Role of β-Alanine Supplementation on Cognitive Function, Mood, and Physical Function in Older Adults; Double-Blind Randomized Controlled Study
Abstract
1. Introduction
2. Materials and Methods
2.1. Participants
2.2. Study Protocol
2.3. Supplement Protocol
2.4. Cognitive and Mood Measures
2.5. Performance Assessments
2.6. Statistical Analysis
3. Results
3.1. Results of the MoCA Assessment
3.2. Results of the Stroop Test
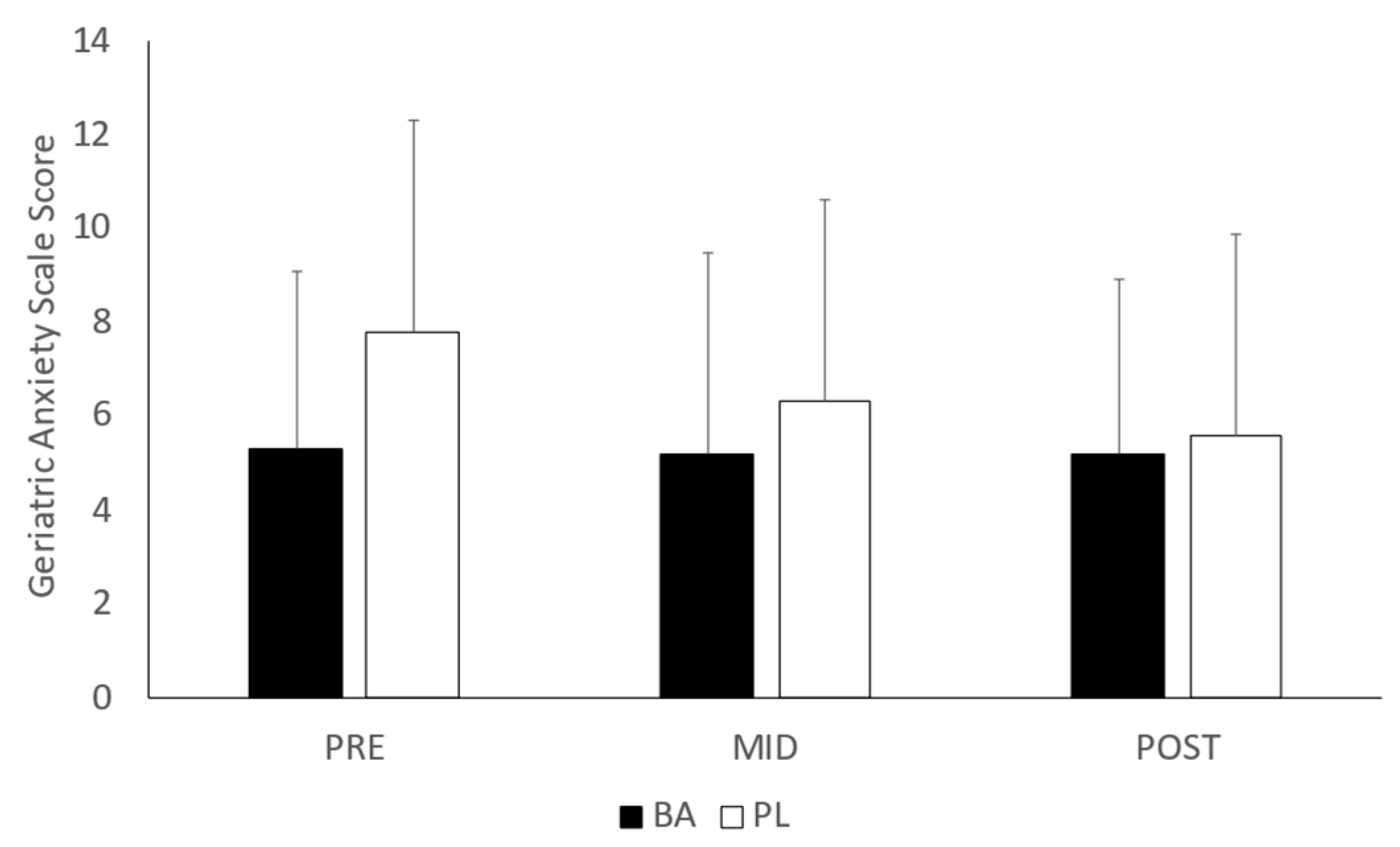
3.3. Results of the Behavioral Measures
3.4. Results of the Physical Performance Assessments
4. Discussion
Author Contributions
Funding
Institutional Review Board Statement
Informed Consent Statement
Data Availability Statement
Conflicts of Interest
References
- Saunders, B.; Elliott-Sale, K.; Artioli, G.G.; Swinton, P.A.; Dolan, E.; Roschel, H.; Sale, C.; Gualano, B. β-alanine supplementation to improve exercise capacity and performance: A systematic review and meta-analysis. Br. J. Sports Med. 2017, 51, 658–669. [Google Scholar] [CrossRef] [PubMed]
- Hobson, R.M.; Saunders, B.; Ball, G.; Harris, R.C.; Sale, C. Effects of β-alanine supplementation on exercise performance: A meta-analysis. Amino Acids 2012, 43, 25–37. [Google Scholar] [CrossRef] [PubMed]
- Harris, R.C.; Tallon, M.J.; Dunnett, M.; Boobis, L.; Coakley, J.; Kim, H.J.; Fallowfield, J.L.; Hill, C.A.; Sale, C.; Wise, J.A. The absorption of orally supplied beta-alanine and its effect on muscle carnosine synthesis in human vastus lateralis. Amino Acids 2006, 30, 279–289. [Google Scholar] [CrossRef] [PubMed]
- Derave, W.; Ozdemir, M.S.; Harris, R.C.; Pottier, A.; Reyngoudt, H.; Koppo, K.; Wise, J.A.; Achten, E. Beta-Alanine supplementation augments muscle carnosine content and attenuates fatigue during repeated isokinetic contraction bouts in trained sprinters. J. Appl. Physiol. 2007, 103, 1736–1743. [Google Scholar] [PubMed]
- Hoffman, J.; Ratamess, N.A.; Ross, R.; Kang, J.; Magrelli, J.; Neese, K.; Faigenbaum, A.D.; Wise, J.A. Beta-alanine and the hormonal response to exercise. Int. J. Sports Med. 2008, 29, 952–958. [Google Scholar] [CrossRef]
- Baguet, A.; Bourgois, J.; Vanhee, L.; Achten, E.; Derave, W. Important role of muscle carnosine in rowing performance. J. Appl. Physiol. 2010, 109, 1096–1101. [Google Scholar] [CrossRef]
- Boldyrev, A.A.; Aldini, G.; Derave, W. Physiology and pathophysiology of carnosine. Physiol. Rev. 2013, 93, 1803–1845. [Google Scholar] [CrossRef]
- Hoffman, J.R.; Landau, G.; Stout, J.R.; Dabora, M.; Moran, D.S.; Sharvit, N.; Hoffman, M.W.; Ben Moshe, Y.; McCormack, W.P.; Hirschhorn, G.; et al. β-alanine supplementation improves tactical performance but not cognitive function in combat soldiers. J. Int. Soc. Sports Nutr. 2014, 11, 15. [Google Scholar] [CrossRef]
