, D.; et al. 2021 ESC Guidelines on Cardiovascular Disease Prevention in Clinical Practice. Eur. Heart J. 2021, 42, 3227–3337. [Google Scholar] [CrossRef]
- Cassidy, A.; O’Reilly, É.J.; Kay, C.; Sampson, L.; Franz, M.; Forman, J.; Curhan, G.; Rimm, E.B. Habitual Intake of Flavonoid Subclasses and Incident Hypertension in Adults. Am. J. Clin. Nutr. 2011, 93, 338–347. [Google Scholar] [CrossRef]
- Zamora-Ros, R.; Knaze, V.; Luján-Barroso, L.; Slimani, N.; Romieu, I.; Fedirko, V.; Santucci de Magistris, M.; Ericson, U.; Amiano, P.; Trichopoulou, A.; et al. Estimated Dietary Intakes of Flavonols, Flavanones and Flavones in the European Prospective Investigation into Cancer and Nutrition (EPIC) 24 Hour Dietary Recall Cohort. Br. J. Nutr. 2011, 106, 1915–1925. [Google Scholar] [CrossRef]
- Panche, A.N.; Diwan, A.D.; Chandra, S.R. Flavonoids: An Overview. J. Nutr. Sci. 2016, 5, e47. [Google Scholar] [CrossRef] [PubMed]
- Popiolek-Kalisz, J.; Blaszczak, P.; Fornal, E. Dietary Isorhamnetin Intake Is Associated with Lower Blood Pressure in Coronary Artery Disease Patients. Nutrients 2022, 14, 4586. [Google Scholar] [CrossRef] [PubMed]
- Popiolek-Kalisz, J.; Fornal, E. Dietary Isorhamnetin Intake Is Inversely Associated with Coronary Artery Disease Occurrence in Polish Adults. Int. J. Environ. Res. Public Health 2022, 19, 12546. [Google Scholar] [CrossRef] [PubMed]
- Bhagwat, S.; Haytowitz, D.B.; Holden, J.M. USDA Database for the Flavonoid Content of Selected Foods: Release 3; U. S. Department of Argiculture: Washington, DC, USA, 2011.
- Stewart, A.J.; Bozonnet, S.; Mullen, W.; Jenkins, G.I.; Lean, M.E.J.; Crozier, A. Occurrence of Flavonols in Tomatoes and Tomato-Based Products. J. Agric. Food Chem. 2000, 48, 2663–2669. [Google Scholar] [CrossRef]
- Slimestad, R.; Fossen, T.; Verheul, M.J. The Flavonoids of Tomatoes. J. Agric. Food Chem. 2008, 56, 2436–2441. [Google Scholar] [CrossRef]
- Li, N.; Wu, X.; Zhuang, W.; Xia, L.; Chen, Y.; Wu, C.; Rao, Z.; Du, L.; Zhao, R.; Yi, M.; et al. Tomato and Lycopene and Multiple Health Outcomes: Umbrella Review. Food Chem. 2021, 343, 128396. [Google Scholar] [CrossRef]
- Vallverdú-Queralt, A.; Medina-Remón, A.; Andres-Lacueva, C.; Lamuela-Raventos, R.M. Changes in Phenolic Profile and Antioxidant Activity during Production of Diced Tomatoes. Food Chem. 2011, 126, 1700–1707. [Google Scholar] [CrossRef]
- Kamiloglu, S.; Demirci, M.; Selen, S.; Toydemir, G.; Boyacioglu, D.; Capanoglu, E. Home Processing of Tomatoes (Solanum Lycopersicum): Effects on in Vitro Bioaccessibility of Total Lycopene, Phenolics, Flavonoids, and Antioxidant Capacity. J. Sci. Food Agric. 2014, 94, 2225–2233. [Google Scholar] [CrossRef]
