Characterization of Postprandial Bile Acid Profiles and Glucose Metabolism in Cerebrotendinous Xanthomatosis
Abstract
1. Introduction
2. Materials and Methods
2.1. Participants
2.2. Study Design
2.3. Laboratory Analyses
2.4. Calculations and Statistical Analysis
3. Results
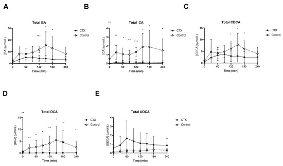
3.1. Postprandial Plasma Total Bile Acids
3.2. Postprandial Plasma Unconjugated and Conjugated Bile Acids
3.3. Plasma Glucose, Insulin, GLP-1 and FGF19
4. Discussion
Author Contributions
Funding
Institutional Review Board Statement
Informed Consent Statement
Data Availability Statement
Acknowledgments
Conflicts of Interest
References
- Clayton, P.T. Disorders of bile acid synthesis. In Inborn Metabolic Diseases; Springer: Berlin/Heidelberg, Germany, 2022; pp. 705–718. [Google Scholar]
- Björkhem, I.; Hansson, M. Cerebrotendinous xanthomatosis: An inborn error in bile acid synthesis with defined mutations but still a challenge. Biochem. Biophys. Res. Commun. 2010, 396, 46–49. [Google Scholar] [CrossRef] [PubMed]
- Lefebvre, P.; Cariou, B.; Lien, F.; Kuipers, F.; Staels, B. Role of Bile Acids and Bile Acid Receptors in Metabolic Regulation. Physiol. Rev. 2009, 89, 147–191. [Google Scholar] [CrossRef]
- Ridlon, J.M.; Harris, S.C.; Bhowmik, S.; Kang, D.-J.; Hylemon, P.B. Consequences of bile salt biotransformations by intestinal bacteria. Gut Microbes 2016, 7, 22–39. [Google Scholar] [CrossRef] [PubMed]
- Hofmann, A.F. Chemistry and enterohepatic circulation of bile acids. Hepatology 1984, 4, 4S–14S. [Google Scholar] [CrossRef] [PubMed]
- Zhang, L.; Huang, X.; Meng, Z.; Dong, B.; Shiah, S.; Moore, D.D.; Huang, W. Significance and mechanism of CYP7a1 gene regulation during the acute phase of liver regeneration. Mol. Endocrinol. 2009, 23, 137–145. [Google Scholar] [CrossRef]
- von Bahr, S.; Björkhem, I.; Van’t Hooft, F.; Alvelius, G.; Nemeth, A.; Sjövall, J.; Fischler, B. Mutation in the sterol 27-hydroxylase gene associated with fatal cholestasis in infancy. J. Pediatr. Gastr. Nutr. 2005, 40, 481–486. [Google Scholar] [CrossRef]
- Verrips, A.; van Engelen, B.G.M.; Wevers, R.A.; van Geel, B.M.; Cruysberg, J.R.M.; van den Heuvel, L.P.W.J.; Keyser, A.; Gabreëls, F.J.M. Presence of diarrhea and absence of tendon xanthomas in patients with cerebrotendinous xanthomatosis. Arch. Neurol. 2000, 57, 520–524. [Google Scholar] [CrossRef]
- Berginer, V.M.; Gross, B.; Morad, K.; Kfir, N.; Morkos, S.; Aaref, S.; Falik-Zaccai, T.C. Chronic diarrhea and juvenile cataracts: Think cerebrotendinous xanthomatosis and treat. Pediatrics 2009, 123, 143–147. [Google Scholar] [CrossRef]
- Nóbrega, P.R.; Bernardes, A.M.; Ribeiro, R.M.; Vasconcelos, S.C.; Araújo, D.A.B.S.; de Vasconcelos Gama, V.C.; Fussiger, H.; de Figueiredo Santos, C.; Dias, D.A.; Pessoa, A.L.S. Cerebrotendinous Xanthomatosis: A practice review of pathophysiology, diagnosis, and treatment. Front. Neurol. 2022, 13, 1049850. [Google Scholar] [CrossRef]
- MahmoudianDehkordi, S.; Bhattacharyya, S.; Brydges, C.R.; Jia, W.; Fiehn, O.; Rush, A.J.; Dunlop, B.W.; Kaddurah-Daouk, R. Gut microbiome-linked metabolites in the pathobiology of major depression with or without anxiety—A role for bile acids. Front. Neurosci. 2022, 16, 937906. [Google Scholar] [CrossRef]