- Hoffman, J.R.; Landau, G.; Stout, J.R.; Hoffman, M.W.; Shavit, N.; Rosen, P.; Moran, D.S.; Fukuda, D.H.; Shelef, I.; Carmom, E.; et al. β-Alanine ingestion increases muscle carnosine content and combat specific performance in soldiers. Amino Acids 2015, 47, 627–636. [Google Scholar] [CrossRef]
- Hoffman, J.R.; Rathmacher, J.A.; Robinson, J.; Gepner, Y.; Cohen, H. Effect of β-alanine supplementation on carnosine and histidine content in the hippocampus of 14-month-old rats. Appl. Physiol. Nutr. Metab. 2019, 44, 1112–1115. [Google Scholar] [CrossRef] [PubMed]
- Hoffman, J.R.; Ostfeld, I.; Stout, J.R.; Harris, R.C.; Kaplan, Z.; Cohen, H. β-Alanine supplemented diets enhance behavioral resilience to stress exposure in an animal model of PTSD. Amino Acids 2015, 47, 1247–1257. [Google Scholar] [CrossRef] [PubMed]
- Hoffman, J.R.; Zuckerman, A.; Ram, O.; Sadot, O.; Stout, J.R.; Ostfeld, I.; Cohen, H. Behavioral and inflammatory response in animals exposed to a low-pressure blast wave and supplemented with β-alanine. Amino Acids 2017, 49, 871–886. [Google Scholar] [CrossRef] [PubMed]
- Komleva, Y.; Chernykh, A.; Lopatina, O.; Gorina, Y.; Lokteva, I.; Salmina, A.; Gollasch, M. Inflamm-Aging and Brain Insulin Resistance: New Insights and Role of Life-style Strategies on Cognitive and Social Determinants in Aging and Neurodegeneration. Front. Neurosci. 2021, 14, 618395. [Google Scholar] [CrossRef]
- Cohen, R.A.; Marsiske, M.M.; Smith, G.E. Neuropsychology of aging. Handb. Clin. Neurol. 2019, 167, 149–180. [Google Scholar] [PubMed]
- Del Favero, S.; Roschel, H.; Solis, M.Y.; Hayashi, A.P.; Artioli, G.G.; Otaduy, M.C.; Benatti, F.B.; Harris, R.C.; Wise, J.A.; Leite, C.C.; et al. Beta-alanine (Carnosyn™) supplementation in elderly subjects (60-80 years): Effects on muscle carnosine content and physical capacity. Amino Acids 2012, 43, 49–56. [Google Scholar] [CrossRef]
- McCormack, W.P.; Stout, J.R.; Emerson, N.S.; Scanlon, T.C.; Warren, A.M.; Wells, A.J.; Gonzalez, A.M.; Mangine, G.T.; Robinson, E.H., IV; Fragala, M.S.; et al. Oral nutritional supplement fortified with beta-alanine improves physical working capacity in older adults: A randomized, placebo-controlled study. Exp. Gerontol. 2013, 48, 933–939. [Google Scholar] [CrossRef]
- Furst, T.; Massaro, A.; Miller, C.; Williams, B.T.; LaMacchia, Z.M.; Horvath, P.J. β-Alanine supplementation increased physical performance and improved executive function following endurance exercise in middle aged individuals. J. Int. Soc. Sports Nutr. 2018, 15, 32. [Google Scholar] [CrossRef]
- Solana-Manrique, C.; Sanz, F.J.; Martínez-Carrión, G.; Paricio, N. Antioxidant and Neuroprotective Effects of Carnosine: Therapeutic Implications in Neurodegenerative Diseases. Antioxidants 2022, 11, 848. [Google Scholar] [CrossRef]