- Agarwal, A.; Shen, H.; Agarwal, S.; Rao, A.V. Lycopene Content of Tomato Products: Its Stability, Bioavailability and in Vivo Antioxidant Properties. J. Med. Food 2001, 4, 9–15. [Google Scholar] [CrossRef] [PubMed]
- Koh, E.; Charoenprasert, S.; Mitchell, A.E. Effects of Industrial Tomato Paste Processing on Ascorbic Acid, Flavonoids and Carotenoids and Their Stability over One-Year Storage. J. Sci. Food Agric. 2012, 92, 23–28. [Google Scholar] [CrossRef] [PubMed]
- Janssen, I.; Powell, L.H.; Wildman, R.P. Moderate Wine Consumption Inhibits the Development of the Metabolic Syndrome: The Study of Women’s Health Across the Nation (SWAN). J. Wine Res. 2011, 22, 113–117. [Google Scholar] [CrossRef] [PubMed]
- Tresserra-Rimbau, A.; Medina-Remón, A.; Lamuela-Raventós, R.M.; Bulló, M.; Salas-Salvadó, J.; Corella, D.; Fitó, M.; Gea, A.; Gómez-Gracia, E.; Lapetra, J.; et al. Moderate Red Wine Consumption Is Associated with a Lower Prevalence of the Metabolic Syndrome in the PREDIMED Population. Br. J. Nutr. 2015, 113, S121–S130. [Google Scholar] [CrossRef] [PubMed]
- Moreno-Indias, I.; Sánchez-Alcoholado, L.; Pérez-Martínez, P.; Andrés-Lacueva, C.; Cardona, F.; Tinahones, F.; Queipo-Ortuño, M.I. Red Wine Polyphenols Modulate Fecal Microbiota and Reduce Markers of the Metabolic Syndrome in Obese Patients. Food Funct. 2016, 7, 1775–1787. [Google Scholar] [CrossRef]
- Woerdeman, J.; Van Poelgeest, E.; Ket, J.C.F.; Eringa, E.C.; Serné, E.H.; Smulders, Y.M. Do Grape Polyphenols Improve Metabolic Syndrome Components? A Systematic Review. Eur. J. Clin. Nutr. 2017, 71, 1381–1392. [Google Scholar] [CrossRef]
- Rosell, M.; de Faire, U.; Hellénius, M.L. Low Prevalence of the Metabolic Syndrome in Wine Drinkers—Is It the Alcohol Beverage or the Lifestyle? Eur. J. Clin. Nutr. 2003, 57, 227–234. [Google Scholar] [CrossRef]
- Del Pino-García, R.; González-SanJosé, M.L.; Rivero-Pérez, M.D.; García-Lomillo, J.; Muñiz, P. The Effects of Heat Treatment on the Phenolic Composition and Antioxidant Capacity of Red Wine Pomace Seasonings. Food Chem. 2017, 221, 1723–1732. [Google Scholar] [CrossRef]
- Popiolek-Kalisz, J. The Impact of Dietary Flavonols on Central Obesity Parameters in Polish Adults. Nutrients 2022, 14, 5051. [Google Scholar] [CrossRef]
- Edwards, R.L.; Lyon, T.; Litwin, S.E.; Rabovsky, A.; Symons, J.D.; Jalili, T. Quercetin Reduces Blood Pressure in Hypertensive Subjects. J. Nutr. 2007, 137, 2405–2411. [Google Scholar] [CrossRef]
