Ultra-Processed Food Consumption Is Related to Higher Trans Fatty Acids, Sugar Intake, and Micronutrient-Impaired Status in Schoolchildren of Bahia, Brazil
Abstract
1. Introduction
2. Materials and Methods
2.1. Population
2.2. Data Collection
2.2.1. Clinical Demographic Assessment
2.2.2. Food Consumption Assessment
2.2.3. Laboratory Evaluation
2.2.4. Anthropometric Evaluation
2.3. Statistical Analysis
3. Results
3.1. Clinical Demographic Assessment
3.2. Food Consumption Assessment
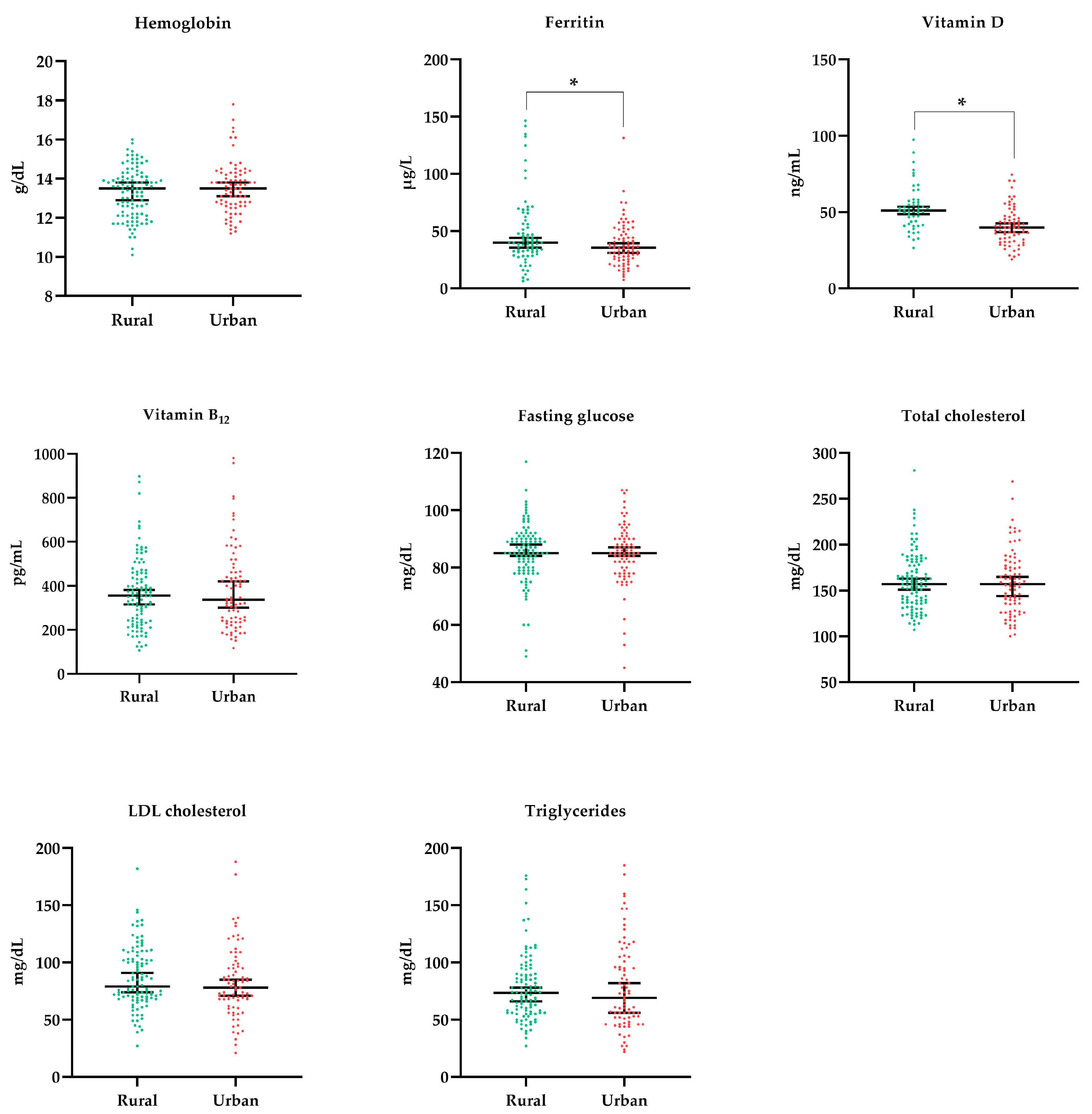
3.3. Laboratory Analyses
3.4. Anthropometric Evaluation
3.5. Food Consumption and Nutritional Status Correlation
4. Discussion
5. Conclusions
Author Contributions
Funding
Institutional Review Board Statement
Informed Consent Statement
Data Availability Statement
Acknowledgments
Conflicts of Interest
References
- Dos Santos Farias, E.; Moreira, K.F.A.; dos Santos, J.P.; Gemelli, I.F.B.; da Costa, G.M.; de Souza, O.F. Overweight and Obesity: Prevalence in Children and Adolescents in Northern Brazil. J. Hum. Growth Dev. 2020, 30, 266–273. [Google Scholar] [CrossRef]
- IBGE. Instituto Brasileiro de Geografia e Estatística Pesquisa Nacional de Saúde Do Escolar. 2015. Available online: https://biblioteca.ibge.gov.br/visualizacao/livros/liv97870.pdf (accessed on 15 August 2022).
