Serum Nutritional Biomarkers and All-Cause and Cause-Specific Mortality in U.S. Adults with Metabolic Syndrome: The Results from National Health and Nutrition Examination Survey 2001–2006
Abstract
1. Introduction
2. Methods
2.1. Study Participants
2.2. Definition of MetS
2.3. Laboratory-Based Biomarkers Measurements
2.4. Ascertainment of Deaths
2.5. Covariates
2.6. Statistical Analysis
3. Results
3.1. Participants’ Characteristics
3.2. Individual Nutritional Status and Mortality Risk
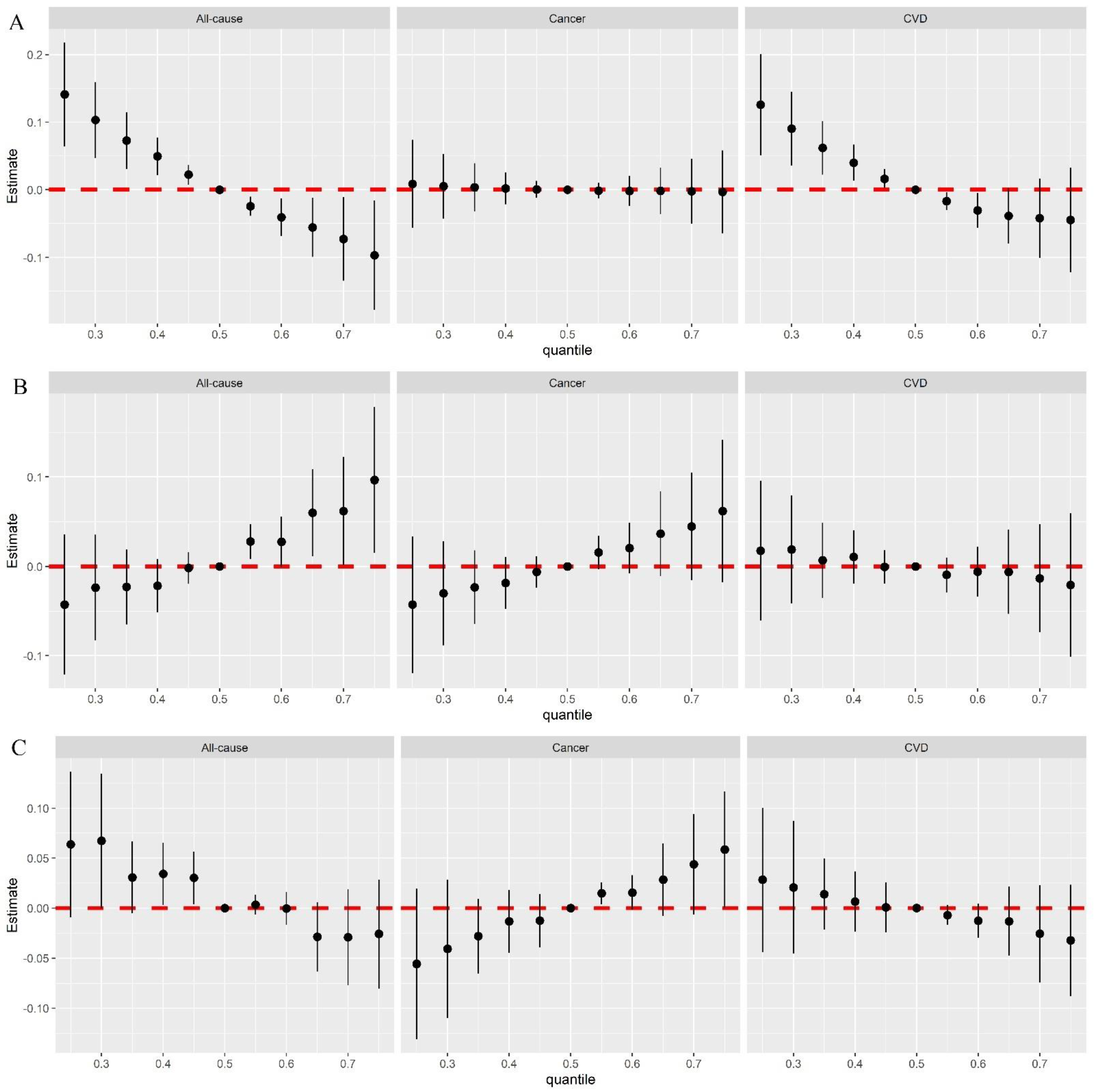
3.3. Mixture Nutritional Status and Mortality Risk
4. Discussion
5. Conclusions
Supplementary Materials
Author Contributions
Funding
Institutional Review Board Statement
Informed Consent Statement
Data Availability Statement
Acknowledgments
Conflicts of Interest
Abbreviations
Appendix A
Appendix A.1. Detailed Descriptions of Laboratory Methodology of Serum Biomarkers
Appendix A.2. Laboratory Quality Assurance and Monitoring of Serum Biomarkers
References
- Song, T.; Eirin, A.; Zhu, X.; Zhao, Y.; Krier, J.D.; Tang, H.; Jordan, K.L.; Woollard, J.R.; Taner, T.; Lerman, A.; et al. Mesenchymal Stem Cell–Derived Extracellular Vesicles Induce Regulatory T Cells to Ameliorate Chronic Kidney Injury. Hypertension 2020, 75, 1223–1232. [Google Scholar] [CrossRef] [PubMed]
- Wen, Y.; Liu, T.; Ma, C.; Fang, J.; Zhao, Z.; Luo, M.; Xia, Y.; Zhao, Y.; Ji, C. Association between handgrip strength and metabolic syndrome: A meta-analysis and systematic review. Front. Nutr. 2022, 9, 996645. [Google Scholar] [CrossRef]
- Huang, J.-H.; Li, R.-H.; Huang, S.-L.; Sia, H.-K.; Hsu, W.-T.; Tang, F.-C. Health-Associated Nutrition and Exercise Behaviors in Relation to Metabolic Risk Factors Stratified by Body Mass Index. Int. J. Environ. Res. Public Health 2019, 16, 869. [Google Scholar] [CrossRef] [PubMed]
- Aguilar, M.; Bhuket, T.; Torres, S.; Liu, B.; Wong, R.J. Prevalence of the Metabolic Syndrome in the United States, 2003–2012. JAMA 2015, 313, 1973–1974. [Google Scholar] [CrossRef] [PubMed]
- Choi, S.; Kim, K.; Lee, J.-K.; Choi, J.-Y.; Shin, A.; Park, S.K.; Kang, D.; Park, S.M. Association between Change in Alcohol Consumption and Metabolic Syndrome: Analysis from the Health Examinees Study. Diabetes Metab. J. 2019, 43, 615–626. [Google Scholar] [CrossRef]
- Santos-Marcos, J.A.; Perez-Jimenez, F.; Camargo, A. The role of diet and intestinal microbiota in the development of metabolic syndrome. J. Nutr. Biochem. 2019, 70, 1–27. [Google Scholar] [CrossRef]
- Qiu, Z.; Chen, X.; Geng, T.; Wan, Z.; Lu, Q.; Li, L.; Zhu, K.; Zhang, X.; Liu, Y.; Lin, X.; et al. Associations of Serum Carotenoids With Risk of Cardiovascular Mortality Among Individuals With Type 2 Diabetes: Results From NHANES. Diabetes Care 2022, 45, 1453–1461. [Google Scholar] [CrossRef]
