Complementary Nutritional Improvements of Cereal-Based Products to Reduce Postprandial Glycemic Response
Abstract
:1. Introduction
2. Materials and Methods
2.1. Test Products: Nutritional Composition and Starch Digestibility
2.2. Nutritional Composition and Starch Digestibility Analyses
2.3. Human Participants and the In Vivo Study
2.4. Statistical Analysis
3. Results
3.1. Nutrition Composition and Starch Digestibility
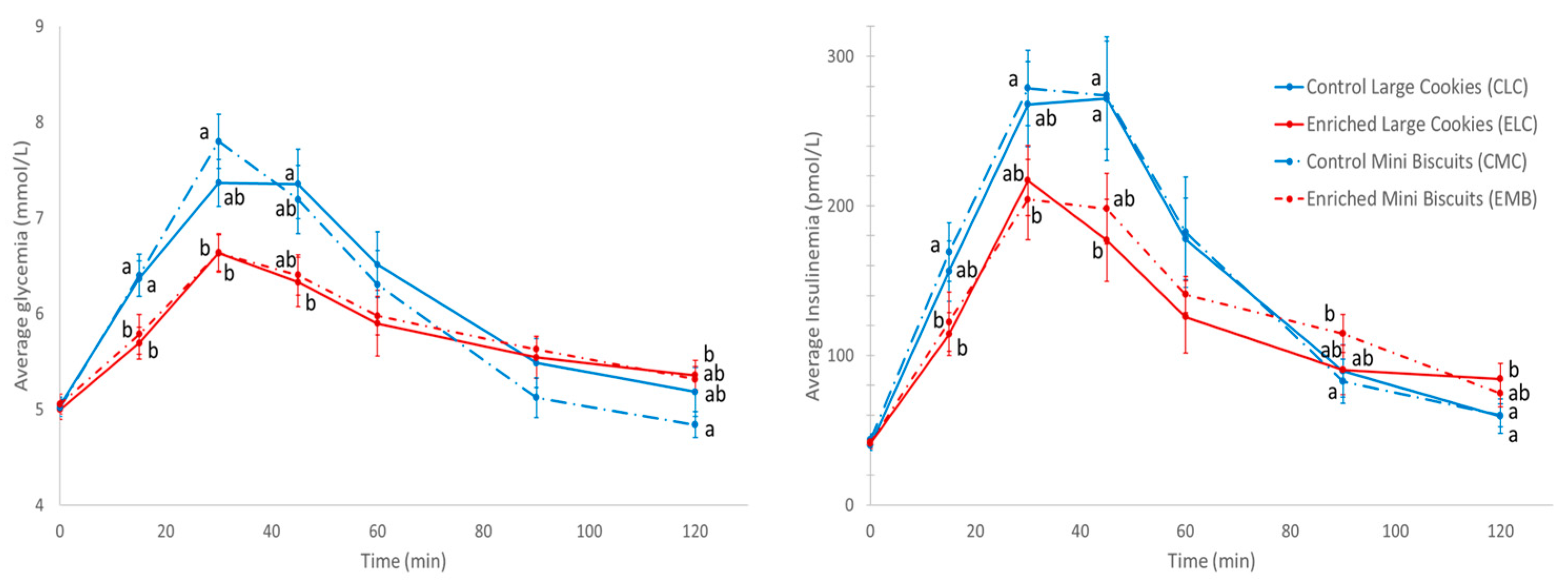
3.2. Glycemic and Insulinemic Responses
4. Discussion
5. Conclusions
Author Contributions
Funding
Institutional Review Board Statement
Informed Consent Statement
Data Availability Statement
Acknowledgments
Conflicts of Interest
References
- Blaak, E.E.; Antoine, J.-M.; Benton, D.; Björck, I.; Bozzetto, L.; Brouns, F.; Diamant, M.; Dye, L.; Hulshof, T.; Holst, J.J.; et al. Impact of Postprandial Glycaemia on Health and Prevention of Disease. Obes. Rev. Off. J. Int. Assoc. Study Obes. 2012, 13, 923–984. [Google Scholar] [CrossRef] [PubMed]
- Schwingshackl, L.; Chaimani, A.; Hoffmann, G.; Schwedhelm, C.; Boeing, H. A Network Meta-Analysis on the Comparative Efficacy of Different Dietary Approaches on Glycaemic Control in Patients with Type 2 Diabetes Mellitus. Eur. J. Epidemiol. 2018, 33, 157–170. [Google Scholar] [CrossRef] [PubMed]
- Aston, L.M. Glycaemic Index and Metabolic Disease Risk. Proc. Nutr. Soc. 2006, 65, 125–134. [Google Scholar] [CrossRef]
- Livesey, G.; Taylor, R.; Hulshof, T.; Howlett, J. Glycemic Response and Health—A Systematic Review and Meta-Analysis: Relations between Dietary Glycemic Properties and Health Outcomes. Am. J. Clin. Nutr. 2008, 87, 258S–268S. [Google Scholar] [CrossRef] [PubMed]
- Mirrahimi, A.; de Souza, R.J.; Chiavaroli, L.; Sievenpiper, J.L.; Beyene, J.; Hanley, A.J.; Augustin, L.S.A.; Kendall, C.W.C.; Jenkins, D.J.A. Associations of Glycemic Index and Load with Coronary Heart Disease Events: A Systematic Review and Meta-Analysis of Prospective Cohorts. J. Am. Heart Assoc. Cardiovasc. Cerebrovasc. Dis. 2012, 1, e000752. [Google Scholar] [CrossRef]
- Jenkins, D.J.A.; Dehghan, M.; Mente, A.; Bangdiwala, S.I.; Rangarajan, S.; Srichaikul, K.; Mohan, V.; Avezum, A.; Díaz, R.; Rosengren, A.; et al. Glycemic Index, Glycemic Load, and Cardiovascular Disease and Mortality. N. Engl. J. Med. 2021, 384, 1312–1322. [Google Scholar] [CrossRef]