- Artioli, G.G.; Sale, C.; Jones, R.L. Carnosine in health and disease. Eur. J. Sport Sci. 2019, 19, 30–39. [Google Scholar] [CrossRef]
- Hipkiss, A.R. On the Relationship between Energy Metabolism, Proteostasis, Aging and Parkinson’s Disease: Possible Causative Role of Methylglyoxal and Alleviative Potential of Carnosine. Aging Dis. 2017, 8, 334–345. [Google Scholar] [CrossRef]
- Nasreddine, Z.S.; Phillips, N.A.; Bédirian, V.; Charbonneau, S.; Whitehead, V.; Collin, I.; Cummings, J.L.; Chertkow, H. The Montreal Cognitive Assessment, MoCA: A brief screening tool for mild cognitive impairment. J. Am. Geriatr. Soc. 2005, 53, 695–699. [Google Scholar] [CrossRef]
- Freitas, S.; Simões, M.R.; Marôco, J.; Alves, L.; Santana, I. Construct Validity of the Montreal Cognitive Assessment (MoCA). J. Int. Neuropsychol. Soc. 2012, 18, 242–250. [Google Scholar] [CrossRef] [PubMed]
- Lifshitz, M.; Dwolatzky, T.; Press, Y. Validation of the Hebrew version of the MoCA test as a screening instrument for the early detection of mild cognitive impairment in elderly individuals. J. Geriatr. Psychiatry Neurol. 2012, 25, 155–161. [Google Scholar] [CrossRef] [PubMed]
- Stroop, R. Studies of interference in serial verbal reactions. J. Exp. Psychol. 1935, 18, 643–662. [Google Scholar] [CrossRef]
- Graf, P.; Uttl, B.; Tuokko, H. Color- and picture-word Stroop tests: Performance changes in old age. J. Clin. Exp. Neuropsychol. 1995, 17, 390–415. [Google Scholar] [CrossRef] [PubMed]
- McNair, D.M.; Lorr, M.; Droppleman, L.F. Profile of Mood States Manual; Educational and Industrial Testing Services: San Diego, CA, USA, 1971. [Google Scholar]
- Lesher, E.L.; Berryhill, J.S. Validation of the Geriatric Depression Scale--Short Form among inpatients. J. Clin. Psychol. 1994, 50, 256–260. [Google Scholar] [CrossRef] [PubMed]
- Brown, L.M.; Schinka, J.A. Development and initial validation of a 15-item informant version of the Geriatric Depression Scale. Int. J. Geriatr. Psychiatry 2005, 20, 911–918. [Google Scholar] [CrossRef]
- American Psychiatric Association. Diagnostic and Statistical Manual of Mental Disorders, 5th ed.; American Psychiatric Association: Washington, DC, USA, 2013; Volume 21, pp. 591–643. [Google Scholar]
- Segal, D.L.; June, A.; Payne, M.; Coolidge, F.L.; Yochim, B. Development and initial validation of a self-report assessment tool for anxiety among older adults: The Geriatric Anxiety Scale. J. Anxiety Disord. 2010, 24, 709–714. [Google Scholar] [CrossRef]
- Solis, M.Y.; Cooper, S.; Hobson, R.M.; Artioli, G.; Otaduy, M.C.; Roschel, H.; Robertson, J.; Martin, D.; Painelli, V.S.; Harris, R.C.; et al. Effects of beta-alanine supplementation on brain homocarnosine/carnosine signal and cognitive function: An exploratory study. PLoS ONE 2015, 10, e0123857. [Google Scholar] [CrossRef]