- Huang, J.; Weinstein, S.J.; Yu, K.; Männistö, S.; Albanes, D. Serum Beta Carotene and Overall and Cause-Specific Mortality. Circ. Res. 2018, 123, 1339–1349. [Google Scholar] [CrossRef]
- Fu, Z.; Zhang, X.; Zhao, X.; Wang, Q. U-Shaped Relationship of Sodium-to-chloride Ratio on admission and Mortality in Elderly Patients with Heart Failure: A Retrospective Cohort Study. Curr. Probl. Cardiol. 2023, 48, 101419. [Google Scholar] [CrossRef]
- Kimura, T.; Hashimoto, Y.; Tanaka, M.; Asano, M.; Yamazaki, M.; Oda, Y.; Toda, H.; Marunaka, Y.; Nakamura, N.; Fukui, M. Sodium-chloride Difference and Metabolic Syndrome: A Population-based Large-scale Cohort Study. Intern. Med. 2016, 55, 3085–3090. [Google Scholar] [CrossRef]
- Adrogué, H.J.; Tucker, B.M.; Madias, N.E. Diagnosis and Management of Hyponatremia: A Review. JAMA 2022, 328, 280–291. [Google Scholar] [CrossRef]
- Falk, R.S.; Robsahm, T.E.; Paulsen, J.E.; Stocks, T.; Drake, I.; Heir, T. Fasting serum potassium and long-term mortality in healthy men. BMC Public Health 2021, 21, 711. [Google Scholar] [CrossRef]
- Collins, A.J.; Pitt, B.; Reaven, N.; Funk, S.; McGaughey, K.; Wilson, D.; Bushinsky, D.A. Association of Serum Potassium with All-Cause Mortality in Patients with and without Heart Failure, Chronic Kidney Disease, and/or Diabetes. Am. J. Nephrol. 2017, 46, 213–221. [Google Scholar] [CrossRef]
- Han, G.-M.; Meza, J.L.; Soliman, G.A.; Islam, K.M.; Watanabe-Galloway, S. Higher levels of serum lycopene are associated with reduced mortality in individuals with metabolic syndrome. Nutr. Res. 2016, 36, 402–407. [Google Scholar] [CrossRef]
- Neeland, I.J.; Poirier, P.; Després, J.P. Cardiovascular and Metabolic Heterogeneity of Obesity: Clinical Challenges and Im-plications for Management. Circulation 2018, 137, 1391–1406. [Google Scholar] [CrossRef]
- Vasileva, L.V.; Savova, M.S.; Amirova, K.M.; Dinkova-Kostova, A.T.; Georgiev, M.I. Obesity and NRF2-mediated cytoprotection: Where is the missing link? Pharmacol. Res. 2020, 156, 104760. [Google Scholar] [CrossRef]
- de Oliveira, E.M.; Silva, J.C.; Ascar, T.P.; Sandri, S.; Marchi, A.F.; Migliorini, S.; Nakaya, H.T.I.; Fock, R.A.; Campa, A. Acute Inflammation Is a Predisposing Factor for Weight Gain and Insulin Resistance. Pharmaceutics 2022, 14, 623. [Google Scholar] [CrossRef]
- Liu, L.; Cui, S.; Volpe, S.L.; May, N.S.; Sukumar, D.; DiMaria-Ghalili, R.A.; Eisen, H.J. Vitamin d deficiency and metabolic syndrome: The joint effect on cardiovascular and all-cause mortality in the United States adults. World J. Cardiol. 2022, 14, 411–426. [Google Scholar] [CrossRef]
- Cefalo, C.M.A.; Conte, C.; Sorice, G.P.; Moffa, S.; Sun, V.A.; Cinti, F.; Salomone, E.; Muscogiuri, G.; Brocchi, A.A.G.; Pontecorvi, A.; et al. Effect of Vitamin D Supplementation on Obesity-Induced Insulin Resistance: A Double-Blind, Randomized, Place-bo-Controlled Trial. Obesity 2018, 26, 651–657. [Google Scholar] [CrossRef]