- Popiolek-Kalisz, J.; Fornal, E. The Effects of Quercetin Supplementation on Blood Pressure—Meta-Analysis. Curr. Probl. Cardiol. 2022, 47, 101350. [Google Scholar] [CrossRef] [PubMed]
- Egert, S.; Bosy-Westphal, A.; Seiberl, J.; Kürbitz, C.; Settler, U.; Plachta-Danielzik, S.; Wagner, A.E.; Frank, J.; Schrezenmeir, J.; Rimbach, G.; et al. Quercetin Reduces Systolic Blood Pressure and Plasma Oxidised Low-Density Lipoprotein Concentrations in Overweight Subjects with a High-Cardiovascular Disease Risk Phenotype: A Double-Blinded, Placebo-Controlled Cross-over Study. Br. J. Nutr. 2009, 102, 1065–1074. [Google Scholar] [CrossRef] [PubMed]
- Popiolek-Kalisz, J.; Fornal, E. The Impact of Flavonols on Cardiovascular Risk. Nutrients 2022, 14, 1973. [Google Scholar] [CrossRef] [PubMed]
- Lee, K.-H.; Park, E.; Lee, H.-J.; Kim, M.-O.; Cha, Y.-J.; Kim, J.-M.; Lee, H.; Shin, M.-J. Effects of Daily Quercetin-Rich Supplementation on Cardiometabolic Risks in Male Smokers. Nutr. Res. Pract. 2011, 5, 28. [Google Scholar] [CrossRef]
- Abidov, M.; Ramazanov, A.; Jimenez Del Rio, M.; Chkhikvishvili, I. Effect of Blueberin on Fasting Glucose, C-Reactive Protein and Plasma Aminotransferases, in Female Volunteers with Diabetes Type 2: Double-Blind, Placebo Controlled Clinical Study. Georgian Med. News 2006, 141, 66–72. [Google Scholar]
- Ahrens, M.J.; Thompson, D.L. Effect of Emulin on Blood Glucose in Type 2 Diabetics. J. Med. Food 2013, 16, 211–215. [Google Scholar] [CrossRef]
- Suomela, J.P.; Ahotupa, M.; Yang, B.; Vasankari, T.; Kallio, H. Absorption of Flavonols Derived from Sea Buckthorn (Hippophaë rhamnoides L.) and Their Effect on Emerging Risk Factors for Cardiovascular Disease in Humans. J. Agric. Food Chem. 2006, 54, 7364–7369. [Google Scholar] [CrossRef]
- Hu, T.; Yue, J.; Tang, Q.; Cheng, K.-W.; Chen, F.; Peng, M.; Zhou, Q.; Wang, M. The Effect of Quercetin on Diabetic Nephropathy (DN): A Systematic Review and Meta-Analysis of Animal Studies. Food Funct. 2022, 13, 4789–4803. [Google Scholar] [CrossRef]
- Knab, A.M.; Shanely, R.A.; Henson, D.A.; Jin, F.; Heinz, S.A.; Austin, M.D.; Nieman, D.C. Influence of Quercetin Supplementation on Disease Risk Factors in Community-Dwelling Adults. J. Am. Diet. Assoc. 2011, 111, 542–549. [Google Scholar] [CrossRef]
- Tsitsimpikou, C.; Tsarouhas, K.; Kioukia-Fougia, N.; Skondra, C.; Fragkiadaki, P.; Papalexis, P.; Stamatopoulos, P.; Kaplanis, I.; Hayes, A.W.; Tsatsakis, A.; et al. Dietary Supplementation with Tomato-Juice in Patients with Metabolic Syndrome: A Suggestion to Alleviate Detrimental Clinical Factors. Food Chem. Toxicol. 2014, 74, 9–13. [Google Scholar] [CrossRef]