- Livesey, G.; Livesey, H. Coronary Heart Disease and Dietary Carbohydrate, Glycemic Index, and Glycemic Load: Dose-Response Meta-Analyses of Prospective Cohort Studies. Mayo Clin. Proc. Innov. Qual. Outcomes 2019, 3, 52–69. [Google Scholar] [CrossRef]
- Gibney, M.J. Ultra-Processed Foods: Definitions and Policy Issues. Curr. Dev. Nutr. 2019, 3, nzy077. [Google Scholar] [CrossRef]
- Singh, N.; Singh, J.; Kaur, L.; Singh Sodhi, N.; Singh Gill, B. Morphological, thermal and rheological properties of starches from different botanical sources. Food Chem. 2003, 81, 219–231. [Google Scholar] [CrossRef]
- Barber, T.M.; Kabisch, S.; Pfeiffer, A.F.H.; Weickert, M.O. The Health Benefits of Dietary Fibre. Nutrients 2020, 12, 3209. [Google Scholar] [CrossRef]
- Reynolds, A.; Mann, J.; Cummings, J.; Winter, N.; Mete, E.; Te Morenga, L. Carbohydrate Quality and Human Health: A Series of Systematic Reviews and Meta-Analyses. Lancet 2019, 393, 434–445. [Google Scholar] [CrossRef]
- Zhao, L.; Zhang, F.; Ding, X.; Wu, G.; Lam, Y.Y.; Wang, X.; Fu, H.; Xue, X.; Lu, C.; Ma, J.; et al. Gut Bacteria Selectively Promoted by Dietary Fibers Alleviate Type 2 Diabetes. Science 2018, 359, 1151–1156. [Google Scholar] [CrossRef]
- Hauner, H.; Bechthold, A.; Boeing, H.; Brönstrup, A.; Buyken, A.; Leschik-Bonnet, E.; Linseisen, J.; Schulze, M.; Strohm, D.; Wolfram, G.; et al. Evidence-Based Guideline of the German Nutrition Society: Carbohydrate Intake and Prevention of Nutrition-Related Diseases. Ann. Nutr. Metab. 2012, 60 (Suppl. 1), 1–58. [Google Scholar] [CrossRef] [PubMed]
- Weickert, M.O.; Pfeiffer, A.F.H. Impact of Dietary Fiber Consumption on Insulin Resistance and the Prevention of Type 2 Diabetes. J. Nutr. 2018, 148, 7–12. [Google Scholar] [CrossRef] [PubMed]
- Slavin, J.L. Dietary Fiber and Body Weight. Nutrition 2005, 21, 411–418. [Google Scholar] [CrossRef] [PubMed]
- Vinoy, S.; Lesdéma, A.; Cesbron-Lavau, G.; Goux, A.; Meynier, A. Creating Food Products with a lower Glycemic Index. In The Glycemic Index—Applications in Practice; Philippou, E., Ed.; CRC Press in Taylor & Francis Group: Boca Raton, FL, USA, 2016; pp. 285–318. [Google Scholar]
- Ranaivo, H.; Thirion, F.; Béra-Maillet, C.; Guilly, S.; Simon, C.; Sothier, M.; Van Den Berghe, L.; Feugier-Favier, N.; Lambert-Porcheron, S.; Dussous, I.; et al. Increasing the Diversity of Dietary Fibers in a Daily-Consumed Bread Modifies Gut Microbiota and Metabolic Profile in Subjects at Cardiometabolic Risk. Gut Microbes 2022, 14, 2044722. [Google Scholar] [CrossRef] [PubMed]