- BRASIL. Ministério da Saúde VIGITEL—Sistema de Vigilância de Fatores de Risco e Proteção Para Doenças Crônicas Por Inquérito Telefônico. 2017. Available online: https://bvsms.saude.gov.br/bvs/publicacoes/vigitel_brasil_2017_vigilancia_fatores_riscos.pdf (accessed on 15 August 2022).
- Vergetti Bloch, K.; Henrique Klein, C.; Szklo, M.; Cristina Kuschnir, M.C.; de Azevedo Abreu, G.; Augusta Barufaldi, L.; Valeria da Veiga, G.; Schaan, B.; Luiz Nogueira da Silva, T. ERICA: Prevalências de Hipertensão Arterial e Obesidade Em Adolescentes Brasileiros. Saúde Pública 2016, 50, 9s. [Google Scholar] [CrossRef]
- Dos Santos, F.B.; Schneider, B.C.; Valença, M.S.; Peter, N.B.; Muniz, L.C. Fatores de Risco Comportamentais Para Doenças Cardiovasculares Entre Adolescentes Da Zona Rural de Um Município Do Sul Do Brasil. Cad. Saude Publica 2021, 37, e00241119. [Google Scholar] [CrossRef] [PubMed]
- IBGE. Instituto Brasileiro de Geografia e Estatística. Pesquisa de Orçamentos Familiares 2017-2018—Análise Do Consumo Alimentar No Brasil; Instituto Brasileiro de Geografia e Estatística: Brasilia, Brasil, 2020. [Google Scholar]
- Monteiro, C.A.; Cannon, G.; Levy, R.B.; Moubarac, J.C.; Louzada, M.L.C.; Rauber, F.; Khandpur, N.; Cediel, G.; Neri, D.; Martinez-Steele, E.; et al. Ultra-Processed Foods: What They Are and How to Identify Them. Public Health Nutr. 2019, 22, 936–941. [Google Scholar] [CrossRef] [PubMed]
- Segura, I.E. Avaliação Do Estado Nutricional e Consumo Alimentar de Escolares Da Rede Municipal de Educação de São Paulo. Master’s Thesis, Faculdade de Saúde Pública, Sao Paolo, Brazil, 2019. [Google Scholar] [CrossRef]
- Lane, M.; Howland, G.; West, M.; Hockey, M.; Marx, W.; Loughman, A.; O’Hely, M.; Jacka, F.; Rocks, T. The Effect of Ultra-Processed Very Low-Energy Diets on Gut Microbiota and Metabolic Outcomes in Individuals with Obesity: A Systematic Literature Review. Obes. Res. Clin. Pract. 2020, 14, 197–204. [Google Scholar] [CrossRef]
- Ministry of Health of Brazil Secretariat of Health Care Primary Health Care Department, B. Dietary Guidelines for the Brazilian Population; Ministry of Health of Brazil Secretariat of Health Care Primary Health Care Department: Brasilia, Brazil, 2015; ISBN 9788533422421.