- Hoffman, J.R.; Gepner, Y.; Cohen, H. β-Alanine supplementation reduces anxiety and increases neurotrophin expression in both young and older rats. Nutr. Res. 2019, 62, 51–63. [Google Scholar] [CrossRef]
- McEwen, B.S. Plasticity of the hippocampus: Adaptation to chronic stress and allostatic load. Ann. N. Y. Acad. Sci. 2001, 933, 265–277. [Google Scholar] [CrossRef]
- Alvarez, J.A.; Emory, E. Executive function and the frontal lobes: A meta-analytic review. Neuropsychol. Rev. 2006, 16, 17–42. [Google Scholar] [CrossRef]
- Golden, C.J.; Freshwater, S.M. Stroop Color and Word Test: Adult Version. In A Manual for Clinical and Experimental Uses; Catalog No. 30150M; Nova Southeastern University: Fort Lauderdale, FL, USA, 2002. [Google Scholar]
- Hoffman, J.R.; Ratamess, N.A.; Faigenbaum, A.D.; Ross, R.; Kang, J.; Stout, J.R.; Wise, J.A. Short-duration beta-alanine supplementation increases training volume and reduces subjective feelings of fatigue in college football players. Nutr. Res. 2008, 28, 31–35. [Google Scholar] [CrossRef] [PubMed]
- Varanoske, A.N.; Wells, A.J.; Boffey, D.; Harat, I.; Frosti, C.L.; Kozlowski, G.J.; Gepner, Y.; Hoffman, J.R. Effects of High-Dose, Short-Duration β-Alanine Supplementation on Cognitive Function, Mood, and Circulating Brain-Derived Neurotropic Factor (BDNF) in Recreationally-Active Males Before Simulated Military Operational Stress. J. Diet. Suppl. 2021, 18, 147–168. [Google Scholar] [CrossRef] [PubMed]
- Murakami, T.; Furuse, M. The impact of taurine- and beta-alanine-supplemented diets on behavioral and neurochemical parameters in mice: Antidepressant versus anxiolytic-like effects. Amino Acids 2010, 39, 427–434. [Google Scholar] [CrossRef] [PubMed]
- Hoffman, J.R. (Ed.) Dietary supplementation; Prevalence of use, regulation and safety. In Dietary Supplementation in Sport and Exercise; Routledge Press: New York, NY, USA, 2019; pp. 1–21. [Google Scholar]
- Ben-Sasson, M.; Levy, I.; Ben-Arye, E.; Attias, S.; Schiff, E. Dietary and herbal supplements use among patients hospitalized in internal medicine departments. Complement. Ther. Med. 2020, 50, 102345. [Google Scholar] [CrossRef]





| Group | Time | Tension | Depression | Anger/Hostility | Vigor | Fatigue | Confusion | Total Mood Score |
|---|---|---|---|---|---|---|---|---|
| BA | PRE | 9.0 ± 6.8 | 6.1 ± 9.2 | 6.2 ± 4.1 | 23.8 ± 5.0 | 5.4 ± 6.0 | 7.7 ± 6.1 | 10.6 ± 27.0 |
| MID | 8.1 ± 5.9 | 5.2 ± 8.9 | 5.6 ± 4.0 | 25.1 ± 5.4 | 4.0 ± 4.4 | 6.8 ± 4.3 | 4.5 ± 27.3 | |
| POST | 7.2 ± 4.7 | 4.7 ± 6.9 | 4.9 ± 3.7 | 24.2 ± 6.1 | 4.7 ± 6.9 | 6.4 ± 4.1 | 2.6 ± 23.9 | |
| PL | PRE | 8.8 ± 5.7 | 7.0 ± 8.7 | 6.0 ± 4.9 | 21.8 ± 5.7 | 5.4 ± 4.1 | 8.6 ± 5.4 | 13.9 ± 25.7 |