- Adriouch, S.; Lampuré, A.; Nechba, A.; Baudry, J.; Assmann, K.; Kesse-Guyot, E.; Hercberg, S.; Scalbert, A.; Touvier, M.; Fezeu, L.K. Prospective Association between Total and Specific Dietary Polyphenol Intakes and Cardiovascular Disease Risk in the Nutrinet-Santé French Cohort. Nutrients 2018, 10, 1587. [Google Scholar] [CrossRef]
- Di Lorenzo, C.; Colombo, F.; Biella, S.; Stockley, C.; Restani, P. Polyphenols and Human Health: The Role of Bioavailability. Nutrients 2021, 13, 273. [Google Scholar] [CrossRef]
- Coe, S.A.; Clegg, M.; Armengol, M.; Ryan, L. The Polyphenol-Rich Baobab Fruit (Adansonia digitata L.) Reduces Starch Digestion and Glycemic Response in Humans. Nutr. Res. 2013, 33, 888–896. [Google Scholar] [CrossRef]
- Ramdath, D.D.; Padhi, E.; Hawke, A.; Sivaramalingam, T.; Tsao, R. The Glycemic Index of Pigmented Potatoes is Related to their Polyphenol Content. Food Funct. 2014, 5, 909–915. [Google Scholar] [CrossRef]
- Hanhineva, K.; Törrönen, R.; Bondia-Pons, I.; Pekkinen, J.; Kolehmainen, M.; Mykkänen, H.; Poutanen, K. Impact of Dietary Polyphenols on Carbohydrate Metabolism. Int. J. Mol. Sci. 2010, 11, 1365–1402. [Google Scholar] [CrossRef]
- McDougall, G.J.; Shpiro, F.; Dobson, P.; Smith, P.; Blake, A.; Stewart, D. Different Polyphenolic Components of Soft Fruits Inhibit Alpha-Amylase and Alpha-Glucosidase. J. Agric. Food Chem. 2005, 53, 2760–2766. [Google Scholar] [CrossRef] [PubMed]
- Mkandawire, N.L.; Kaufman, R.C.; Bean, S.R.; Weller, C.L.; Jackson, D.S.; Rose, D.J. Effects of Sorghum (Sorghum bicolor (L.) Moench) Tannins on A-Amylase Activity and in Vitro Digestibility of Starch in Raw and Processed Flours. J. Agric. Food Chem. 2013, 61, 4448–4454. [Google Scholar] [CrossRef]
- Barrett, A.; Ndou, T.; Hughey, C.A.; Straut, C.; Howell, A.; Dai, Z.; Kaletunc, G. Inhibition of A-Amylase and Glucoamylase by Tannins Extracted from Cocoa, Pomegranates, Cranberries, and Grapes. J. Agric. Food Chem. 2013, 61, 1477–1486. [Google Scholar] [CrossRef]
- Martinez-Gonzalez, M.A.; Fernandez-Lazaro, C.I.; Toledo, E.; Diaz-Lopez, A.; Corella, D.; Goday, A.; Romaguera, D.; Vioque, J.; Alonso-Gomez, A.M.; Warnberg, J.; et al. Carbohydrate Quality Changes and Concurrent Changes in Cardiovascular Risk Factors: A Longitudinal Analysis in the PREDIMED-Plus Randomized Trial. Am. J. Clin. Nutr. 2020, 111, 291–306. [Google Scholar] [CrossRef]