- Skaaby, T. The relationship of vitamin D status to risk of cardiovascular disease and mortality. Dan. Med. J. 2015, 62, B5008. [Google Scholar]
- Müller, L.; Caris-Veyrat, C.; Lowe, G.; Böhm, V. Lycopene and Its Antioxidant Role in the Prevention of Cardiovascular Diseases—A Critical Review. Crit. Rev. Food Sci. Nutr. 2014, 56, 1868–1879. [Google Scholar] [CrossRef] [PubMed]
- Thomas, G.N.; ó Hartaigh, B.; Bosch, J.A.; Pilz, S.; Loerbroks, A.; Kleber, M.E.; Fischer, J.E.; Grammer, T.B.; Böhm, B.O.; März, W. Vitamin D levels predict all-cause and cardiovascular disease mortality in subjects with the metabolic syndrome: The Lud-wigshafen Risk and Cardiovascular Health (LURIC) Study. Diabetes Care 2012, 35, 1158–1164. [Google Scholar] [CrossRef] [PubMed]
- Lamprecht, M.; Obermayer, G.; Seebauer, W. Influence of Mixed Fruit and Vegetable Concentrates on Redox Homeostasis and Immune System of Exercising People; CRC Press: Boca Raton, FL, USA, 2014; pp. 183–202. [Google Scholar] [CrossRef]
- Grundy, S.M.; Stone, N.J.; Bailey, A.L.; Beam, C.; Birtcher, K.K.; Blumenthal, R.S.; Braun, L.T.; de Ferranti, S.; Faiella-Tommasino, J.; Forman, D.E.; et al. 2018 AHA/ACC/AACVPR/AAPA/ABC/ACPM/ADA/AGS/APhA/ASPC/NLA/PCNA Guideline on the Management of Blood Cholesterol: A Report of the American College of Cardiology/American Heart Association Task Force on Clinical Practice Guidelines. Circulation 2019, 139, e1082–e1143. [Google Scholar] [PubMed]
- Bobb, J.F.; Valeri, L.; Henn, B.C.; Christiani, D.C.; Wright, R.O.; Mazumdar, M.; Godleski, J.J.; Coull, B.A. Bayesian kernel machine regression for estimating the health effects of multi-pollutant mixtures. Biostatistics 2014, 16, 493–508. [Google Scholar] [CrossRef] [PubMed]
- Li, H.; Deng, W.; Small, R.; Schwartz, J.; Liu, J.; Shi, L. Health effects of air pollutant mixtures on overall mortality among the elderly population using Bayesian kernel machine regression (BKMR). Chemosphere 2022, 286 Pt 1, 131566. [Google Scholar] [CrossRef]
- Bellavia, A.; James-Todd, T.; Williams, P.L. Approaches for incorporating environmental mixtures as mediators in mediation analysis. Environ. Int. 2018, 123, 368–374. [Google Scholar] [CrossRef]
- Shardell, M.D.; Alley, D.E.; Hicks, G.E.; El-Kamary, S.S.; Miller, R.R.; Semba, R.D.; Ferrucci, L. Low-serum carotenoid con-centrations and carotenoid interactions predict mortality in US adults: The Third National Health and Nutrition Examination Survey. Nutr. Res. 2011, 31, 178–189. [Google Scholar] [CrossRef]
- Min, K.; Min, J. Serum carotenoid levels and risk of lung cancer death in US adults. Cancer Sci. 2014, 105, 736–743. [Google Scholar] [CrossRef]
- Ito, Y.; Kurata, M.; Suzuki, K.; Hamajima, N.; Hishida, H.; Aoki, K. Cardiovascular Disease Mortality and Serum Carotenoid Levels: A Japanese Population-based Follow-up Study. J. Epidemiol. 2006, 16, 154–160. [Google Scholar] [CrossRef]