- Pagliai, G.; Dinu, M.; Madarena, M.P.; Bonaccio, M.; Iacoviello, L.; Sofi, F. Consumption of Ultra-Processed Foods and Health Status: A Systematic Review and Meta-Analysis. Br. J. Nutr. 2021, 125, 308–318. [Google Scholar] [CrossRef]
- Crispim, S.P. Manual Fotográfico de Quantificação Alimentar, 1st ed.; Universidade Federal do Paraná: Curitiba, Brazil, 2017; ISBN 9788568566084. [Google Scholar]
- UNICAMP. TBCA—Tabela Brasileira de Composição de Alimentos. Available online: http://www.tbca.net.br/base-dados/composicao_alimentos.php (accessed on 15 August 2022).
- IBGE. Instituto Brasileiro de Geografia e Estatística. POF—Pesquisa de Orçamentos Familiares 2008–2009—Tabelas de Composição Nutricional Dos Alimentos Consumidos No Brasil. Available online: https://biblioteca.ibge.gov.br/visualizacao/livros/liv50002.pdf (accessed on 15 August 2022).
- WHO. World Health Organization. Curva de Crescimento Infantil—IMC/I (5–19 Anos). Available online: https://www.who.int/toolkits/growth-reference-data-for-5to19-years/indicators/bmi-for-age (accessed on 15 August 2022).
- Fernández, J.R.; Redden, D.T.; Pietrobelli, A.; Allison, D.B. Waist Circumference Percentiles in Nationally Representative Samples of African-American, European-American, and Mexican-American Children and Adolescents. J. Pediatr. 2004, 145, 439–444. [Google Scholar] [CrossRef]
- McCarthy, H.D.; Ashwell, M. A Study of Central Fatness Using Waist-to-Height Ratios in UK Children and Adolescents over Two Decades Supports the Simple Message—‘Keep Your Waist Circumference to Less than Half Your Height’. Int. J. Obes. 2006, 30, 988–992. [Google Scholar] [CrossRef]
- Nambiar, S.; Truby, H.; Abbott, R.A.; Davies, P.S.W. Validating the Waist-Height Ratio and Developing Centiles for Use amongst Children and Adolescents. Acta Paediatr. 2009, 98, 148–152. [Google Scholar] [CrossRef]
- De Souza e Silva, L.C.; Barbosa e Silva, S.L.; de Oliveira, S.A.M.; de Araujo, J.R.; de Arrauda, I.K.G.; Maio, R.; da Conceicao Chaves de Lemos, M. Hypertriglyceridemic Waist and Associated Factors in Children and Adolescents with Type 1 Diabetes Mellitus. Rev. Paul. Pediatr. 2020, 38, e2019073. [Google Scholar] [CrossRef]
- Food and Agriculture Organization of the United Nations. Fats and Fatty Acids in Human Nutrition: Report of an Expert Consultation; Food and Agriculture Organization of the United Nations: Geneva, Switzerland, 2008; ISBN 9789251067338. [Google Scholar]
- World Health Organization. Guideline: Sugars Intake for Adults and Children; World Health Organization: Geneva, Switzerland, 2015. [Google Scholar]
- De Moura Souza, A.; Barufaldi, L.A.; de Azevedo Aberu, G.; Giannini, D.T.; de Oliveira, C.L.; dos Santos, M.M.; Leal, V.S.; de Assis Guedes Vasconcelos, F. ERICA: Intake of Macro and Micronutrients of Brazilian Adolescents. Rev. Saude Publica 2016, 50, 1s–15s. [Google Scholar] [CrossRef]
- Retondario, A.; de Oliveira Alves, M.A.; Ferreira, S.M.R. Contribution of Ultra-Processed Food to the Nutritional Dietary Profile of Young Children School Feeding. Rev. Nutr. 2022, 35, e210106. [Google Scholar] [CrossRef]
- Andrade, L.M.M.; Costa, J.A.; Carrara, C.F.; Netto, M.P.; Cândido, A.P.C.; Oliveira e Silva, R.M.S.; Mendes, L.L. Estado Nutricional, Consumo de Alimentos Ultraprocessados e Imagem Corporal de Adolescentes de Uma Escola Privada Do Município de Juiz de For a—MG. HU Rev. 2019, 45, 40–46. [Google Scholar] [CrossRef]
- Da Costa, B.G.G.; del Duca, G.F.; da Silva, K.S.; Benedet, J.; Malheiros, L.E.A.; Quadros, E.N.; Streb, A.R.; Rezende, L.F.M. Socioeconomic Inequalities in the Consumption of Minimally Processed and Ultra-Processed Foods in Brazilian Adolescents. Cien. Saude Colet. 2022, 27, 1469–1476. [Google Scholar] [CrossRef]
- BRASIL. Ministério da Saúde Guia Alimentar para a População Brasileira. Available online: https://bvsms.saude.gov.br/bvs/publicacoes/guia_alimentar_populacao_brasileira_2ed.pdf (accessed on 15 August 2022).