- Lambert-Porcheron, S.; Normand, S.; Blond, E.; Sothier, M.; Roth, H.; Meynier, A.; Vinoy, S.; Laville, M.; Nazare, J.A. Modulation of Starch Digestibility in Breakfast Cereals Consumed by Subjects with Metabolic Risk: Impact on Markers of Oxidative Stress and Inflammation during Fasting and the Postprandial Period. Mol. Nutr. Food Res. 2017, 61, 1700212. [Google Scholar] [CrossRef] [PubMed]
- Vinoy, S.; Meynier, A.; Goux, A.; Jourdan-Salloum, N.; Normand, S.; Rabasa-Lhoret, R.; Brack, O.; Nazare, J.A.; Peronnet, F.; Laville, M. The Effect of a Breakfast Rich in Slowly Digestible Starch on Glucose Metabolism: A Statistical Meta-Analysis of Randomized Controlled Trials. Nutrients 2017, 9, 318. [Google Scholar] [CrossRef] [PubMed]
- Boers, H.M.; Alssema, M.; Mela, D.J.; Peters, H.P.F.; Vonk, R.J.; Priebe, M.G. The Rate of Glucose Appearance Is Related to Postprandial Glucose and Insulin Responses in Adults: A Systematic Review and Meta-analysis of Stable Isotope Studies. J. Nutr. 2019, 149, 1896–1903. [Google Scholar] [CrossRef]
- Harbis, A.; Perdreau, S.; Vincent-Baudry, S.; Charbonnier, M.; Bernard, M.; Raccah, D.; Senft, M.; Lorec, A.; Defoort, C.; Portugal, H.; et al. Glycemic and Insulinemic Meal Responses Modulate Postprandial Hepatic and Intestinal Lipoprotein Accumulation in Obese, Insulin-Resistant Subjects. Am. J. Clin. Nutr. 2004, 80, 896–902. [Google Scholar] [CrossRef]
- de Rougemont, A.; Normand, S.; Nazare, J.A.; Skilton, M.R.; Sothier, M.; Vinoy, S.; Laville, M. Beneficial Effects of a 5-Week Low-Glycaemic Index Regimen on Weight Control and Cardiovascular Risk Factors in Overweight Non-Diabetic Subjects. Br. J. Nutr. 2007, 98, 1288–1298. [Google Scholar] [CrossRef]
- Breyton, A.E.; Goux, A.; Lambert-Porcheron, S.; Meynier, A.; Sothier, M.; VanDenBerghe, L.; Brack, O.; Disse, E.; Laville, M.; Vinoy, S.; et al. Effect of Starch Digestibility Modulation on Glycemic Variability and Postprandial Glycemic Excursions in Subjects with Type 2 Diabetes: A Randomized Controlled Cross-Over Trial. Nutr. Metab. Cardiovasc. 2021, 31, 237–246. [Google Scholar] [CrossRef] [PubMed]
- ISO 14502-1:2005; Determination of Substances Characteristic of Green and Black Tea—Part 1: Content of Total Polyphenols in Tea—Colorimetric Method Using Folin-Ciocalteu Reagent. ISO: Geneva, Switzerland, 2005.