- Donaldson, M.S. A Carotenoid Health Index Based on Plasma Carotenoids and Health Outcomes. Nutrients 2011, 3, 1003–1022. [Google Scholar] [CrossRef]
- Buijsse, B.; Feskens, E.J.M.; Kwape, L.; Kok, F.J.; Kromhout, D. Both α- and β-Carotene, but Not Tocopherols and Vitamin C, Are Inversely Related to 15-Year Cardiovascular Mortality in Dutch Elderly Men. J. Nutr. 2008, 138, 344–350. [Google Scholar] [CrossRef]
- Aune, D.; Keum, N.; Giovannucci, E.; Fadnes, L.T.; Boffetta, P.; Greenwood, D.C.; Tonstad, S.; Vatten, L.J.; Riboli, E.; Norat, T. Dietary intake and blood concentrations of antioxidants and the risk of cardiovascular disease, total cancer, and all-cause mortality: A systematic review and dose-response meta-analysis of prospective studies. Am. J. Clin. Nutr. 2018, 108, 1069–1091. [Google Scholar] [CrossRef]
- Jayedi, A.; Rashidy-Pour, A.; Parohan, M.; Zargar, M.S.; Shab-Bidar, S. Dietary Antioxidants, Circulating Antioxidant Concentrations, Total Antioxidant Capacity, and Risk of All-Cause Mortality: A Systematic Review and Dose-Response Meta-Analysis of Prospective Observational Studies. Adv. Nutr. Int. Rev. J. 2018, 9, 701–716. [Google Scholar] [CrossRef]
- Ambati, R.R.; Phang, S.-M.; Ravi, S.; Aswathanarayana, R.G. Astaxanthin: Sources, extraction, stability, biological activities and its commercial applications—A review. Mar. Drugs 2014, 12, 128–152. [Google Scholar] [CrossRef]
- Evans, J.L.; Goldfine, I.D.; Maddux, B.A.; Grodsky, G.M. Are oxidative stress-activated signaling pathways mediators of insulin resistance and beta-cell dysfunction? Diabetes 2003, 52, 1–8. [Google Scholar] [CrossRef]
- Bonet, M.L.; Canas, J.A.; Ribot, J.; Palou, A. Carotenoids and their conversion products in the control of adipocyte function, adiposity and obesity. Arch. Biochem. Biophys. 2015, 572, 112–125. [Google Scholar] [CrossRef]
- Kim, J.-H.; Na, H.-J.; Kim, C.-K.; Kim, J.-Y.; Ha, K.-S.; Lee, H.; Chung, H.-T.; Kwon, H.J.; Kwon, Y.-G.; Kim, Y.-M. The non-provitamin A carotenoid, lutein, inhibits NF-kappaB-dependent gene expression through redox-based regulation of the phosphatidylinositol 3-kinase/PTEN/Akt and NF-kappaB-inducing kinase pathways: Role of H2O2 in NF-kappaB activation. Free Radic. Biol. Med. 2008, 45, 885–896. [Google Scholar] [CrossRef]
- Canas, J.A.; Lochrie, A.; McGowan, A.G.; Hossain, J.; Schettino, C.; Balagopal, P.B. Effects of Mixed Carotenoids on Adi-pokines and Abdominal Adiposity in Children: A Pilot Study. J. Clin. Endocrinol. Metab. 2017, 102, 1983–1990. [Google Scholar] [CrossRef]
- Lyu, Y.; Wu, L.; Wang, F.; Shen, X.; Lin, D. Carotenoid supplementation and retinoic acid in immunoglobulin A regulation of the gut microbiota dysbiosis. Exp. Biol. Med. 2018, 243, 613–620. [Google Scholar] [CrossRef] [PubMed]