| Flavonol Intake [mg/kg × Day] | Without MetS (n = 57) | SD | With MetS (n = 32) | SD | p |
|---|---|---|---|---|---|
| Total flavonols | 1.10 | ±0.56 | 0.77 | ±0.53 | 0.01 |
| Quercetin | 0.71 | ±0.38 | 0.50 | ±0.36 | 0.01 |
| Kaempferol | 0.24 | ±0.12 | 0.17 | ±0.12 | 0.04 |
| Isorhamnetin | 0.07 | ±0.07 | 0.03 | ±0.03 | <0.001 |
| Myricetin | 0.08 | ±0.05 | 0.07 | ±0.06 | 0.19 |
| Flavonols source consumption [portion/day] | |||||
| Onion | 0.47 | ±0.46 | 0.35 | ±0.39 | 0.36 |
| Tomato | 0.94 | ±0.76 | 0.58 | ±0.72 | 0.001 |
| Blueberry | 0.31 | ±0.51 | 0.13 | ±0.20 | 0.45 |
| Apple | 0.56 | ±0.52 | 0.67 | ±0.50 | 0.19 |
| Tea | 1.80 | ±1.60 | 1.96 | ±1.80 | 0.50 |
| Coffee | 0.89 | ±0.96 | 0.67 | ±0.76 | 0.33 |
| Wine | 0.15 | ±0.32 | 0.08 | ±0.21 | 0.01 |
| Mean Daily Intake [mg/kg] | 0 Criteria | SD | 1 Criterion | SD | 2 Criteria | SD | 3 Criteria | SD | 4 Criteria | SD | 5 Criteria | SD | p |
|---|---|---|---|---|---|---|---|---|---|---|---|---|---|
| Total flavonols | 1.12 | ±0.60 | 1.36 | ±0.60 | 0.93 | ±0.30 | 0.89 | ±0.64 | 0.66 | ±0.37 | 0.51 | ±0.08 | 0.003 |
| Quercetin | 0.72 | ±0.41 | 0.87 | ±0.38 | 0.59 | ±0.19 | 0.59 | ±0.44 | 0.36 | ±0.41 | 0.32 | ±0.09 | 0.005 |
| Kaempferol | 0.24 | ±0.13 | 0.31 | ±0.21 | 0.22 | ±0.08 | 0.17 | ±0.13 | 0.15 | ±0.18 | 0.13 | ±0.02 | 0.03 |
| Isorhamnetin | 0.08 | ±0.07 | 0.08 | ±0.07 | 0.04 | ±0.01 | 0.04 | ±0.04 | 0.02 | ±0.01 | 0.02 | ±0.02 | <0.001 |
| Myricetin | 0.08 | ±0.05 | 0.09 | ±0.03 | 0.07 | ±0.05 | 0.09 | ±0.07 | 0.05 | ±0.04 | 0.04 | ±0.01 | 0.16 |
| Metabolic Syndrome Stage [Fulfilled Criteria] | |||
|---|---|---|---|
| Mean Daily Intake | R | 95% CI | p |
| Total flavonols [mg/kg × day] | −0.31 | −0.486 −0.108 | 0.003 |
| Quercetin [mg/kg × day] | −0.30 | −0.476 −0.095 | 0.005 |
| Kaempferol [mg/kg × day] | −0.23 | −0.421 −0.026 | 0.03 |
| Isorhamnetin [mg/kg × day] | −0.40 | −0.559 −0.206 | <0.001 |
| Myricetin [mg/kg × day] | −0.15 | −0.349 −0.059 | 0.16 |
| Onion [portions/day] | −0.16 | −0.360 0.048 | 0.13 |
| Tomato [portions/day] | −0.30 | −0.483 −0.103 | 0.004 |
| Blueberry [portions/day] | −0.19 | −0.381 0.022 | 0.08 |
| Apple [portions/day] | 0.11 | −0.097 0.314 | 0.29 |
| Tea [portions/day] | 0.11 | −0.104 0.308 | 0.32 |
| Coffee [portions/day] | −0.11 | −0.312 0.100 | 0.30 |
| Wine [portions/day] | −0.19 | −0.386 0.015 | 0.07 |
| Quercetin | |||
|---|---|---|---|