- Luyckx, E.; Eyskens, F.; Simons, A.; Beckx, K.; Van West, D.; Dhar, M. Long-term follow-up on the effect of combined therapy of bile acids and statins in the treatment of cerebrotendinous xanthomatosis: A case report. Clin. Neurol. Neurosurg. 2014, 118, 9–11. [Google Scholar] [CrossRef] [PubMed]
- Nie, S.; Chen, G.; Cao, X.; Zhang, Y. Cerebrotendinous xanthomatosis: A comprehensive review of pathogenesis, clinical manifestations, diagnosis, and management. Orphanet J. Rare Dis. 2014, 9, 179. [Google Scholar] [CrossRef]
- Kısa, P.T.; Yildirim, G.K.; Hismi, B.O.; Dorum, S.; Kusbeci, O.Y.; Topak, A.; Baydan, F.; Celik, F.N.D.; Gorukmez, O.; Gulten, Z.A.; et al. Patients with cerebrotendinous xanthomatosis diagnosed with diverse multisystem involvement. Metab. Brain Dis. 2021, 36, 1201–1211. [Google Scholar] [CrossRef] [PubMed]
- Parks, D.J.; Blanchard, S.G.; Bledsoe, R.K.; Chandra, G.; Consler, T.G.; Kliewer, S.A.; Stimmel, J.B.; Willson, T.M.; Zavacki, A.M.; Moore, D.D.; et al. Bile acids: Natural ligands for an orphan nuclear receptor. Science 1999, 284, 1365–1368. [Google Scholar] [CrossRef] [PubMed]
- Makishima, M.; Okamoto, A.Y.; Repa, J.J.; Tu, H.; Learned, R.M.; Luk, A.; Hull, M.V.; Lustig, K.D.; Mangelsdorf, D.J.; Shan, B. Identification of a nuclear receptor for bile acids. Science 1999, 284, 1362–1365. [Google Scholar] [CrossRef]
- Maruyama, T.; Miyamoto, Y.; Nakamura, T.; Tamai, Y.; Okada, H.; Sugiyama, E.; Nakamura, T.; Itadani, H.; Tanaka, K. Identification of membrane-type receptor for bile acids (M-BAR). Biochem. Biophys. Res. Commun. 2002, 298, 714–719. [Google Scholar] [CrossRef]
- Watanabe, M.; Houten, S.M.; Mataki, C.; Christoffolete, M.A.; Kim, B.W.; Sato, H.; Messaddeq, N.; Harney, J.W.; Ezaki, O.; Kodama, T.; et al. Bile acids induce energy expenditure by promoting intracellular thyroid hormone activation. Nature 2006, 439, 484–489. [Google Scholar] [CrossRef]
- Thomas, C.; Gioiello, A.; Noriega, L.; Strehle, A.; Oury, J.; Rizzo, G.; Macchiarulo, A.; Yamamoto, H.; Mataki, C.; Pruzanski, M.; et al. TGR5-mediated bile acid sensing controls glucose homeostasis. Cell Metab. 2009, 10, 167–177. [Google Scholar] [CrossRef]
- Smits, M.M.; Holst, J.J. Endogenous glucagon-like peptide (GLP)-1 as alternative for GLP-1 receptor agonists: Could this work and how? Diabetes/Metab. Res. Rev. 2023, e3699. [Google Scholar] [CrossRef]
- Bootsma, A.; Overmars, H.; Van Rooij, A.; Van Lint, A.; Wanders, R.; Van Gennip, A.; Vreken, P. Rapid analysis of conjugated bile acids in plasma using electrospray tandem mass spectrometry: Application for selective screening of peroxisomal disorders. J. Inherit. Metab. Dis. 1999, 22, 307–310. [Google Scholar] [CrossRef] [PubMed]
- Schaap, F.; van der Gaag, N.A.; Gouma, D.J.; Jansen, P.L. High expression of the bile salt-homeostatic hormone fibroblast growth factor 19 in the liver of patients with extrahepatic cholestasis. Hepatology 2009, 49, 1228–1235. [Google Scholar] [CrossRef]
- Matthews, D.R.; Hosker, J.; Rudenski, A.; Naylor, B.; Treacher, D.; Turner, R. Homeostasis model assessment: Insulin resistance and β-cell function from fasting plasma glucose and insulin concentrations in man. Diabetologia 1985, 28, 412–419. [Google Scholar] [CrossRef]