- van Herpen-Broekmans, W.M.; Klöpping-Ketelaars, I.A.; Bots, M.L.; Kluft, C.; Princen, H.; Hendriks, H.F.; Tijburg, L.B.; van Poppel, G.; Kardinaal, A.F. Serum carotenoids and vitamins in relation to markers of endothelial function and inflammation. Eur. J. Epidemiol. 2004, 19, 915–921. [Google Scholar] [CrossRef]
- Loprinzi, P.D.; Hall, M.E. Effect of Serum Potassium on All-Cause Mortality in the General US Population. Mayo Clin. Proc. 2017, 92, 320. [Google Scholar] [CrossRef] [PubMed]
- Chen, Y.; Chang, A.R.; DeMarco, M.A.M.; Inker, L.A.; Matsushita, K.; Ballew, S.H.; Coresh, J.; Grams, M.E. Serum Potassium, Mortality, and Kidney Outcomes in the Atherosclerosis Risk in Communities Study. Mayo Clin. Proc. 2016, 91, 1403–1412. [Google Scholar] [CrossRef] [PubMed]
- Liu, S.; Zhao, D.; Wang, M.; Qi, Y.; Sun, J.; Liu, J.; Li, Y.; Liu, J. Association of Serum Potassium Levels with Mortality and Cardiovascular Events: Findings from the Chinese Multi-provincial Cohort Study. J. Gen. Intern. Med. 2021, 37, 2446–2453. [Google Scholar] [CrossRef] [PubMed]
- Johnson, L.S.; Mattsson, N.; Sajadieh, A.; Wollmer, P.; Söderholm, M. Serum Potassium Is Positively Associated With Stroke and Mortality in the Large, Population-Based Malmö Preventive Project Cohort. Stroke 2017, 48, 2973–2978. [Google Scholar] [CrossRef]
- Kovesdy, C.P.; Matsushita, K.; Sang, Y.; Brunskill, N.J.; Carrero, J.J.; Chodick, G.; Hasegawa, T.; Heerspink, H.L.; Hirayama, A.; Landman, G.W.D.; et al. Serum potassium and adverse outcomes across the range of kidney function: A CKD Prognosis Consortium meta-analysis. Eur. Heart J. 2018, 39, 1535–1542. [Google Scholar] [CrossRef]
- O’Neill, S.; O’Driscoll, L. Metabolic syndrome: A closer look at the growing epidemic and its associated pathologies. Obes. Rev. 2014, 16, 1–12. [Google Scholar] [CrossRef]
- Alemany, M. Regulation of adipose tissue energy availability through blood flow control in the metabolic syndrome. Free Radic. Biol. Med. 2012, 52, 2108–2119. [Google Scholar] [CrossRef]
- Dobre, M.; Pajewski, N.M.; Beddhu, S.; Chonchol, M.; Hostetter, T.H.; Li, P.; Rahman, M.; Servilla, K.; Weiner, D.E.; Wright, J.T.; et al. Serum bicarbonate and cardiovascular events in hypertensive adults: Results from the Systolic Blood Pressure Intervention Trial. Nephrol. Dial. Transplant. 2019, 35, 1377–1384. [Google Scholar] [CrossRef]
- Zhang, Y.; Dong, T.; Hu, W.; Wang, X.; Xu, B.; Lin, Z.; Hofer, T.; Stefanoff, P.; Chen, Y.; Wang, X.; et al. Association between exposure to a mixture of phenols, pesticides, and phthalates and obesity: Comparison of three statistical models. Environ. Int. 2018, 123, 325–336. [Google Scholar] [CrossRef]
- Carotene, Beta. Available online: https://www.mayocliniclabs.com/test-catalog/overview/75178#Clinical-and-Interpretive (accessed on 30 October 2022).