- Englyst, H.N.; Veenstra, J.; Hudson, G.J. Measurement of Rapidly Available Glucose (RAG) in Plant Foods: A Potential in Vitro Predictor of the Glycaemic Response. Br. J. Nutr. 1996, 75, 327–337. [Google Scholar] [CrossRef] [PubMed]
- Englyst, K.; Goux, A.; Meynier, A.; Quigley, M.; Englyst, H.; Brack, O.; Vinoy, S. Inter-Laboratory Validation of the Starch Digestibility Method for Determination of Rapidly Digestible and Slowly Digestible Starch. Food Chem. 2018, 245, 1183–1189. [Google Scholar] [CrossRef]
- International Standards Organisation. ISO 26642:2010: Food Products–Determination of the Glycaemic Index (GI) and Recommendation for Food Classification, 1st ed.; ISO: Geneva, Switzerland, 2010. [Google Scholar]
- Wolever, T.M.S.; Meynier, A.; Jenkins, A.L.; Brand-Miller, J.C.; Atkinson, F.S.; Gendre, D.; Leuillet, S.; Cazaubiel, M.; Housez, B.; Vinoy, S. Glycemic Index and Insulinemic Index of Foods: An Interlaboratory Study using the ISO 2010 Method. Nutrients 2019, 11, 2218. [Google Scholar] [CrossRef] [PubMed]
- Ruijgrok, C.; Blaak, E.E.; Egli, L.; Dussort, P.; Vinoy, S.; Rauh, S.P.; Beulens, J.W.; Robertson, M.D.; Alssema, M. Reducing Postprandial Glucose in Dietary Intervention Studies and the Magnitude of the Effect on Diabetes-Related Risk Factors: A Systematic Review and Meta-Analysis. Eur. J. Nutr. 2021, 60, 259–273. [Google Scholar] [CrossRef]
- Mishra, S.; Monro, J.; Neilson, P. Starch Digestibility and Dry Matter Roles in the Glycemic Impact of Potatoes. Am. J. Potato Res. 2012, 89, 465–470. [Google Scholar] [CrossRef]
- Cesbron-Lavau, G.; Goux, A.; Atkinson, F.; Meynier, A.; Vinoy, S. Deep Dive into the Effects of Food Processing on Limiting Starch Digestibility and Lowering the Glycemic Response. Nutrients 2021, 13, 381. [Google Scholar] [CrossRef]
- Lovegrove, A.; Edwards, C.H.; De Noni, I.; Patel, H.; El, S.N.; Grassby, T.; Zielke, C.; Ulmius, M.; Nilsson, L.; Butterworth, P.J.; et al. Role of Polysaccharides in Food, Digestion, and Health. Crit. Rev. Food Sci. Nutr. 2017, 57, 237–253. [Google Scholar] [CrossRef]
- Bjorck, I.; Elmstahl, H.L. The Glycaemic Index: Importance of Dietary Fibre and Other Food Properties. Proc. Nutr. Soc. 2003, 62, 201–206. [Google Scholar] [CrossRef] [PubMed]
- Sivakamasundari, S.K.; Priyanga, S.; Moses, J.A.; Anandharamakrishnan, C. Impact of Processing Techniques on the Glycemic Index of Rice. Crit. Rev. Food Sci. Nutr. 2022, 62, 3323–3344. [Google Scholar] [CrossRef]
- Barrett, A.H.; Farhadi, N.F.; Smith, T.J. Slowing Starch Digestion and Inhibiting Digestive Enzyme Activity using Plant Flavanols/Tannins—A Review of Efficacy and Mechanisms. LWT 2018, 87, 394–399. [Google Scholar] [CrossRef]
- Sun, L.; Miao, M. Dietary Polyphenols Modulate Starch Digestion and Glycaemic Level: A Review. Crit. Rev. Food Sci. Nutr. 2020, 60, 541–555. [Google Scholar] [CrossRef]
- Ayua, E.O.; Nkhata, S.G.; Namaumbo, S.J.; Kamau, E.H.; Ngoma, T.N.; Aduol, K.O. Polyphenolic Inhibition of Enterocytic Starch Digestion Enzymes and Glucose Transporters for Managing Type 2 Diabetes may be Reduced in Food Systems. Heliyon 2021, 7, e06245. [Google Scholar] [CrossRef] [PubMed]
- Zhu, J.; Chen, C.; Zhang, B.; Huang, Q. The Inhibitory Effects of Flavonoids on A-Amylase and A-Glucosidase. Crit. Rev. Food Sci. Nutr. 2020, 60, 695–708. [Google Scholar] [CrossRef] [PubMed]