- Matsuda, M.; DeFronzo, R.A. Insulin sensitivity indices obtained from oral glucose tolerance testing: Comparison with the euglycemic insulin clamp. Diabetes Care 1999, 22, 1462–1470. [Google Scholar] [CrossRef]
- Verrips, A.; Hoefsloot, L.H.; Steenbergen, G.C.; Theelen, J.P.; Wevers, R.A.; Gabreëls, F.J.; van Engelen, B.G.M.; van den Heuvel, L.P. Clinical and molecular genetic characteristics of patients with cerebrotendinous xanthomatosis. Brain 2000, 123, 908–919. [Google Scholar] [CrossRef] [PubMed]
- Duell, P.B.; Salen, G.; Eichler, F.S.; DeBarber, A.E.; Connor, S.L.; Casaday, L.; Jayadev, S.; Kisanuki, Y.; Lekprasert, P.; Malloy, M.J.; et al. Diagnosis, treatment, and clinical outcomes in 43 cases with cerebrotendinous xanthomatosis. J. Clin. Lipidol. 2018, 12, 1169–1178. [Google Scholar] [CrossRef] [PubMed]
- Attili, A.; Angelico, M.; Cantafora, A.; Alvaro, D.; Capocaccia, L. Bile acid-induced liver toxicity: Relation to the hydrophobic-hydrophilic balance of bile acids. Med. Hypotheses 1986, 19, 57–69. [Google Scholar] [CrossRef]
- Sonne, D.P.; van Nierop, F.S.; Kulik, W.; Soeters, M.R.; Vilsboll, T.; Knop, F.K. Postprandial Plasma Concentrations of Individual Bile Acids and FGF-19 in Patients With Type 2 Diabetes. J. Clin. Endocr. Metab. 2016, 101, 3002–3009. [Google Scholar] [CrossRef] [PubMed]
- Ishida, H.; Kuruta, Y.; Gotoh, O.; Yamashita, C.; Yoshida, Y.; Noshiro, M. Structure, evolution, and liver-specific expression of sterol 12α-hydroxylase P450 (CYP8B). J. Biochem. 1999, 126, 19–25. [Google Scholar] [CrossRef] [PubMed]
- Al-Khaifi, A.; Rudling, M.; Angelin, B. An FXR agonist reduces bile acid synthesis independently of increases in FGF19 in healthy volunteers. Gastroenterology 2018, 155, 1012–1016. [Google Scholar] [CrossRef]
- van Nierop, F.S.; Meessen, E.C.E.; Nelissen, K.G.M.; Achterbergh, R.; Lammers, L.A.; Vaz, F.M.; Mathôt, R.A.A.; Klümpen, H.-J.; Damink, S.W.O.; Schaap, F.G.; et al. Differential effects of a 40-hour fast and bile acid supplementation on human GLP-1 and FGF19 responses. Am. J. Physiol.-Endocrinol. Metab. 2019, 317, E494–E502. [Google Scholar] [CrossRef]
- Sato, H.; Macchiarulo, A.; Thomas, C.; Gioiello, A.; Une, M.; Hofmann, A.F.; Saladin, R.; Schoonjans, K.; Pellicciari, R.; Auwerx, J. Novel potent and selective bile acid derivatives as TGR5 agonists: Biological screening, structure−activity relationships, and molecular modeling studies. J. Med. Chem. 2008, 51, 1831–1841. [Google Scholar] [CrossRef] [PubMed]
- Eggink, H.M.; van Nierop, F.S.; Schooneman, M.G.; Boelen, A.; Kalsbeek, A.; Koehorst, M.; Have, G.A.M.T.; de Brauw, L.M.; Groen, A.K.; Romijn, J.A.; et al. Transhepatic bile acid kinetics in pigs and humans. Clin. Nutr. 2018, 37, 1406–1414. [Google Scholar] [CrossRef] [PubMed]
- Salen, G.; Steiner, R.D. Epidemiology, diagnosis, and treatment of cerebrotendinous xanthomatosis (CTX). J. Inherit. Metab. Dis. 2017, 40, 771–781. [Google Scholar] [CrossRef] [PubMed]