- Kanda, E.; Ai, M.; Yoshida, M.; Kuriyama, R.; Shiigai, T. High serum bicarbonate level within the normal range prevents the progression of chronic kidney disease in elderly chronic kidney disease patients. BMC Nephrol. 2013, 14, 4. [Google Scholar] [CrossRef]
- Walker, H.K.; Hall, W.D.; Hurst, J.W. Clinical Methods: The History, Physical, And Laboratory Examinations; Butterworths: Boston, MA, USA, 1990. [Google Scholar]
- Cooper, M.S.; Gittoes, N.J.L. Diagnosis and management of hypocalcaemia. BMJ 2008, 336, 1298–1302. [Google Scholar] [CrossRef]
- Frølich, A. Prevalence of hypercalcaemia in normal and in hospital populations. Dan. Med. Bull. 1998, 45. [Google Scholar]
- Morrison, G. Serum Chloride. In Clinical Methods: The History, Physical, and Laboratory Examinations, 3rd ed.; Walker, H.K., Hall, W.D., Hurst, J.W., Eds.; Butterworths: Boston, MA, USA, 1990. [Google Scholar]
- Richard, M.; Matthew, P. Henry’s Clinical Diagnosis and Management by Laboratory Methods, 21st ed.; Elsevier: Amsterdam, The Netherlands, 2007; p. 506. [Google Scholar]
- Cappellinin, M.D.; Lo, S.F.; Swickels, D.W. Tietz Textbook of Clinical Chemistry and Molecular Diagnostics, 6th ed.; Rafai, N., Horvath, A.R., Wittwer, C.T., Eds.; Elsevier: Amsterdam, The Netherlands, 2018; pp. 719–775. [Google Scholar]
- Pfeiffer, C.M.; Sternberg, M.R.; Fazili, Z.; Lacher, D.A.; Zhang, M.; Johnson, C.L.; Hamner, H.C.; Bailey, R.L.; Rader, J.I.; Yamini, S.; et al. Folate status and concentrations of serum folate forms in the US population: National Health and Nutrition Examination Survey 2011–. Br. J. Nutr. 2015, 113, 1965–1977. [Google Scholar] [CrossRef] [PubMed]
- Williams, D.; Kenyon, A.; Adamson, D. Chapter Ten-Physiology. In Basic Science in Obstetrics and Gynaecology, 4th ed.; Bennett, P., Williamson, C., Eds.; Churchill Livingstone: London, UK, 2010; pp. 173–230. [Google Scholar]
- Rock, C.L.; Thornquist, M.D.; Neuhouser, M.L.; Kristal, A.R.; Neumark-Sztainer, D.; Cooper, D.A.; Patterson, R.E.; Cheskin, L.J. Diet and Lifestyle Correlates of Lutein in the Blood and Diet. J. Nutr. 2002, 132, 525S–530S. [Google Scholar] [CrossRef]
- Schupp, C.; Olano-Martin, E.; Gerth, C.; Morrissey, B.M.; E Cross, C.; Werner, J.S. Lutein, zeaxanthin, macular pigment, and visual function in adult cystic fibrosis patients. Am. J. Clin. Nutr. 2004, 79, 1045–1052. [Google Scholar] [CrossRef]
- Cámara, M. Chapter 11-Lycopene: A Review of Chemical and Biological Activity Related to Beneficial Health Effects. In Studies in Natural Products Chemistry; Attaur, R., Ed.; Elsevier: Amsterdam, The Netherlands, 2013; pp. 383–426. [Google Scholar]
- Koumakis, E.; Cormier, C.; Roux, C.; Briot, K. The Causes of Hypo- and Hyperphosphatemia in Humans. Calcif. Tissue Int. 2020, 108, 41–73. [Google Scholar] [CrossRef]
- Jin, A.; Zhao, M.; Sun, Y.; Feng, X.; Zhang, R.; Qiao, Q.; Wang, H.; Yuan, J.; Wang, Y.; Cheng, L.; et al. Normal range of serum potassium, prevalence of dyskalaemia and associated factors in Chinese older adults: A cross-sectional study. BMJ Open 2020, 10, e039472. [Google Scholar] [CrossRef]
- McKee, M.; Exall, S.; Stuckler, D.; Wolff, A. ‘Normal’ serum sodium concentration among inpatients over 65 admitted to hospital: An observational study. Hear 2015, 92, 21–26. [Google Scholar] [CrossRef] [PubMed]
- Ball, G.F.M. Vitamins: Their Role In The Human Body; Blackwell Publishing: Hoboken, NJ, USA, 2004; pp. 133–187. [Google Scholar]
- Norasyikin, A.; Rozita, M.; Johan, M.M.; Suehazlyn, Z. Autoimmune polyglandular syndrome presenting with jaundice and thrombocytopenia. Med. Princ. Prac. 2014, 23, 387–389. [Google Scholar] [CrossRef] [PubMed]