- Agnoli, C.; Baroni, L.; Bertini, I.; Ciappellano, S.; Fabbri, A.; Papa, M.; Pellegrini, N.; Sbarbati, R.; Scarino, M.L.; Siani, V.; et al. Position Paper on Vegetarian Diets from the Working Group of the Italian Society of Human Nutrition. Nutr. Metab. Cardiovasc. Dis. 2017, 27, 1037–1052. [Google Scholar] [CrossRef]
- Vellozo, E.P.; Fisberg, M. O Impacto Da Fortificação de Alimentos Na Prevenção Da Deficiência de Ferro. Rev. Bras. Hematol. Hemoter. 2010, 32, 134–139. [Google Scholar] [CrossRef]
- Green, R.; Allen, L.H.; Bjørke-Monsen, A.L.; Brito, A.; Guéant, J.L.; Miller, J.W.; Molloy, A.M.; Nexo, E.; Stabler, S.; Toh, B.H.; et al. Vitamin B12 Deficiency. Nat. Rev. Dis. Prim. 2017, 3, 1–20. [Google Scholar] [CrossRef]
- Rosenthal, J.; Largaespada, N.; Bailey, L.B.; Cannon, M.; Alverson, C.J.; Ortiz, D.; Kauwell, G.P.A.; Sniezek, J.; Figueroa, R.; Daly, R.; et al. Folate Deficiency Is Prevalent in Women of Childbearing Age in Belize and Is Negatively Affected by Coexisting Vitamin B-12 Deficiency: Belize National Micronutrient Survey 2011. J. Nutr. 2017, 147, 1183–1193. [Google Scholar] [CrossRef]
- Dang, S.; Yan, H.; Zeng, L.; Wang, Q.; Li, Q.; Xiao, S.; Fan, X. The Status of Vitamin B12 and Folate among Chinese Women: A Population-Based Cross-Sectional Study in Northwest China. PLoS ONE 2014, 9, e112586. [Google Scholar] [CrossRef]
- Bouvard, V.; Loomis, D.; Guyton, K.Z.; Grosse, Y.; El Ghissassi, F.; Benbrahim-Tallaa, L.; Guha, N.; Mattock, H.; Straif, K.; Stewart, B.W.; et al. Carcinogenicity of Consumption of Red and Processed Meat. Lancet Oncol. 2015, 2045, 1599–1600. [Google Scholar] [CrossRef]
- Faria-Neto, J.R.; Bento, V.F.R.; Baena, C.P.; Olandoski, M.; de Oliveira Gonçalves, L.G.; de Azevedo Abreu, G.; Kuschnir, M.C.C.; Bloch, K.V. ERICA: Prevalence of Dyslipidemia in Brazilian Adolescents. Rev. Saude Publica 2016, 50, 1s–10s. [Google Scholar] [CrossRef] [PubMed]
- Kuschnir, M.C.C.; Bloch, K.V.; Szklo, M.; Klein, C.H.; Barufaldi, L.A.; de Azevedo Abreu, G.; Schaan, B.; da Veiga, G.V.; da Silva, T.L.N.; de Vasconcellos, M.T.L.; et al. ERICA: Prevalence of Metabolic Syndrome in Brazilian Adolescents. Rev. Saude Publica 2016, 50, 1s–13s. [Google Scholar] [CrossRef] [PubMed]
- Mascarenhas, J.M.O.; Silva, R.d.C.R.; Machado, M.E.P.C.; Santos, C.A.d.S.T.; Marchioni, D.M.L.; Barreto, M.L. Validation of a Food Frequency Questionnaire Designed for Adolescents in Salvador, Bahia, Brazil. Rev. Nutr. 2016, 29, 163–171. [Google Scholar] [CrossRef]




| Indicators | Total 1 (n = 185) | Rural 1 (n = 108) | Urban 1 (n = 77) | p2 |
|---|---|---|---|---|
| Energy and Macronutrients | ||||