| MID | 9.6 ± 6.6 | 5.8 ± 6.9 | 7.0 ± 4.6 | 22.0 ± 6.6 | 5.0 ± 4.7 | 9.1 ± 5.7 | 14.6 ± 28.1 | |
| POST | 8.3 ± 5.3 | 5.7 ± 6.7 | 5.7 ± 4.4 | 21.3 ± 7.3 | 5.7 ± 6.7 | 8.3 ± 5.3 | 12.1 ± 25.1 |
| Group | Time | Body Mass (kg) | Hand Grip (kg) | Sit-to-Stand (s) | Peak Power (w) | Mean Power (w) | Fatigue Rate (%) |
|---|---|---|---|---|---|---|---|
| BA | PRE | 80.5 ± 20.0 | 32.2 ± 15.6 | 8.5 ± 2.6 | 409.7 ± 160.8 | 368.6 ± 140.3 | 77.8 ± 13.0 |
| MID | 80.3 ± 19.9 | 32.6 ± 15.4 | 7.9 ± 2.3 | 429.0 ± 157.0 | 376.8 ± 127.2 | 75.8 ± 13.7 | |
| POST | 80.6 ± 20.3 | 33.3 ± 15.1 | 7.6 ± 2.3 | 409.3 ± 141.4 | 371.0 ± 130.5 | 79.7 ± 11.3 | |
| PL | PRE | 69.7 ± 12.6 | 24.1 ± 9.9 | 9.4 ± 2.8 | 332.7 ± 105.1 | 302.6 ± 95.1 | 78.4 ± 10.4 |
| MID | 69.8 ± 12.3 | 24.5 ± 9.2 | 8.8 ± 2.6 | 336.2 ± 106.7 | 311.9 ± 97.0 | 80.7 ± 9.5 | |
| POST | 69.9 ± 12.2 | 24.8 ± 9.4 | 8.3 ± 2.7 | 362.3 ± 117.2 | 330.6 ± 104.3 | 79.3 ± 11.4 |
Disclaimer/Publisher’s Note: The statements, opinions and data contained in all publications are solely those of the individual author(s) and contributor(s) and not of MDPI and/or the editor(s). MDPI and/or the editor(s) disclaim responsibility for any injury to people or property resulting from any ideas, methods, instructions or products referred to in the content. |
© 2023 by the authors. Licensee MDPI, Basel, Switzerland. This article is an open access article distributed under the terms and conditions of the Creative Commons Attribution (CC BY) license (https://creativecommons.org/licenses/by/4.0/).
Share and Cite
Ostfeld, I.; Ben-Zeev, T.; Zamir, A.; Levi, C.; Gepner, Y.; Springer, S.; Hoffman, J.R. Role of β-Alanine Supplementation on Cognitive Function, Mood, and Physical Function in Older Adults; Double-Blind Randomized Controlled Study. Nutrients 2023, 15, 923. https://doi.org/10.3390/nu15040923
Ostfeld I, Ben-Zeev T, Zamir A, Levi C, Gepner Y, Springer S, Hoffman JR. Role of β-Alanine Supplementation on Cognitive Function, Mood, and Physical Function in Older Adults; Double-Blind Randomized Controlled Study. Nutrients. 2023; 15(4):923. https://doi.org/10.3390/nu15040923
Chicago/Turabian StyleOstfeld, Ishay, Tavor Ben-Zeev, Amit Zamir, Chagai Levi, Yftach Gepner, Shmuel Springer, and Jay R. Hoffman. 2023. "Role of β-Alanine Supplementation on Cognitive Function, Mood, and Physical Function in Older Adults; Double-Blind Randomized Controlled Study" Nutrients 15, no. 4: 923. https://doi.org/10.3390/nu15040923
APA StyleOstfeld, I., Ben-Zeev, T., Zamir, A., Levi, C., Gepner, Y., Springer, S., & Hoffman, J. R. (2023). Role of β-Alanine Supplementation on Cognitive Function, Mood, and Physical Function in Older Adults; Double-Blind Randomized Controlled Study. Nutrients, 15(4), 923. https://doi.org/10.3390/nu15040923