- Vieth, R. What is the optimal vitamin D status for health? Prog. Biophys. Mol. Biol. 2006, 92, 26–32. [Google Scholar] [CrossRef] [PubMed]
- Holick, M.F.; Binkley, N.C.; Bischoff-Ferrari, H.A.; Gordon, C.M.; Hanley, D.A.; Heaney, R.P.; Murad, M.H.; Weaver, C.M. Evaluation, Treatment, and Prevention of Vitamin D Deficiency: An Endocrine Society Clinical Practice Guideline. Med. J. Clin. Endocrinol. Metab. 2011, 96, 1911–1930. [Google Scholar] [CrossRef]



| Characteristics | All | Survival | Death | p-Value |
|---|---|---|---|---|
| (n = 1455) | (n = 1002) | (n = 453) | ||
| Age (years) | 47.51 (39.79–60.87) | 45.49 (37.83–53.60) | 65.20 (50.89–74.11) | <0.001 |
| Female, n (%) | 878 (62.30) | 662 (49.38) | 216 (12.92) | <0.001 |
| Race/ethnicity, n (%) | 0.0148 | |||
| NH White | 775 (73.06) | 474 (53.09) | 301 (19.97) | |
| NH Black | 271 (10.47) | 198 (8.51) | 73 (1.96) | |
| Mexican American | 305 (7.08) | 250 (6.44) | 55 (0.64) | |
| Others | 104 (9.39) | 80 (7.23) | 24 (2.15) | |
| BMI, n (%) | <0.001 | |||
| Underweight or normal | 157 (9.60) | 85 (5.96) | 72 (3.64) | |
| Overweight | 512 (32.84) | 319 (23.46) | 193 (9.39) | |
| Obesity | 786 (57.56) | 598 (45.86) | 188 (11.70) | |
| Education, n (%) | 0.0015 | |||
| Below high school or GED | 451 (20.59) | 286 (13.81) | 165 (6.77) | |
| High school graduate | 374 (28.26) | 250 (20.65) | 124 (7.62) | |
| Some college or AA degree | 373 (29.36) | 279 (23.27) | 94 (6.09) | |
| College graduate or above | 257 (21.79) | 187 (17.55) | 70 (4.24) | |
| Smoking status, n (%) | <0.001 | |||
| Nonsmoker | 721 (48.42) | 545 (39.45) | 176 (8.97) | |
| Former smoker | 449 (28.87) | 259 (19.26) | 190 (9.61) | |
| Current smoker | 285 (22.71) | 198 (16.57) | 87 (6.14) | |
| Alcohol use, n (%) | 0.6851 | |||
| Nondrinker | 263 (15.91) | 180 (12.13) | 83 (3.78) | |
| Former drinker | 289 (19.22) | 203 (14.05) | 86 (5.17) | |
| Current drinker | 903 (64.87) | 619 (49.10) | 284 (15.77) | |
| Physical activity, n (%) | 0.0025 | |||
| Low | 336 (25.27) | 269 (20.99) | 67 (4.28) | |
| Medium | 488 (37.18) | 325 (27.25) | 163 (9.93) | |
| High | 631 (37.55) | 408 (27.05) | 223 (10.51) | |
| Annual family income, n (%) | <0.001 | |||
| USD 0–USD 19999 | 433 (23.23) | 257 (14.82) | 176 (8.41) | |
| USD 20000–USD 34999 | 356 (21.12) | 217 (13.87) | 139 (7.25) | |
| USD 35000–USD 74999 | 433 (32.80) | 335 (26.79) | 98 (6.00) | |
| >USD 75000 | 233 (22.85) | 193 (19.80) | 40 (3.05) | |
| History of chronic disease | 862 (56.55) | 527 (38.64) | 335 (17.92) | <0.001 |
| MetS components, n (%) | ||||
| Elevated waist circumference | 1226 (85.05) | 865 (64.95) | 361 (20.10) | 0.0299 |
| Elevated triglycerides | 907 (61.99) | 607 (44.82) | 300 (17.16) | 0.0178 |
| Reduced HDL-C | 1216 (84.61) | 849 (65.27) | 367 (19.34) | 0.0061 |
| Hypertension | 1119 (75.61) | 716 (53.55) | 403 (22.05) | <0.001 |
| Elevated fasting glucose | 773 (50.80) | 503 (36.00) | 270 (14.80) | 0.0012 |
| Nutritional Biomarkers | Mean (SD) | HRs (95% CI) | p for Linear Trend b | ||
|---|---|---|---|---|---|
| Quartile 2 a | Quartile 3 | Quartile 4 | |||
| α-carotene (μmol/L) | 0.07 (0.00) | 0.87 (0.61–1.25) | 0.56 (0.38–0.83) | 0.56 (0.40–0.78) | 0.0027 |
| β-carotene (μmol/L) | 0.28 (0.01) | 0.60 (0.38–0.95) | 0.71 (0.54–0.95) | 0.72 (0.48–1.09) | 0.5785 |
| β-cryptoxanthin (μmol/L) | 0.15 (0.00) | 0.98 (0.74–1.31) | 0.84 (0.66–1.06) | 0.69 (0.51–0.93) | 0.0278 |
| Bicarbonate (mmol/L) | 23.57 (0.15) | 0.74 (0.55–1.01) | 0.43 (0.32–0.58) | 0.70 (0.52–0.93) | 0.1495 |