| Parameter | R | 95% CI | p |
| Glucose [mg/dL] | −0.13 | −0.502 0.275 | 0.52 |
| Creatinine [mg/dL] | −0.15 | −0.475 0.209 | 0.41 |
| TC [mg/dL] | 0.10 | −0.270 0.444 | 0.60 |
| TG [mg/dL] | 0.15 | −0.219 0.486 | 0.42 |
| LDL [mg/dL] | 0.10 | −0.270 0.444 | 0.60 |
| HDL [mg/dL] | −0.20 | −0.521 0.174 | 0.29 |
| Kaempferol | |||
| R | 95% CI | p | |
| Glucose [mg/dL] | −0.19 | −0.546 0.219 | 0.36 |
| Creatinine [mg/dL] | 0.03 | −0.326 0.371 | 0.89 |
| TC [mg/dL] | 0.16 | −0.214 0.490 | 0.40 |
| TG [mg/dL] | 0.28 | −0.094 0.578 | 0.14 |
| LDL [mg/dL] | 0.12 | −0.265 0.448 | 0.58 |
| HDL [mg/dL] | −0.13 | −0.466 0.244 | 0.50 |
| Isorhamnetin | |||
| R | 95% CI | p | |
| Glucose [mg/dL] | −0.06 | −0.445 0.342 | 0.77 |
| Creatinine [mg/dL] | −0.22 | −0.527 0.141 | 0.23 |
| TC [mg/dL] | 0.06 | −0.305 0.413 | 0.75 |
| TG [mg/dL] | 0.07 | −0.299 0.419 | 0.72 |
| LDL [mg/dL] | 0.02 | −0.342 0.378 | 0.91 |
| HDL [mg/dL] | −0.06 | −0.414 0.304 | 0.74 |
| Myricetin | |||
| R | 95% CI | p | |
| Glucose [mg/dL] | −0.13 | −0.501 0.277 | 0.53 |
| Creatinine [mg/dL] | −0.15 | −0.476 0.207 | 0.40 |
| TC [mg/dL] | 0.07 | −0.300 0.417 | 0.72 |
| TG [mg/dL] | 0.09 | −0.281 0.435 | 0.64 |
| LDL [mg/dL] | 0.08 | −0.285 0.431 | 0.66 |
| HDL [mg/dL] | −0.10 | −0.444 0.270 | 0.60 |
| Total flavonols | |||
| R | 95% CI | p | |
| Glucose [mg/dL] | −0.15 | −0.516 0.259 | 0.47 |
| Creatinine [mg/dL] | −0.13 | −0.455 0.232 | 0.49 |
| TC [mg/dL] | 0.11 | −0.256 0.456 | 0.55 |
| TG [mg/dL] | 0.18 | −0.193 0.507 | 0.34 |
| LDL [mg/dL] | 0.10 | −0.268 0.446 | 0.59 |
| HDL [mg/dL] | −0.18 | −0.506 0.195 | 0.35 |
| Onion | |||
|---|---|---|---|
| Parameter | R | 95% CI | p |
| Glucose [mg/dL] | 0.06 | −0.448 0.339 | 0.76 |
| Creatinine [mg/dL] | −0.17 | −0.492 0.187 | 0.34 |
| TC [mg/dL] | 0.05 | −0.312 0.407 | 0.78 |
| TG [mg/dL] | 0.08 | −0.287 0.430 | 0.67 |
| LDL [mg/dL] | −0.01 | −0.365 0.356 | 0.98 |
| HDL [mg/dL] | −0.04 | −0.393 0.326 | 0.84 |
| Tomato | |||
| Glucose [mg/dL] | −0.11 | −0.482 0.300 | 0.61 |
| Creatinine [mg/dL] | 0.18 | −0.176 0.501 | 0.31 |
| TC [mg/dL] | −0.34 | −0.622 0.026 | 0.07 |
| TG [mg/dL] | −0.14 | −0.472 0.237 | 0.48 |
| LDL [mg/dL] | −0.31 | −0.606 0.056 | 0.09 |
| HDL [mg/dL] | −0.10 | −0.441 0.273 | 0.61 |
| Blueberry | |||
| Glucose [mg/dL] | −0.04 | −0.432 0.357 | 0.83 |
| Creatinine [mg/dL] | −0.11 | −0.438 0.252 | 0.57 |
| TC [mg/dL] | −0.10 | −0.443 0.272 | 0.61 |
| TG [mg/dL] | 0.01 | −0.354 0.367 | 0.97 |
| LDL [mg/dL] | −0.12 | −0.460 0.252 | 0.53 |
| HDL [mg/dL] | −0.03 | −0.383 0.337 | 0.74 |