- Williamson, G. Possible Effects of Dietary Polyphenols on Sugar Absorption and Digestion. Mol. Nutr. Food Res. 2013, 57, 48–57. [Google Scholar] [CrossRef]
- Smith, T.J.; Karl, J.P.; Wilson, M.A.; Whitney, C.C.; Barrett, A.; Farhadi, N.F.; Chen, C.O.; Montain, S.J. Glycaemic Regulation, Appetite and Ex Vivo Oxidative Stress in Young Adults Following Consumption of High-Carbohydrate Cereal Bars Fortified with Polyphenol-Rich Berries. Br. J. Nutr. 2019, 121, 1026–1038. [Google Scholar] [CrossRef]
- Dayib, M.; Larson, J.; Slavin, J. Dietary Fibers Reduce Obesity-Related Disorders: Mechanisms of Action. Curr. Opin. Clin. Nutr. Metab. Care 2020, 23, 445–450. [Google Scholar] [CrossRef] [PubMed]
- Lavefve, L.; Howard, L.R.; Carbonero, F. Berry Polyphenols Metabolism and Impact on Human Gut Microbiota and Health. Food Funct. 2020, 11, 45–65. [Google Scholar] [CrossRef] [PubMed]
- Stote, K.S.; Burns, G.; Mears, K.; Sweeney, M.; Blanton, C. The Effect of Berry Consumption on Oxidative Stress Biomarkers: A Systematic Review of Randomized Controlled Trials in Humans. Antioxidants 2023, 12, 1443. [Google Scholar] [CrossRef]
- Lan, H.; Wang, H.; Chen, C.; Hu, W.; Ai, C.; Chen, L.; Teng, H. Flavonoids and Gastrointestinal Health: Single Molecule for Multiple Roles. Crit. Rev. Food Sci. Nutr. 2023, 6, 1–19. [Google Scholar] [CrossRef]
- Carlson, J.L.; Erickson, J.M.; Lloyd, B.B.; Slavin, J.L. Health Effects and Sources of Prebiotic Dietary Fiber. Curr. Dev. Nutr. 2018, 2, nzy005. [Google Scholar] [CrossRef] [PubMed]

| Ingredients | Processing | Cooking | |
|---|---|---|---|
| Enriched Large Cookie (ELC) | Wheat flour, sugar, cranberry crisps, rapeseed oil, cranberry fibers, dried cranberries, buckwheat, polyphenol extract from cranberries, ammonium bicarbonate, pyrophosphate, sodium bicarbonate, salt, inactive dry yeast, DATEM (diacetyl tartaric acid ester of mono-diglycerides), soy lecithin | Rotary molded (Vuurslag rotary) | Tunnel oven APV baker; baking time: 5.5 min; temperatures: fluctuating between 140 and 190 °C |
| Enriched Mini Biscuit (EMB) | Wheat flour, cranberry fibers, sugar, rapeseed oil, buckwheat, polyphenol extract from cranberries, ammonium bicarbonate, soy lecithin, pyrophosphate, sodium bicarbonate, DATEM (diacetyl tartaric acid ester of mono-diglycerides), inactive dry yeast | Rotary molded (Vuurslag rotary) | Tunnel oven APV baker; baking time: 6 min; temperatures: fluctuating between 140 and 190 °C |
| Control Large Cookie (CLC) | Extruded wheat flour, sugar, palm oil, wheat flour, dried cranberries, DATEM (diacetyl tartaric acid ester of mono-diglycerides), salt, brown coloring | Extrusion: co-extruder Rhéon KN135 | Tunnel oven Imaforni; baking time: 9 min; temperatures: 200 °C |
| Control Mini Biscuit (CMB) | Extruded wheat flour, sugar, wheat flour, palm oil, DATEM (diacetyl tartaric acid ester of mono-diglycerides), salt, brown coloring | Rotary molded (Vuurslag rotary) | Tunnel oven APV baker; baking time: 6 min; temperatures: fluctuating between 140 and 190 °C |
| Control Large Cookies (CLC) | Control Mini Biscuits (CMB) | Enriched Large Cookies (ELC) | Enriched Mini Biscuits (EMB) | |
|---|---|---|---|---|
| Portion size (g) | 77 | 67 | 103 | 99 |