| Energy (calories) | 1763 (1317–2284) | 1762 (1350–2315) | 1765 (1313–2115) | >0.900 |
| Protein (caloric%) | 14 (11–16) | 14 (11–16) | 13 (11–15) | 0.500 |
| Carbohydrate (caloric%) | 53 (46–60) | 52 (45–59) | 55 (48–61) | 0.057 |
| Total fat (caloric%) | 33 (28–40) | 34 (29–41) | 32 (27–37) | 0.056 |
| SFAs (caloric%) | 11 (9–14) | 11 (9–14) | 11 (9–13) | 0.200 |
| Trans FAs (caloric%) | 1.26 (0.94–1.81) | 1.22 (0.93–1.73) | 1.31 (0.95–1.91) | 0.400 |
| Cholesterol (mg/1000 Kcal) | 86 (61–149) | 90 (62–143) | 81 (57–163) | 0.700 |
| Total sugar (caloric%) | 20 (12–28) | 16 (10–24) | 24 (15–31) | <0.001 |
| Added sugar (caloric%) | 13 (6–18) | 11 (5–17) | 16 (9–22) | 0.002 |
| Fiber (g/1000 Kcal) | 7.6 (6.3–9.0) | 7.9 (6.8–9.1) | 7.2 (5.6–8.7) | 0.014 |
| Micronutrients | ||||
| Total sodium (mg/1000 Kcal) | 1601 (1316–1953) | 1639 (1365–2170) | 1516 (1173–1777) | 0.007 |
| Added sodium (mg/1000 Kcal) | 395 (252–559) | 434 (260–597) | 364 (244–467) | 0.013 |
| Iron (mg/1000 Kcal) | 4.80 (3.95–5.65) | 4.88 (3.98–5.72) | 4.55 (3.89–5.64) | 0.400 |
| Vitamin B12 (µg/1000 Kcal) | 1.75 (1.03–2.76) | 1.79 (1.01–2.56) | 1.63 (1.04–2.86) | >0.900 |
| Vitamin D (mg/1000 Kcal) | 1.59 (0.96–2.36) | 1.59 (0.94–2.13) | 1.63 (1.05–2.41) | 0.400 |
| NOVA classification | ||||
| Group 1 (caloric%) | 48 (38–61) | 49 (39–65) | 47 (38–56) | 0.400 |
| Group 2 (caloric%) | 13 (9–18) | 13 (9–20) | 13 (8–16) | 0.300 |
| Group 3 (caloric%) | 10 (0–20) | 10 (1–19) | 10 (0–20) | >0.900 |
| Group 4 (caloric%) | 21 (11–36) | 18 (7–35) | 23 (16–36) | 0.039 |
| Indicators | Total 1 (n = 190) | Rural 1 (n = 109) | Urban 1 (n = 81) | p |
|---|---|---|---|---|
| Low hemoglobin | 15 (8%) | 10 (10%) | 5 (6%) | 0.433 2 |
| High fasting glucose | 11 (6%) | 6 (6%) | 5 (6%) | 0.733 2 |
| High total cholesterol | 22 (12%) | 11 (10%) | 11 (14%) | 0.768 3 |
| High LDL cholesterol | 14 (7%) | 8 (8%) | 6 (7,5%) | 0.443 3 |
| High triglycerides | 31 (17%) | 12 (11%) | 19 (24%) | 0.026 3 |
| Low ferritin | 8 (5%) | 4 (5%) | 4 (5%) | 0.940 2 |
| Vitamin B12 deficiency | 25 (14%) | 14 (13%) | 11 (14%) | 0.908 3 |
| Vitamin D deficiency | 1 (1%) | 0 (0%) | 1 (1%) | 0.391 2 |
| Indicators | Total 1 (n = 190) | Rural 1 (n = 109) | Urban 1 (n = 81) | p |
|---|---|---|---|---|
| Height (m) | 1.39 (1.26–1.53) | 1.38 (1.26–1.51) | 1.41 (1.27–1.55) | 0.600 2 |
| Weight (Kg) | 33 (25–45) | 30 (25–43) | 37 (26–48) | 0.054 2 |
| Body Mass Index (Kg/m2) | 17.0 (15.0–19.5) | 16.0 (14.8–18.8) | 18.0 (15.9–20.8) | 0.001 2 |
| Nutritional status | ||||
| Severe underweight | 2 (1%) | 2 (2%) | 0 (0%) | 0.011 3 |
| Underweight | 8 (4%) | 5 (5%) | 3 (4%) | |