- Hansen, M.; Scheltema, M.J.; Sonne, D.P.; Hansen, J.S.; Sperling, M.; Rehfeld, J.F.; Holst, J.J.; Vilsbøll, T.; Knop, F.K. Effect of chenodeoxycholic acid and the bile acid sequestrant colesevelam on glucagon-like peptide-1 secretion. Diabetes Obes. Metab. 2016, 18, 571–580. [Google Scholar] [CrossRef]
- Murakami, M.; Une, N.; Nishizawa, M.; Suzuki, S.; Ito, H.; Horiuchi, T. Incretin secretion stimulated by ursodeoxycholic acid in healthy subjects. Springerplus 2013, 2, 20. [Google Scholar] [CrossRef]
- Rohde, U.; Sonne, D.P.; Christensen, M.; Hansen, M.; Brønden, A.; Toräng, S.; Rehfeld, J.F.; Holst, J.J.; Vilsbøll, T.; Knop, F.K. Cholecystokinin-induced gallbladder emptying and metformin elicit additive glucagon-like peptide-1 responses. J. Clin. Endocrinol. Metab. 2016, 101, 2076–2083. [Google Scholar] [CrossRef]
- Brønden, A.; Albér, A.; Rohde, U.; Gasbjerg, L.S.; Rehfeld, J.F.; Holst, J.J.; Vilsbøll, T.; Knop, F.K. The bile acid-sequestering resin sevelamer eliminates the acute GLP-1 stimulatory effect of endogenously released bile acids in patients with type 2 diabetes. Diabetes Obes. Metab. 2018, 20, 362–369. [Google Scholar] [CrossRef]
- Chiang, J.Y.; Ferrell, J.M. Bile acid biology, pathophysiology, and therapeutics. Clin. Liver Dis. 2020, 15, 91. [Google Scholar] [CrossRef]
- Theofilopoulos, S.; Griffiths, W.J.; Crick, P.J.; Yang, S.; Meljon, A.; Ogundare, M.; Kitambi, S.S.; Lockhart, A.; Tuschl, K.; Clayton, P.T.; et al. Cholestenoic acids regulate motor neuron survival via liver X receptors. J. Clin. Investig. 2014, 124, 4829–4842. [Google Scholar] [CrossRef]
- Maki, K.C.; McKenney, J.M.; Farmer, M.V.; Reeves, M.S.; Dicklin, M.R. Indices of insulin sensitivity and secretion from a standard liquid meal test in subjects with type 2 diabetes, impaired or normal fasting glucose. Nutr. J. 2009, 8, 22. [Google Scholar] [CrossRef][Green Version]
- Maki, K.C.; Rains, T.M.; Dicklin, M.R.; Bell, M. Repeatability of indices of insulin sensitivity and secretion from standard liquid meal tests in subjects with type 2 diabetes mellitus or normal or impaired fasting glucose. Diabetes Technol. Ther. 2010, 12, 895–900. [Google Scholar] [CrossRef] [PubMed]




| Participant | CTX Patients | Healthy Controls | ||||||||
|---|---|---|---|---|---|---|---|---|---|---|
| Height (m) | Weight (kg) | BMI (kg/m2) | Age (years) | Gender (m/f) 1 | Height (m) | Weight (kg) | BMI (kg/m2) | Age (years) | Gender (m/f) 1 | |
| 1 | 1.82 | 75.0 | 22.6 | 43 | m | 2.00 | 95.0 | 23.8 | 40 | m |
| 2 | 1.85 | 70.0 | 20.5 | 40 | m | 1.85 | 65.0 | 19.0 | 42 | m |
| 3 | 1.68 | 76.0 | 26.9 | 46 | f | 1.71 | 59.7 | 20.4 | 44 | f |
| 4 | 1.58 | 83.0 | 33.2 | 45 | f | 1.57 | 63.6 | 25.8 | 51 | f |
| 5 | 1.80 | 97.0 | 29.9 | 51 | m | 1.90 | 107.2 | 29.7 | 49 | m |
| 6 | 1.65 | 72.5 | 26.6 | 52 | m | 1.85 | 96.4 | 28.2 | 62 | m |
| 7 | 1.66 | 78.0 | 28.3 | 53 | f | 1.65 | 68.0 | 25.0 | 54 | f |
| Average | 1.72 | 78.8 | 26.9 | 47 | 1.79 | 79.3 | 24.6 | 49 | ||
| CTX | Control | ||
|---|---|---|---|
| AUC ± SD | AUC ± SD | p-Value | |
| Glucose (min × mmol/L) | 1377 ± 113 | 1351 ± 244 | 0.44 |
| Insulin (min × pmol/L) | 4340 ± 2794 | 2833 ± 1469 | 0.23 |
| Matsuda | 1586 ± 272 | 2023 ± 326 | 0.08 |
| GLP-1 (min × pmol/L) | 2348 ± 1455 | 1690 ± 748 | 0.31 |