| Energy (kcal/portion) | 376 | 328 | 428 | 426 |
| Moisture (g/portion) | 3 | 2 | 5 | 3 |
| Proteins (g/portion) | 4 | 4 | 7 | 7 |
| Fat (g/portion) | 16 | 12 | 18 | 18 |
| -Saturated | 8 | 6 | 1 | 1 |
| -Polyunsaturated n-3 | 0 | 0 | 2 | 2 |
| Available carbohydrates (g/portion eq. Glucose *) | 50 | 50 | 50 | 50 |
| Available starch (g/portion) | 24 | 26 | 25 | 28 |
| Sugars (g/portion) | 22 | 18 | 19 | 17 |
| Total dietary fibers (g/portion) | 2 | 2 | 19 | 18 |
| Insoluble dietary fibers (g/portion) | 1 | 1 | 16 | 15 |
| Soluble dietary fibers (g/portion) | 1 | 1 | 3 | 3 |
| SDS (g/portion eq glucose) | 4 | 5 | 11 | 13 |
| SDS/Av. Starch (%) | 15 | 18 | 33 | 40 |
| Total polyphenols (g eq gallic acid/portion) | 0.2 | 0.4 | 2.6 | 2.2 |
| Blood Glucose and Insulin Parameters | CLC | CMB | ELC | EMB | p-Value for Comparison of Four Products | p-Value Comparison of Control Products versus Enriched Products |
|---|---|---|---|---|---|---|
| Baseline blood glucose level (mmol/L) | 5.0 ± 0.1 | 5.0 ± 0.1 | 5.0 ± 0.1 | 5.1 ± 0.1 | NS | NS |
| iAUC (g) (mmol × min/L) | 143 ± 22 b | 134 ± 18 b | 98 ± 16 a | 97 ± 9 a | p < 0.05 | p < 0.01 |
| GI (%) | 58 ± 5 b | 57 ± 5 b | 43 ± 4 a | 46 ± 5 a | p < 0.05 | p < 0.01 |
| Baseline insulin level (pmol/L) | 40 ± 4 | 44 ± 4 | 41 ± 4 | 42 ± 4 | NS | NS |
| iAUC(ins) (pmol × min/L) | 13,550 ± 1907 b | 13,431 ± 1713 b | 9807 ± 1375 a | 10,888 ± 1249 a | NS | p < 0.05 |
| II (%) | 61 ± 4 b | 61 ± 4 b | 54 ± 5 ab | 45 ± 3 a | p < 0.05 | p < 0.01 |
Disclaimer/Publisher’s Note: The statements, opinions and data contained in all publications are solely those of the individual author(s) and contributor(s) and not of MDPI and/or the editor(s). MDPI and/or the editor(s) disclaim responsibility for any injury to people or property resulting from any ideas, methods, instructions or products referred to in the content. |
© 2023 by the authors. Licensee MDPI, Basel, Switzerland. This article is an open access article distributed under the terms and conditions of the Creative Commons Attribution (CC BY) license (https://creativecommons.org/licenses/by/4.0/).
Share and Cite
Demangeat, A.; Hornero-Ramirez, H.; Meynier, A.; Sanoner, P.; Atkinson, F.S.; Nazare, J.-A.; Vinoy, S. Complementary Nutritional Improvements of Cereal-Based Products to Reduce Postprandial Glycemic Response. Nutrients 2023, 15, 4401. https://doi.org/10.3390/nu15204401
Demangeat A, Hornero-Ramirez H, Meynier A, Sanoner P, Atkinson FS, Nazare J-A, Vinoy S. Complementary Nutritional Improvements of Cereal-Based Products to Reduce Postprandial Glycemic Response. Nutrients. 2023; 15(20):4401. https://doi.org/10.3390/nu15204401
Chicago/Turabian StyleDemangeat, Agnès, Hugo Hornero-Ramirez, Alexandra Meynier, Philippe Sanoner, Fiona S. Atkinson, Julie-Anne Nazare, and Sophie Vinoy. 2023. "Complementary Nutritional Improvements of Cereal-Based Products to Reduce Postprandial Glycemic Response" Nutrients 15, no. 20: 4401. https://doi.org/10.3390/nu15204401
APA StyleDemangeat, A., Hornero-Ramirez, H., Meynier, A., Sanoner, P., Atkinson, F. S., Nazare, J.-A., & Vinoy, S. (2023). Complementary Nutritional Improvements of Cereal-Based Products to Reduce Postprandial Glycemic Response. Nutrients, 15(20), 4401. https://doi.org/10.3390/nu15204401