| Eutrophy | 113 (61%) | 73 (69%) | 40 (51%) | |
| Overweight | 32 (17%) | 15 (14%) | 17 (21%) | |
| Obesity | 12 (7%) | 2 (2%) | 10 (12%) | |
| Severe obesity | 19 (10%) | 9 (8%) | 10 (12%) | |
| Waist circumference (cm) | 59 (54–67) | 57 (54–66) | 61 (55–70) | 0.029 2 |
| Waist-to-Height Ratio | 0.43 (0.40–0.46) | 0.43 (0.40–0.45) | 0.44 (0.41–0.47) | 0.029 2 |
| Cardiovascular risk | 17 (9%) | 5 (5%) | 12 (15%) | 0.015 4 |
| Hypertriglyceridemic waist | 6 (3%) | 1 (1%) | 5 (6%) | 0.085 3 |
Disclaimer/Publisher’s Note: The statements, opinions and data contained in all publications are solely those of the individual author(s) and contributor(s) and not of MDPI and/or the editor(s). MDPI and/or the editor(s) disclaim responsibility for any injury to people or property resulting from any ideas, methods, instructions or products referred to in the content. |
© 2023 by the authors. Licensee MDPI, Basel, Switzerland. This article is an open access article distributed under the terms and conditions of the Creative Commons Attribution (CC BY) license (https://creativecommons.org/licenses/by/4.0/).
Share and Cite
Menezes, C.A.; Magalhães, L.B.; da Silva, J.T.; da Silva Lago, R.M.R.; Gomes, A.N.; Ladeia, A.M.T.; Vianna, N.A.; Oliveira, R.R. Ultra-Processed Food Consumption Is Related to Higher Trans Fatty Acids, Sugar Intake, and Micronutrient-Impaired Status in Schoolchildren of Bahia, Brazil. Nutrients 2023, 15, 381. https://doi.org/10.3390/nu15020381
Menezes CA, Magalhães LB, da Silva JT, da Silva Lago RMR, Gomes AN, Ladeia AMT, Vianna NA, Oliveira RR. Ultra-Processed Food Consumption Is Related to Higher Trans Fatty Acids, Sugar Intake, and Micronutrient-Impaired Status in Schoolchildren of Bahia, Brazil. Nutrients. 2023; 15(2):381. https://doi.org/10.3390/nu15020381
Chicago/Turabian StyleMenezes, Camilla Almeida, Letícia Bastos Magalhães, Jacqueline Tereza da Silva, Renata Maria Rabello da Silva Lago, Alexvon Nunes Gomes, Ana Marice Teixeira Ladeia, Nelzair Araújo Vianna, and Ricardo Riccio Oliveira. 2023. "Ultra-Processed Food Consumption Is Related to Higher Trans Fatty Acids, Sugar Intake, and Micronutrient-Impaired Status in Schoolchildren of Bahia, Brazil" Nutrients 15, no. 2: 381. https://doi.org/10.3390/nu15020381
APA StyleMenezes, C. A., Magalhães, L. B., da Silva, J. T., da Silva Lago, R. M. R., Gomes, A. N., Ladeia, A. M. T., Vianna, N. A., & Oliveira, R. R. (2023). Ultra-Processed Food Consumption Is Related to Higher Trans Fatty Acids, Sugar Intake, and Micronutrient-Impaired Status in Schoolchildren of Bahia, Brazil. Nutrients, 15(2), 381. https://doi.org/10.3390/nu15020381