| FGF19 (min × pmol/L) | 34 ± 12 | 123 ± 22 | <0.05 |
| Total bile acids (min × μmol/L) | 849 ± 526 | 2134 ± 839 | <0.01 |
| Total CA (min × μmol/L) | 27 ± 33 | 282 ± 161 | <0.001 |
| Total CDCA (min × μmol/L) | 581 ± 483 | 1095 ± 355 | 0.053 |
| Total DCA (min × μmol/L) | 17 ± 13 | 707 ± 562 | <0.001 |
| Total UDCA (min × μmol/L) | 230 ± 252 | 54 ± 25 | 0.1 |
| Unconjugated CA (min × μmol/L) | 6 ± 2 | 112 ± 87 | <0.001 |
| Unconjugated CDCA (min × μmol/L) | 36 ± 34 | 52 ± 47 | 0.48 |
| Unconjugated DCA (min × μmol/L) | 8 ± 4 | 108 ± 54 | <0.001 |
| Unconjugated UDCA (min × μmol/L) | 62 ± 110 | 22 ± 13 | 0.35 |
| Glycine conjugated CA (min × μmol/L) | 16 ± 17 | 138 ± 108 | <0.001 |
| Glycine conjugated CDCA (min × μmol/L) | 459 ± 417 | 950 ± 325 | 0.053 |
| Glycine conjugated DCA (min × μmol/L) | 13 ± 11 | 497 ± 464 | <0.001 |
| Glycine conjugated UDCA (min × μmol/L) | 161 ± 142 | 64 ± 77 | 0.14 |
| Taurine conjugated CA (min × μmol/L) | 11 ± 20 | 32 ± 18 | 0.07 |
| Taurine conjugated CDCA (min × μmol/L) | 98 ± 79 | 145 ± 62 | 0.24 |
| Taurine conjugated DCA (min × μmol/L) | 2 ± 4 | 117 ± 95 | <0.01 |
| Taurine conjugated UDCA (min × μmol/L) | 11 ± 8 | nd | nd |
Disclaimer/Publisher’s Note: The statements, opinions and data contained in all publications are solely those of the individual author(s) and contributor(s) and not of MDPI and/or the editor(s). MDPI and/or the editor(s) disclaim responsibility for any injury to people or property resulting from any ideas, methods, instructions or products referred to in the content. |
© 2023 by the authors. Licensee MDPI, Basel, Switzerland. This article is an open access article distributed under the terms and conditions of the Creative Commons Attribution (CC BY) license (https://creativecommons.org/licenses/by/4.0/).
Share and Cite
Majait, S.; Meessen, E.C.E.; Vaz, F.M.; Kemper, E.M.; Nierop, S.v.; Olde Damink, S.W.; Schaap, F.G.; Romijn, J.A.; Nieuwdorp, M.; Verrips, A.; et al. Characterization of Postprandial Bile Acid Profiles and Glucose Metabolism in Cerebrotendinous Xanthomatosis. Nutrients 2023, 15, 4625. https://doi.org/10.3390/nu15214625
Majait S, Meessen ECE, Vaz FM, Kemper EM, Nierop Sv, Olde Damink SW, Schaap FG, Romijn JA, Nieuwdorp M, Verrips A, et al. Characterization of Postprandial Bile Acid Profiles and Glucose Metabolism in Cerebrotendinous Xanthomatosis. Nutrients. 2023; 15(21):4625. https://doi.org/10.3390/nu15214625
Chicago/Turabian StyleMajait, Soumia, Emma C. E. Meessen, Frederic Maxime Vaz, E. Marleen Kemper, Samuel van Nierop, Steven W. Olde Damink, Frank G. Schaap, Johannes A. Romijn, Max Nieuwdorp, Aad Verrips, and et al. 2023. "Characterization of Postprandial Bile Acid Profiles and Glucose Metabolism in Cerebrotendinous Xanthomatosis" Nutrients 15, no. 21: 4625. https://doi.org/10.3390/nu15214625
APA StyleMajait, S., Meessen, E. C. E., Vaz, F. M., Kemper, E. M., Nierop, S. v., Olde Damink, S. W., Schaap, F. G., Romijn, J. A., Nieuwdorp, M., Verrips, A., Knop, F. K., & Soeters, M. R. (2023). Characterization of Postprandial Bile Acid Profiles and Glucose Metabolism in Cerebrotendinous Xanthomatosis. Nutrients, 15(21), 4625. https://doi.org/10.3390/nu15214625