| Apple | |||
| Glucose [mg/dL] | −0.26 | −0.591 0.155 | 0.22 |
| Creatinine [mg/dL] | 0.06 | −0.296 0.400 | 0.75 |
| TC [mg/dL] | −0.01 | −0.367 0.354 | 0.97 |
| TG [mg/dL] | 0.01 | −0.351 0.370 | 0.95 |
| LDL [mg/dL] | −0.03 | −0.387 0.333 | 0.87 |
| HDL [mg/dL] | −0.27 | −0.500 0.203 | 0.37 |
| Tea | |||
| Glucose [mg/dL] | −0.15 | −0.517 0.257 | 0.46 |
| Creatinine [mg/dL] | 0.22 | −0.136 0.531 | 0.22 |
| TC [mg/dL] | 0.33 | −0.04 0.616 | 0.08 |
| TG [mg/dL] | 0.28 | −0.084 0.585 | 0.13 |
| LDL [mg/dL] | 0.23 | −0.145 0.543 | 0.23 |
| HDL [mg/dL] | −0.01 | −0.366 0.355 | 0.97 |
| Coffee | |||
| Glucose [mg/dL] | −0.12 | −0.490 0.291 | 0.57 |
| Creatinine [mg/dL] | −0.27 | −0.564 0.09 | 0.14 |
| TC [mg/dL] | 0.25 | −0.119 0.562 | 0.18 |
| TG [mg/dL] | 0.32 | −0.044 0.611 | 0.08 |
| LDL [mg/dL] | 0.33 | −0.035 0.616 | 0.08 |
| HDL [mg/dL] | −0.16 | −0.491 0.213 | 0.40 |
| Wine | |||
| Glucose [mg/dL] | −0.15 | −0.513 0.262 | 0.48 |
| Creatinine [mg/dL] | −0.21 | −0.522 0.147 | 0.24 |
| TC [mg/dL] | 0.15 | −0.224 0.483 | 0.43 |
| TG [mg/dL] | −0.09 | −0.439 0.276 | 0.62 |
| LDL [mg/dL] | 0.15 | −0.225 0.482 | 0.44 |
| HDL [mg/dL] | 0.08 | −0.286 0.430 | 0.66 |
Disclaimer/Publisher’s Note: The statements, opinions and data contained in all publications are solely those of the individual author(s) and contributor(s) and not of MDPI and/or the editor(s). MDPI and/or the editor(s) disclaim responsibility for any injury to people or property resulting from any ideas, methods, instructions or products referred to in the content. |
© 2023 by the author. Licensee MDPI, Basel, Switzerland. This article is an open access article distributed under the terms and conditions of the Creative Commons Attribution (CC BY) license (https://creativecommons.org/licenses/by/4.0/).
Share and Cite
Popiolek-Kalisz, J. The Relationship between Dietary Flavonols Intake and Metabolic Syndrome in Polish Adults. Nutrients 2023, 15, 854. https://doi.org/10.3390/nu15040854
Popiolek-Kalisz J. The Relationship between Dietary Flavonols Intake and Metabolic Syndrome in Polish Adults. Nutrients. 2023; 15(4):854. https://doi.org/10.3390/nu15040854
Chicago/Turabian StylePopiolek-Kalisz, Joanna. 2023. "The Relationship between Dietary Flavonols Intake and Metabolic Syndrome in Polish Adults" Nutrients 15, no. 4: 854. https://doi.org/10.3390/nu15040854
APA StylePopiolek-Kalisz, J. (2023). The Relationship between Dietary Flavonols Intake and Metabolic Syndrome in Polish Adults. Nutrients, 15(4), 854. https://doi.org/10.3390/nu15040854