| Calcium (mmol/L) | 2.36 (0.00) | 1.15 (0.74–1.80) | 1.22 (0.79–1.88) | 1.23 (0.84–1.80) | 0.4289 |
| Chloride (mmol/L) | 103.03 (0.17) | 0.94 (0.69–1.29) | 0.73 (0.57–0.93) | 0.72 (0.54–0.96) | 0.0474 |
| Ferritin (ug/L) | 144.30 (5.65) | 0.82 (0.60–1.11) | 0.99 (0.75–1.30) | 1.04 (0.79–1.38) | 0.3354 |
| Folate (nmol/L) | 33.35 (1.16) | 1.02 (0.71–1.47) | 1.09 (0.79–1.51) | 1.09 (0.75–1.57) | 0.774 |
| Iron (μmol/L) | 14.65 (0.24) | 0.76 (0.53–1.09) | 0.83 (0.54–1.26) | 0.95 (0.74–1.21) | 0.774 |
| Lutein/zeaxanthin (μmol/L) | 0.26 (0.01) | 0.70 (0.54–0.92) | 0.55 (0.39–0.78) | 0.63 (0.43–0.93) | 0.1276 |
| Lycopene (μmol/L) | 0.40 (0.01) | 0.75 (0.61–0.94) | 0.70 (0.52–0.94) | 0.88 (0.67–1.15) | 0.5785 |
| Phosphorus (mmol/L) | 1.20 (0.01) | 1.36 (1.05–1.76) | 1.28 (0.75–2.19) | 1.39 (1.05–1.83) | 0.2414 |
| Potassium (mmol/L) | 4.05 (0.02) | 1.05 (0.67–1.65) | 0.99 (0.76–1.30) | 1.64 (1.13–2.38) | 0.0474 |
| Protein (g/L) | 72.59 (0.22) | 0.76 (0.56–1.04) | 0.92 (0.65–1.31) | 1.16 (0.80–1.68) | 0.3823 |
| Sodium (mmol/L) | 138.61 (0.14) | 0.80 (0.54–1.17) | 0.91 (0.67–1.24) | 0.87 (0.61–1.23) | 0.6788 |
| Total iron binding capacity (μmol/L) | 65.19 (0.46) | 0.93 (0.63–1.37) | 0.96 (0.67–1.37) | 0.87 (0.54–1.41) | 0.7293 |
| Vitamin A (μmol/L) | 2.22 (0.03) | 0.91 (0.70–1.18) | 1.42 (0.95–2.11) | 1.25 (0.91–1.71) | 0.1495 |
| Vitamin B12 (pmol/L) | 373.38 (10.29) | 1.07 (0.71–1.62) | 0.98 (0.58–1.66) | 1.01 (0.72–1.42) | 0.9411 |
| Vitamin D (nmol/L) | 58.35 (1.07) | 1.01 (0.61–1.69) | 0.98 (0.61–1.56) | 0.99 (0.66–1.49) | 0.9411 |
| Vitamin E (μmol/L) | 34.37 (0.50) | 1.15 (0.78–1.69) | 1.14 (0.82–1.57) | 0.88 (0.63–1.24) | 0.3354 |
Disclaimer/Publisher’s Note: The statements, opinions and data contained in all publications are solely those of the individual author(s) and contributor(s) and not of MDPI and/or the editor(s). MDPI and/or the editor(s) disclaim responsibility for any injury to people or property resulting from any ideas, methods, instructions or products referred to in the content. |
© 2023 by the authors. Licensee MDPI, Basel, Switzerland. This article is an open access article distributed under the terms and conditions of the Creative Commons Attribution (CC BY) license (https://creativecommons.org/licenses/by/4.0/).
Share and Cite
Peng, X.; Zhu, J.; Lynn, H.S.; Zhang, X. Serum Nutritional Biomarkers and All-Cause and Cause-Specific Mortality in U.S. Adults with Metabolic Syndrome: The Results from National Health and Nutrition Examination Survey 2001–2006. Nutrients 2023, 15, 553. https://doi.org/10.3390/nu15030553
Peng X, Zhu J, Lynn HS, Zhang X. Serum Nutritional Biomarkers and All-Cause and Cause-Specific Mortality in U.S. Adults with Metabolic Syndrome: The Results from National Health and Nutrition Examination Survey 2001–2006. Nutrients. 2023; 15(3):553. https://doi.org/10.3390/nu15030553
Chicago/Turabian StylePeng, Xinwei, Jingjing Zhu, Henry S. Lynn, and Xi Zhang. 2023. "Serum Nutritional Biomarkers and All-Cause and Cause-Specific Mortality in U.S. Adults with Metabolic Syndrome: The Results from National Health and Nutrition Examination Survey 2001–2006" Nutrients 15, no. 3: 553. https://doi.org/10.3390/nu15030553
APA StylePeng, X., Zhu, J., Lynn, H. S., & Zhang, X. (2023). Serum Nutritional Biomarkers and All-Cause and Cause-Specific Mortality in U.S. Adults with Metabolic Syndrome: The Results from National Health and Nutrition Examination Survey 2001–2006. Nutrients, 15(3), 553. https://doi.org/10.3390/nu15030553

